LCR數字電橋工作原理
發布時間:2020-06-15 責任編輯:lina
【導讀】數(shu)字(zi)電(dian)橋(qiao)就(jiu)是(shi)能(neng)夠(gou)測(ce)量(liang)電(dian)感(gan),電(dian)容(rong),電(dian)阻(zu),阻(zu)抗(kang)的(de)儀(yi)器(qi),這(zhe)是(shi)一(yi)個(ge)傳(chuan)統(tong)習(xi)慣(guan)的(de)說(shuo)法(fa),最(zui)早(zao)的(de)阻(zu)抗(kang)測(ce)量(liang)用(yong)的(de)是(shi)真(zhen)正(zheng)的(de)電(dian)橋(qiao)方(fang)法(fa),隨(sui)著(zhe)現(xian)代(dai)模(mo)擬(ni)和(he)數(shu)字(zi)技(ji)術(shu)的(de)發(fa)展(zhan),早(zao)已(yi)經(jing)淘(tao)汰(tai)了(le)這(zhe)種(zhong)測(ce)量(liang)方(fang)法(fa),但(dan) LCR 電橋的叫法一直沿用至今。如果是使用了微處理器的 LCR 電橋則叫 LCR 數字電橋。
數(shu)字(zi)電(dian)橋(qiao)就(jiu)是(shi)能(neng)夠(gou)測(ce)量(liang)電(dian)感(gan),電(dian)容(rong),電(dian)阻(zu),阻(zu)抗(kang)的(de)儀(yi)器(qi),這(zhe)是(shi)一(yi)個(ge)傳(chuan)統(tong)習(xi)慣(guan)的(de)說(shuo)法(fa),最(zui)早(zao)的(de)阻(zu)抗(kang)測(ce)量(liang)用(yong)的(de)是(shi)真(zhen)正(zheng)的(de)電(dian)橋(qiao)方(fang)法(fa),隨(sui)著(zhe)現(xian)代(dai)模(mo)擬(ni)和(he)數(shu)字(zi)技(ji)術(shu)的(de)發(fa)展(zhan),早(zao)已(yi)經(jing)淘(tao)汰(tai)了(le)這(zhe)種(zhong)測(ce)量(liang)方(fang)法(fa),但(dan) LCR 電橋的叫法一直沿用至今。如果是使用了微處理器的 LCR 電橋則叫 LCR 數字電橋。一般用戶又稱這些為:LCR 測試儀、LCR 電橋、LCR 表、LCR Meter 等等。

隨著電路信號不斷“高速”、“高頻”。 我們必須知道 LRC 的實際模型,而不能簡單的看成理想模型。
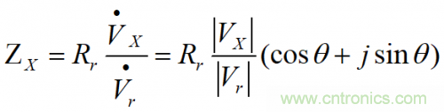
通過精確測量加載到被測件 DUT 的電壓和電流,從而精確測量出 DUT 阻抗值。從圖中可以看出,通過 DUT 的電流等於通過電阻 Rr 的電流,而通過 Rr 的電流可以通過測量 Vr 計算出來。



阻抗的測量歸結為兩個正弦信號的相位差的測量。
在 LCR 數字電橋內部,可以使用相敏檢波器(PSD)分別測出 Vx 和 Vr 對應於某一參考相量的同相量分量和正交分量,然後經模數轉換(A/D)器將其轉化為數字量,再由計算機進行複數運算,即可得到組成被測阻抗 Zx 的電阻值與電抗值。
shuzidianqiaozhishijichengledianqiaochuantongdechenghu。shijishangtayishiquchuantongjingdianjiaoliudianqiaodezuchengxingshi,ershizaigenggaodeshuipingshanghuidaoyioumudinglvweijichudeceliangzukangdedianliubiao、電壓表的線路和原理中。
如何測量電壓與電流的相位差
方法一:過零比較+時間測量技術

通過用過零點出發一個電平的方式,再測量兩個過零點之間的時間差。

方法二:雙通道同步取樣技術

通過兩路 ADC 采樣後做運算處理分析。

方法三:模擬乘法器

將兩個信號進行乘法。
既然可以獲取角度值,則可以獲得阻抗值。
免責聲明:本文為轉載文章,轉載此文目的在於傳遞更多信息,版權歸原作者所有。本文所用視頻、圖片、文字如涉及作品版權問題,請聯係小編進行處理。
特別推薦
- 噪聲中提取真值!瑞盟科技推出MSA2240電流檢測芯片賦能多元高端測量場景
- 10MHz高頻運行!氮矽科技發布集成驅動GaN芯片,助力電源能效再攀新高
- 失真度僅0.002%!力芯微推出超低內阻、超低失真4PST模擬開關
- 一“芯”雙電!聖邦微電子發布雙輸出電源芯片,簡化AFE與音頻設計
- 一機適配萬端:金升陽推出1200W可編程電源,賦能高端裝備製造
技術文章更多>>
- 芯科科技Tech Talks與藍牙亞洲大會聯動,線上線下賦能物聯網創新
- 冬季續航縮水怎麼辦?揭秘熱管理係統背後的芯片力量
- 從HDMI 2.1到UFS 5.0:SmartDV以領先IP矩陣夯實邊緣計算基石
- 小空間也能實現低噪供電!精密測量雙極性電源選型指南,覆蓋小功率到大電流全場景
- 直擊藍牙亞洲大會 2026:Nordic 九大核心場景演繹“萬物互聯”新體驗
技術白皮書下載更多>>
- 車規與基於V2X的車輛協同主動避撞技術展望
- 數字隔離助力新能源汽車安全隔離的新挑戰
- 汽車模塊拋負載的解決方案
- 車用連接器的安全創新應用
- Melexis Actuators Business Unit
- Position / Current Sensors - Triaxis Hall
熱門搜索
風力渦輪機
風能
風扇
風速風向儀
風揚高科
輔助駕駛係統
輔助設備
負荷開關
複用器
伽利略定位
幹電池
幹簧繼電器
感應開關
高頻電感
高通
高通濾波器
隔離變壓器
隔離開關
個人保健
工業電子
工業控製
工業連接器
工字型電感
功率表
功率電感
功率電阻
功率放大器
功率管
功率繼電器
功率器件



