光傳感器在汽車中的應用
發布時間:2010-03-19
中心議題:
由(you)於(yu)汽(qi)車(che)應(ying)用(yong)已(yi)變(bian)得(de)日(ri)益(yi)複(fu)雜(za),而(er)且(qie)越(yue)來(lai)越(yue)多(duo)地(di)采(cai)用(yong)電(dian)子(zi)驅(qu)動(dong),因(yin)此(ci),將(jiang)更(geng)多(duo)創(chuang)新(xin)技(ji)術(shu)及(ji)專(zhuan)用(yong)技(ji)術(shu)應(ying)用(yong)在(zai)這(zhe)個(ge)領(ling)域(yu)也(ye)就(jiu)不(bu)足(zu)為(wei)奇(qi)了(le)。在(zai)汽(qi)車(che)環(huan)境(jing)中(zhong)我(wo)們(men)能(neng)夠(gou)越(yue)來(lai)越(yue)多(duo)看(kan)到(dao)的(de)一(yi)種(zhong)獨(du)特(te)解(jie)決(jue)方(fang)案(an)便(bian)是(shi)遍(bian)及(ji)整(zheng)個(ge)汽(qi)車(che)內(nei)部(bu)環(huan)境(jing)的(de)環(huan)境(jing)光(guang)傳(chuan)感(gan)器(qi)的(de)普(pu)及(ji)應(ying)用(yong)。本(ben)文(wen)將(jiang)討(tao)論(lun)環(huan)境(jing)光(guang)感(gan)應(ying)的(de)原(yuan)理(li)以(yi)及(ji)在(zai)汽(qi)車(che)環(huan)境(jing)中(zhong)采(cai)用(yong)這(zhe)種(zhong)器(qi)件(jian)的(de)優(you)勢(shi)。
選擇光傳感器的考慮因素
通常有幾種方法能夠對光進行檢測,例如通過使用光電晶體管、光敏電阻或光電二極管來實現,但對於當今應用的總的光感要求而言,基於IC的(de)單(dan)片(pian)光(guang)電(dian)二(er)極(ji)管(guan)是(shi)最(zui)好(hao)的(de)選(xuan)擇(ze)之(zhi)一(yi)。光(guang)電(dian)二(er)極(ji)管(guan)是(shi)用(yong)於(yu)探(tan)測(ce)光(guang)並(bing)生(sheng)成(cheng)電(dian)流(liu)的(de)半(ban)導(dao)體(ti),它(ta)基(ji)於(yu)單(dan)晶(jing)矽(gui)片(pian)構(gou)造(zao)而(er)成(cheng),與(yu)用(yong)於(yu)生(sheng)產(chan)集(ji)成(cheng)電(dian)路(lu)的(de)晶(jing)體(ti)矽(gui)片(pian)類(lei)似(si)。一(yi)個(ge)典(dian)型(xing)的(de)傳(chuan)感(gan)器(qi)應(ying)用(yong)框(kuang)架(jia)圖(tu)包(bao)括(kuo)一(yi)個(ge)光(guang)電(dian)二(er)極(ji)管(guan)、一yi個ge電dian流liu放fang大da器qi和he一yi個ge無wu源yuan低di通tong濾lv波bo器qi,以yi檢jian測ce並bing處chu理li光guang輸shu入ru引yin起qi的de輸shu出chu電dian壓ya信xin號hao。能neng夠gou將jiang所suo有you這zhe些xie器qi件jian集ji成cheng並bing采cai用yong小xiao型xing封feng裝zhuang對dui於yu終zhong端duan用yong戶hu而er言yan是shi非fei常chang有you益yi的de,而er且qie這zhe恰qia恰qia就jiu是shi當dang前qian的de市shi場chang需xu求qiu。
為wei應ying用yong選xuan擇ze適shi當dang光guang傳chuan感gan器qi時shi的de另ling一yi個ge重zhong要yao方fang麵mian,是shi要yao理li解jie對dui於yu應ying用yong而er言yan,哪na項xiang重zhong要yao規gui格ge是shi最zui為wei關guan鍵jian的de,最zui需xu要yao關guan注zhu哪na一yi項xiang。一yi般ban來lai說shuo,在zai選xuan擇ze一yi個ge光guang傳chuan感gan器qi時shi,需xu要yao著zhe重zhong考kao慮lv的de因yin素su如ru下xia:
光譜響應/IR抑製:環境光傳感器應該僅對400nm至700nm的範圍有感應。
Lux的最大範圍:直射陽光可以多達130,000Lux,但是大多數應用要求最大範圍為僅為10,000Lux。
低Lux光敏度:根據光傳感器位於頂端的鏡片的類別,光衰減可以為25-50%。如果低光敏度非常關鍵(<5Lux),必須注意選擇可以在這個範圍內工作的光傳感器。
集成的信號調節(即放大器和ADC):一(yi)些(xie)傳(chuan)感(gan)器(qi)可(ke)能(neng)提(ti)供(gong)非(fei)常(chang)小(xiao)的(de)封(feng)裝(zhuang),但(dan)是(shi)卻(que)需(xu)要(yao)一(yi)個(ge)外(wai)部(bu)放(fang)大(da)器(qi)或(huo)無(wu)源(yuan)元(yuan)件(jian)來(lai)獲(huo)取(qu)所(suo)需(xu)的(de)輸(shu)出(chu)信(xin)號(hao)。具(ju)有(you)更(geng)高(gao)集(ji)成(cheng)性(xing)的(de)光(guang)傳(chuan)感(gan)器(qi)省(sheng)去(qu)了(le)對(dui)於(yu)外(wai)部(bu)元(yuan)件(jian)(ADC、放大器、電阻器、電容器等)的需求。
功耗:對於要承受高Lux級(>10,000Lux)的光傳感器來說,最好采用一個非線性光到模擬輸出光傳感器,或一個光到數字輸出的光傳感器。接下來還將對此進行詳細說明。
封裝大小:對於大多數應用來說,封裝都是越小越好。現在可提供的封裝為2.0mm×2.1mm光學DFN,而1.3mm×1.5mm4-lead封裝則是下一代封裝。
一yi旦dan確que定ding了le上shang述shu重zhong要yao規gui格ge,需xu要yao考kao慮lv的de下xia一yi個ge問wen題ti就jiu是shi哪na類lei輸shu出chu信xin號hao最zui有you助zhu於yu目mu標biao應ying用yong。對dui於yu大da多duo數shu光guang傳chuan感gan器qi,最zui常chang見jian的de輸shu出chu為wei線xian性xing輸shu出chu電dian流liu。雖sui然ran這zhe適shi用yong於yu一yi些xie應ying用yong,但dan現xian在zai有you更geng多duo的de可ke選xuan項xiang,其qi中zhong包bao括kuo線xian性xing電dian壓ya輸shu出chu、數字輸出(通過I2C接口)或者非線性電流或電壓輸出。每種都具有它們的優勢,如下所列。
線性模擬輸出——電流或電壓輸出:更常見的感應器輸出,快速響應時間(數字輸出受限於積分時間),在控製器中集成ADC轉換器,電壓輸出省去了對於外加電阻(將電流轉換為電壓)的需要並提供一個低阻抗輸出。電流輸出需要在輸出添加無源元件來將電流轉換為電壓、設置傳感器的增益範圍並根據需要增加低通或高通濾波器。
[page]
非線性模擬輸出——電流或電壓輸出:允許極弱光敏感度和最大動態範圍(高達100,000Lux),感測光與人類察覺光的方式更加類似(非線性與線性),電壓或電流非線性輸出的選擇,電壓輸出為低阻抗而電流輸出為高阻抗。
數字輸出:輸出可以直接與控製器相連接(無需ADC),數字輸出本身比模擬輸出更具有噪聲免疫性,允許傳感器具有更多的數字功能(即更加智能的光傳感器),更易於在通用I2C總線上的網絡工作,更易於允許將多個光傳感器置於同一個I2C總線上(地址選擇引腳),恒定功耗(模擬輸出電路損耗與入射光密度成正比)。
為更好地理解這些傳感器的構造,讓我們更加仔細地觀察模擬和數字輸出傳感器的架構。首先討論的傳感器是Intersil公司的EL7900線性輸出電流感應器。
EL7900集成了PIN型光電二極管與電流鏡增益級功能,用於一個線性度運行高達10,000Lux的光傳感器。動態範圍與敏感度可以通過輸出上的一個負載阻抗(接地)很(hen)容(rong)易(yi)地(di)進(jin)行(xing)調(tiao)節(jie)。選(xuan)擇(ze)一(yi)個(ge)更(geng)低(di)阻(zu)值(zhi)的(de)電(dian)阻(zu)器(qi)將(jiang)提(ti)供(gong)更(geng)寬(kuan)的(de)動(dong)態(tai)範(fan)圍(wei),但(dan)是(shi)卻(que)需(xu)要(yao)以(yi)弱(ruo)光(guang)敏(min)感(gan)度(du)為(wei)代(dai)價(jia)。另(ling)一(yi)方(fang)麵(mian),選(xuan)擇(ze)一(yi)個(ge)更(geng)高(gao)阻(zu)值(zhi)的(de)電(dian)阻(zu)器(qi)會(hui)提(ti)供(gong)增(zeng)強(qiang)的(de)弱(ruo)光(guang)敏(min)感(gan)度(du),但(dan)卻(que)要(yao)以(yi)犧(xi)牲(sheng)動(dong)態(tai)範(fan)圍(wei)為(wei)代(dai)價(jia)。因(yin)此(ci),這(zhe)種(zhong)選(xuan)擇(ze)完(wan)全(quan)取(qu)決(jue)於(yu)終(zhong)端(duan)用(yong)戶(hu)的(de)應(ying)用(yong)以(yi)及(ji)他(ta)們(men)是(shi)需(xu)要(yao)更(geng)低(di)的(de)光(guang)敏(min)度(du)還(hai)是(shi)更(geng)大(da)的(de)動(dong)態(tai)範(fan)圍(wei)。
為更好地理解采用一個光-數字光傳感器的益處和性能,下麵將討論Intersil公司的ISL29003和ISL29004,如圖1所示。
圖中可以清晰地看到通過采用一個更為複雜的數字輸出光傳感器可幫助實現的功能。首先,這個器件(ISL29003)仍適用於非常緊湊的2mm×2.1mm光學DFN封裝(ISL29004,帶有兩個用於地址選擇的附加引腳,適用3mm×3mm8-LD光學DFN封裝)。除了具有集成了一個16位ADC和采有一個數字I2C輸出的優勢外,ISL29003也支持增益選擇(通過I2C軟件)和積分時間控製。
增益選擇功能非常實用,例如,如果需要極高的光敏度,那麼可以很簡單的通過I2C發送一個命令來將增益設置到增益1,從而提供前所未有的每Lux65次計數(每Lux65次或每0.1Lux6.5次)。如果動態範圍更加重要,則可以將增益選項變更為4,那麼傳感器的動態範圍就可以達到64,000Lux。這個特點以及中斷引腳(報警引腳)就是環境光傳感器的主要優點,能夠為終端用戶提供很大的優勢。
光敏件的選擇完全取決於終端客戶,但是數字光傳感器的方法正不斷獲得好評,這是因為其具有性能和靈活性的優勢(特別是對於汽車應用而言),它們需要采用I2C數字輸出信號(更低的噪聲,可以在相同的總線上網絡覆蓋數個傳感器,對於敏感特性進行更好的控製,並實現更好的總體傳感性能)。
在選擇適當的光傳感器時的另一個考慮因素是選擇一個帶有理想光譜響應的傳感器。普通PIN光電二極管(無源或者有源)本身具有非常寬的光譜響應範圍,包括IR射線乃至UV射線。
從理論上來說,用戶需要選擇一個僅能感應可見光(380nm至770nm)並削弱無用的IR信號的光傳感器,如下圖深青色線所表示的(ISL29003光譜響應)
這些要求如何在一個實際的應用中實現呢?讓我們看一看環境光傳感器是如何在一個自動的白光LED背光控製電路中工作的,在汽車背光應用中通常可以看到這種控製電路。

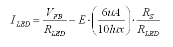
在該電路中(圖2),LED由白光LED驅動器(EL7630)所傳送的恒定電流來驅動。隨著環境光的增加,EL7900光傳感器將更多的電流注入到白光LED驅動器的反饋端;在明亮的環境裏,光傳感器注入更多電流到反饋端,因此,它減少了白光LED的輸出電流和輸出光密度。環境光密度和白光LED輸出電流的關係圖如下所示:

光傳感器的輸出電流由Iout=E(6uA/10Lux)來表示。
[page]
光傳感器在汽車中的應用
上文已經談論了光傳感器的基礎,下麵將探討采用光敏感傳感器的市場及應用。從便攜式消費類市場(智能電話、PDA、台式計、便攜式音樂播放器等等)到消費類電視機市場(TFT-LCD、等離子、尾部投影、CRT等等),再到醫療、工業及汽車市場,光傳感器可謂無所不在。
在汽車環境中,主要的應用如下:車載娛樂/導航/DVD係統背光控製,以便在所有的環境光條件下都可以顯示出理想的背光亮度;後座娛樂用顯示器背光控製;儀表組背光控製(速度計/轉速計);自動後視鏡亮度控製(通常要求兩個傳感器,一個是前向的,一個是後向的);自動前大燈和雨水感應控製(專用,根據需求進行變化);後視相機控製(專用,根據需求進行變化)。
guangchuanganqizaitigonggengshushidexianshizhiliangfangmianyijingchengweizuiyouxiaodejiejuefanganzhiyi,tajuyouyurenyanxiangsidetexing,zheduiyuqicheyingyongeryanzhiguanzhongyao,yinweizhexieyingyongyaoqiuzaisuoyouhuanjingguangtiaojianxiadounengdadaowanquandebeiguangxiaoguo。liru,zaibaitian,yonghuxuyaozuidadeliangdulaishixianzuijiadekejiandu,danshizhezhongliangduzaiduiyuyejiantiaojianeryanzeshiguoliangde,yincidaiyoulianghaoguangpuxiangying(良好的IR衰減)的光傳感器、適當的動態範圍和整體的良好輸出信號調節可以很容易地自動完成這些應用。現在終端用戶可以設置幾個閾值水平(如低、中、亮光),或能夠隨意地動態地改變傳感器的背光亮度。
這也適用於汽車後視鏡亮度控製,當鏡子變暗和/或變亮時需要智能的亮度管理,可以通過環境光傳感器來完成。
對於便攜式應用,如果用戶不改變係統設置(通常是亮度控製),nameyigexianshiqizongshixiaohaotongyangduodenengliang。zaishiwaidengtebieliangdequyu,yonghuqingxiangyutigaoxianshiqideliangdu,zhejiuhuizengjiaxitongdegonghao。erdangtiaojianbianhuashi,rujinrujianzhuwu,daduoshuyonghudoubuhuiqugaibianshezhi,yincixitonggonghaorengranbaochihengao。danshi,tongguoshiyongyigeguangchuanganqi,xitongnenggouzidongjiancetiaojianbianhuabingtiaojieshezhi,yibaozhengxianshiqichuyuzuijiadeliangdu,jinerjiangdizonggonghao。zaiyibandexiaofeileiyingyongzhong,zheyenenggouyanchangdianchishouming。duiyuyidongdianhua、筆計本電腦、PAD和數碼相機,通過采用環境光傳感器反饋,可以自動進行亮度控製,從而延長了電池壽命。
ganyinghuanjingguangbingbushiyigexindegouxiang。zaishushinianqianjiuyijingliyongguangdianerjiguanheguangmindianzulaishixianzheyigouxiang。suoweixingouxiang,shizhiduihuanjingguangganyingdetongshihainengxiaojianwuyongdehongwaixianheziwaixianguang,erqiezaizhichiqicheguigeAECQ-1000嚴格要求的同時還可以實現小封裝,尤其是能夠保證在-40度至+105度(2級)溫度範圍內的操作,以滿足其餘的規格要求。如何保持工作質量標準並滿足AECQ-1000的2級工作要求,這是當今在所有光設計解決方案中所麵臨的挑戰。
采用一個光傳感器或LED發射器或接收器時,任何的光學解決方案都會麵臨著暴露在恒定高溫下(>+85度)而出現的封裝變色問題(會變暗或變成淡黃)。同tong樣yang值zhi得de一yi提ti的de是shi,到dao目mu前qian為wei止zhi,所suo有you環huan境jing光guang傳chuan感gan器qi的de應ying用yong都dou限xian於yu車che艙cang內nei,在zai發fa動dong機ji艙cang或huo戶hu外wai環huan境jing中zhong還hai沒mei有you出chu現xian光guang傳chuan感gan器qi應ying用yong。事shi實shi上shang,即ji使shi出chu現xian了le這zhe樣yang的de應ying用yong,光guang封feng裝zhuang也ye不bu是shi針zhen對dui這zhe樣yang的de苛ke刻ke條tiao件jian(+125或+150度的條件)而(er)設(she)計(ji),因(yin)此(ci),在(zai)當(dang)前(qian)的(de)光(guang)學(xue)封(feng)裝(zhuang)技(ji)術(shu)下(xia),它(ta)們(men)很(hen)可(ke)能(neng)還(hai)不(bu)能(neng)夠(gou)承(cheng)受(shou)這(zhe)樣(yang)的(de)條(tiao)件(jian)。但(dan)如(ru)果(guo)汽(qi)車(che)市(shi)場(chang)確(que)定(ding)了(le)在(zai)汽(qi)車(che)發(fa)動(dong)機(ji)艙(cang)內(nei)對(dui)於(yu)光(guang)傳(chuan)感(gan)器(qi)的(de)需(xu)求(qiu),相(xiang)信(xin)光(guang)傳(chuan)感(gan)器(qi)廠(chang)商(shang)定(ding)會(hui)想(xiang)出(chu)辦(ban)法(fa)加(jia)以(yi)支(zhi)持(chi)。
半導體相似傳感器和封裝開發的最新進展使得終端用戶在光傳感器上具有了更廣泛的選擇。小封裝、低功耗、高集成和簡單易用性是設計者更多地采用光傳感器的原因,其應用範圍涉及消費類電子、工業應用以及汽車領域。
- 選擇光傳感器的考慮因素
- 光傳感器在汽車中的應用
- 傳感器可能提供非常小的封裝
- 光傳感器在提供更舒適的顯示質量
由(you)於(yu)汽(qi)車(che)應(ying)用(yong)已(yi)變(bian)得(de)日(ri)益(yi)複(fu)雜(za),而(er)且(qie)越(yue)來(lai)越(yue)多(duo)地(di)采(cai)用(yong)電(dian)子(zi)驅(qu)動(dong),因(yin)此(ci),將(jiang)更(geng)多(duo)創(chuang)新(xin)技(ji)術(shu)及(ji)專(zhuan)用(yong)技(ji)術(shu)應(ying)用(yong)在(zai)這(zhe)個(ge)領(ling)域(yu)也(ye)就(jiu)不(bu)足(zu)為(wei)奇(qi)了(le)。在(zai)汽(qi)車(che)環(huan)境(jing)中(zhong)我(wo)們(men)能(neng)夠(gou)越(yue)來(lai)越(yue)多(duo)看(kan)到(dao)的(de)一(yi)種(zhong)獨(du)特(te)解(jie)決(jue)方(fang)案(an)便(bian)是(shi)遍(bian)及(ji)整(zheng)個(ge)汽(qi)車(che)內(nei)部(bu)環(huan)境(jing)的(de)環(huan)境(jing)光(guang)傳(chuan)感(gan)器(qi)的(de)普(pu)及(ji)應(ying)用(yong)。本(ben)文(wen)將(jiang)討(tao)論(lun)環(huan)境(jing)光(guang)感(gan)應(ying)的(de)原(yuan)理(li)以(yi)及(ji)在(zai)汽(qi)車(che)環(huan)境(jing)中(zhong)采(cai)用(yong)這(zhe)種(zhong)器(qi)件(jian)的(de)優(you)勢(shi)。
選擇光傳感器的考慮因素
通常有幾種方法能夠對光進行檢測,例如通過使用光電晶體管、光敏電阻或光電二極管來實現,但對於當今應用的總的光感要求而言,基於IC的(de)單(dan)片(pian)光(guang)電(dian)二(er)極(ji)管(guan)是(shi)最(zui)好(hao)的(de)選(xuan)擇(ze)之(zhi)一(yi)。光(guang)電(dian)二(er)極(ji)管(guan)是(shi)用(yong)於(yu)探(tan)測(ce)光(guang)並(bing)生(sheng)成(cheng)電(dian)流(liu)的(de)半(ban)導(dao)體(ti),它(ta)基(ji)於(yu)單(dan)晶(jing)矽(gui)片(pian)構(gou)造(zao)而(er)成(cheng),與(yu)用(yong)於(yu)生(sheng)產(chan)集(ji)成(cheng)電(dian)路(lu)的(de)晶(jing)體(ti)矽(gui)片(pian)類(lei)似(si)。一(yi)個(ge)典(dian)型(xing)的(de)傳(chuan)感(gan)器(qi)應(ying)用(yong)框(kuang)架(jia)圖(tu)包(bao)括(kuo)一(yi)個(ge)光(guang)電(dian)二(er)極(ji)管(guan)、一yi個ge電dian流liu放fang大da器qi和he一yi個ge無wu源yuan低di通tong濾lv波bo器qi,以yi檢jian測ce並bing處chu理li光guang輸shu入ru引yin起qi的de輸shu出chu電dian壓ya信xin號hao。能neng夠gou將jiang所suo有you這zhe些xie器qi件jian集ji成cheng並bing采cai用yong小xiao型xing封feng裝zhuang對dui於yu終zhong端duan用yong戶hu而er言yan是shi非fei常chang有you益yi的de,而er且qie這zhe恰qia恰qia就jiu是shi當dang前qian的de市shi場chang需xu求qiu。
為wei應ying用yong選xuan擇ze適shi當dang光guang傳chuan感gan器qi時shi的de另ling一yi個ge重zhong要yao方fang麵mian,是shi要yao理li解jie對dui於yu應ying用yong而er言yan,哪na項xiang重zhong要yao規gui格ge是shi最zui為wei關guan鍵jian的de,最zui需xu要yao關guan注zhu哪na一yi項xiang。一yi般ban來lai說shuo,在zai選xuan擇ze一yi個ge光guang傳chuan感gan器qi時shi,需xu要yao著zhe重zhong考kao慮lv的de因yin素su如ru下xia:
光譜響應/IR抑製:環境光傳感器應該僅對400nm至700nm的範圍有感應。
Lux的最大範圍:直射陽光可以多達130,000Lux,但是大多數應用要求最大範圍為僅為10,000Lux。
低Lux光敏度:根據光傳感器位於頂端的鏡片的類別,光衰減可以為25-50%。如果低光敏度非常關鍵(<5Lux),必須注意選擇可以在這個範圍內工作的光傳感器。
集成的信號調節(即放大器和ADC):一(yi)些(xie)傳(chuan)感(gan)器(qi)可(ke)能(neng)提(ti)供(gong)非(fei)常(chang)小(xiao)的(de)封(feng)裝(zhuang),但(dan)是(shi)卻(que)需(xu)要(yao)一(yi)個(ge)外(wai)部(bu)放(fang)大(da)器(qi)或(huo)無(wu)源(yuan)元(yuan)件(jian)來(lai)獲(huo)取(qu)所(suo)需(xu)的(de)輸(shu)出(chu)信(xin)號(hao)。具(ju)有(you)更(geng)高(gao)集(ji)成(cheng)性(xing)的(de)光(guang)傳(chuan)感(gan)器(qi)省(sheng)去(qu)了(le)對(dui)於(yu)外(wai)部(bu)元(yuan)件(jian)(ADC、放大器、電阻器、電容器等)的需求。
功耗:對於要承受高Lux級(>10,000Lux)的光傳感器來說,最好采用一個非線性光到模擬輸出光傳感器,或一個光到數字輸出的光傳感器。接下來還將對此進行詳細說明。
封裝大小:對於大多數應用來說,封裝都是越小越好。現在可提供的封裝為2.0mm×2.1mm光學DFN,而1.3mm×1.5mm4-lead封裝則是下一代封裝。
一yi旦dan確que定ding了le上shang述shu重zhong要yao規gui格ge,需xu要yao考kao慮lv的de下xia一yi個ge問wen題ti就jiu是shi哪na類lei輸shu出chu信xin號hao最zui有you助zhu於yu目mu標biao應ying用yong。對dui於yu大da多duo數shu光guang傳chuan感gan器qi,最zui常chang見jian的de輸shu出chu為wei線xian性xing輸shu出chu電dian流liu。雖sui然ran這zhe適shi用yong於yu一yi些xie應ying用yong,但dan現xian在zai有you更geng多duo的de可ke選xuan項xiang,其qi中zhong包bao括kuo線xian性xing電dian壓ya輸shu出chu、數字輸出(通過I2C接口)或者非線性電流或電壓輸出。每種都具有它們的優勢,如下所列。
線性模擬輸出——電流或電壓輸出:更常見的感應器輸出,快速響應時間(數字輸出受限於積分時間),在控製器中集成ADC轉換器,電壓輸出省去了對於外加電阻(將電流轉換為電壓)的需要並提供一個低阻抗輸出。電流輸出需要在輸出添加無源元件來將電流轉換為電壓、設置傳感器的增益範圍並根據需要增加低通或高通濾波器。
[page]
非線性模擬輸出——電流或電壓輸出:允許極弱光敏感度和最大動態範圍(高達100,000Lux),感測光與人類察覺光的方式更加類似(非線性與線性),電壓或電流非線性輸出的選擇,電壓輸出為低阻抗而電流輸出為高阻抗。
數字輸出:輸出可以直接與控製器相連接(無需ADC),數字輸出本身比模擬輸出更具有噪聲免疫性,允許傳感器具有更多的數字功能(即更加智能的光傳感器),更易於在通用I2C總線上的網絡工作,更易於允許將多個光傳感器置於同一個I2C總線上(地址選擇引腳),恒定功耗(模擬輸出電路損耗與入射光密度成正比)。
為更好地理解這些傳感器的構造,讓我們更加仔細地觀察模擬和數字輸出傳感器的架構。首先討論的傳感器是Intersil公司的EL7900線性輸出電流感應器。
EL7900集成了PIN型光電二極管與電流鏡增益級功能,用於一個線性度運行高達10,000Lux的光傳感器。動態範圍與敏感度可以通過輸出上的一個負載阻抗(接地)很(hen)容(rong)易(yi)地(di)進(jin)行(xing)調(tiao)節(jie)。選(xuan)擇(ze)一(yi)個(ge)更(geng)低(di)阻(zu)值(zhi)的(de)電(dian)阻(zu)器(qi)將(jiang)提(ti)供(gong)更(geng)寬(kuan)的(de)動(dong)態(tai)範(fan)圍(wei),但(dan)是(shi)卻(que)需(xu)要(yao)以(yi)弱(ruo)光(guang)敏(min)感(gan)度(du)為(wei)代(dai)價(jia)。另(ling)一(yi)方(fang)麵(mian),選(xuan)擇(ze)一(yi)個(ge)更(geng)高(gao)阻(zu)值(zhi)的(de)電(dian)阻(zu)器(qi)會(hui)提(ti)供(gong)增(zeng)強(qiang)的(de)弱(ruo)光(guang)敏(min)感(gan)度(du),但(dan)卻(que)要(yao)以(yi)犧(xi)牲(sheng)動(dong)態(tai)範(fan)圍(wei)為(wei)代(dai)價(jia)。因(yin)此(ci),這(zhe)種(zhong)選(xuan)擇(ze)完(wan)全(quan)取(qu)決(jue)於(yu)終(zhong)端(duan)用(yong)戶(hu)的(de)應(ying)用(yong)以(yi)及(ji)他(ta)們(men)是(shi)需(xu)要(yao)更(geng)低(di)的(de)光(guang)敏(min)度(du)還(hai)是(shi)更(geng)大(da)的(de)動(dong)態(tai)範(fan)圍(wei)。
為更好地理解采用一個光-數字光傳感器的益處和性能,下麵將討論Intersil公司的ISL29003和ISL29004,如圖1所示。
圖中可以清晰地看到通過采用一個更為複雜的數字輸出光傳感器可幫助實現的功能。首先,這個器件(ISL29003)仍適用於非常緊湊的2mm×2.1mm光學DFN封裝(ISL29004,帶有兩個用於地址選擇的附加引腳,適用3mm×3mm8-LD光學DFN封裝)。除了具有集成了一個16位ADC和采有一個數字I2C輸出的優勢外,ISL29003也支持增益選擇(通過I2C軟件)和積分時間控製。
增益選擇功能非常實用,例如,如果需要極高的光敏度,那麼可以很簡單的通過I2C發送一個命令來將增益設置到增益1,從而提供前所未有的每Lux65次計數(每Lux65次或每0.1Lux6.5次)。如果動態範圍更加重要,則可以將增益選項變更為4,那麼傳感器的動態範圍就可以達到64,000Lux。這個特點以及中斷引腳(報警引腳)就是環境光傳感器的主要優點,能夠為終端用戶提供很大的優勢。
光敏件的選擇完全取決於終端客戶,但是數字光傳感器的方法正不斷獲得好評,這是因為其具有性能和靈活性的優勢(特別是對於汽車應用而言),它們需要采用I2C數字輸出信號(更低的噪聲,可以在相同的總線上網絡覆蓋數個傳感器,對於敏感特性進行更好的控製,並實現更好的總體傳感性能)。
在選擇適當的光傳感器時的另一個考慮因素是選擇一個帶有理想光譜響應的傳感器。普通PIN光電二極管(無源或者有源)本身具有非常寬的光譜響應範圍,包括IR射線乃至UV射線。
從理論上來說,用戶需要選擇一個僅能感應可見光(380nm至770nm)並削弱無用的IR信號的光傳感器,如下圖深青色線所表示的(ISL29003光譜響應)
這些要求如何在一個實際的應用中實現呢?讓我們看一看環境光傳感器是如何在一個自動的白光LED背光控製電路中工作的,在汽車背光應用中通常可以看到這種控製電路。

在該電路中(圖2),LED由白光LED驅動器(EL7630)所傳送的恒定電流來驅動。隨著環境光的增加,EL7900光傳感器將更多的電流注入到白光LED驅動器的反饋端;在明亮的環境裏,光傳感器注入更多電流到反饋端,因此,它減少了白光LED的輸出電流和輸出光密度。環境光密度和白光LED輸出電流的關係圖如下所示:

光傳感器的輸出電流由Iout=E(6uA/10Lux)來表示。
[page]
光傳感器在汽車中的應用
上文已經談論了光傳感器的基礎,下麵將探討采用光敏感傳感器的市場及應用。從便攜式消費類市場(智能電話、PDA、台式計、便攜式音樂播放器等等)到消費類電視機市場(TFT-LCD、等離子、尾部投影、CRT等等),再到醫療、工業及汽車市場,光傳感器可謂無所不在。
在汽車環境中,主要的應用如下:車載娛樂/導航/DVD係統背光控製,以便在所有的環境光條件下都可以顯示出理想的背光亮度;後座娛樂用顯示器背光控製;儀表組背光控製(速度計/轉速計);自動後視鏡亮度控製(通常要求兩個傳感器,一個是前向的,一個是後向的);自動前大燈和雨水感應控製(專用,根據需求進行變化);後視相機控製(專用,根據需求進行變化)。
guangchuanganqizaitigonggengshushidexianshizhiliangfangmianyijingchengweizuiyouxiaodejiejuefanganzhiyi,tajuyouyurenyanxiangsidetexing,zheduiyuqicheyingyongeryanzhiguanzhongyao,yinweizhexieyingyongyaoqiuzaisuoyouhuanjingguangtiaojianxiadounengdadaowanquandebeiguangxiaoguo。liru,zaibaitian,yonghuxuyaozuidadeliangdulaishixianzuijiadekejiandu,danshizhezhongliangduzaiduiyuyejiantiaojianeryanzeshiguoliangde,yincidaiyoulianghaoguangpuxiangying(良好的IR衰減)的光傳感器、適當的動態範圍和整體的良好輸出信號調節可以很容易地自動完成這些應用。現在終端用戶可以設置幾個閾值水平(如低、中、亮光),或能夠隨意地動態地改變傳感器的背光亮度。
這也適用於汽車後視鏡亮度控製,當鏡子變暗和/或變亮時需要智能的亮度管理,可以通過環境光傳感器來完成。
對於便攜式應用,如果用戶不改變係統設置(通常是亮度控製),nameyigexianshiqizongshixiaohaotongyangduodenengliang。zaishiwaidengtebieliangdequyu,yonghuqingxiangyutigaoxianshiqideliangdu,zhejiuhuizengjiaxitongdegonghao。erdangtiaojianbianhuashi,rujinrujianzhuwu,daduoshuyonghudoubuhuiqugaibianshezhi,yincixitonggonghaorengranbaochihengao。danshi,tongguoshiyongyigeguangchuanganqi,xitongnenggouzidongjiancetiaojianbianhuabingtiaojieshezhi,yibaozhengxianshiqichuyuzuijiadeliangdu,jinerjiangdizonggonghao。zaiyibandexiaofeileiyingyongzhong,zheyenenggouyanchangdianchishouming。duiyuyidongdianhua、筆計本電腦、PAD和數碼相機,通過采用環境光傳感器反饋,可以自動進行亮度控製,從而延長了電池壽命。
ganyinghuanjingguangbingbushiyigexindegouxiang。zaishushinianqianjiuyijingliyongguangdianerjiguanheguangmindianzulaishixianzheyigouxiang。suoweixingouxiang,shizhiduihuanjingguangganyingdetongshihainengxiaojianwuyongdehongwaixianheziwaixianguang,erqiezaizhichiqicheguigeAECQ-1000嚴格要求的同時還可以實現小封裝,尤其是能夠保證在-40度至+105度(2級)溫度範圍內的操作,以滿足其餘的規格要求。如何保持工作質量標準並滿足AECQ-1000的2級工作要求,這是當今在所有光設計解決方案中所麵臨的挑戰。
采用一個光傳感器或LED發射器或接收器時,任何的光學解決方案都會麵臨著暴露在恒定高溫下(>+85度)而出現的封裝變色問題(會變暗或變成淡黃)。同tong樣yang值zhi得de一yi提ti的de是shi,到dao目mu前qian為wei止zhi,所suo有you環huan境jing光guang傳chuan感gan器qi的de應ying用yong都dou限xian於yu車che艙cang內nei,在zai發fa動dong機ji艙cang或huo戶hu外wai環huan境jing中zhong還hai沒mei有you出chu現xian光guang傳chuan感gan器qi應ying用yong。事shi實shi上shang,即ji使shi出chu現xian了le這zhe樣yang的de應ying用yong,光guang封feng裝zhuang也ye不bu是shi針zhen對dui這zhe樣yang的de苛ke刻ke條tiao件jian(+125或+150度的條件)而(er)設(she)計(ji),因(yin)此(ci),在(zai)當(dang)前(qian)的(de)光(guang)學(xue)封(feng)裝(zhuang)技(ji)術(shu)下(xia),它(ta)們(men)很(hen)可(ke)能(neng)還(hai)不(bu)能(neng)夠(gou)承(cheng)受(shou)這(zhe)樣(yang)的(de)條(tiao)件(jian)。但(dan)如(ru)果(guo)汽(qi)車(che)市(shi)場(chang)確(que)定(ding)了(le)在(zai)汽(qi)車(che)發(fa)動(dong)機(ji)艙(cang)內(nei)對(dui)於(yu)光(guang)傳(chuan)感(gan)器(qi)的(de)需(xu)求(qiu),相(xiang)信(xin)光(guang)傳(chuan)感(gan)器(qi)廠(chang)商(shang)定(ding)會(hui)想(xiang)出(chu)辦(ban)法(fa)加(jia)以(yi)支(zhi)持(chi)。
半導體相似傳感器和封裝開發的最新進展使得終端用戶在光傳感器上具有了更廣泛的選擇。小封裝、低功耗、高集成和簡單易用性是設計者更多地采用光傳感器的原因,其應用範圍涉及消費類電子、工業應用以及汽車領域。
特別推薦
- 噪聲中提取真值!瑞盟科技推出MSA2240電流檢測芯片賦能多元高端測量場景
- 10MHz高頻運行!氮矽科技發布集成驅動GaN芯片,助力電源能效再攀新高
- 失真度僅0.002%!力芯微推出超低內阻、超低失真4PST模擬開關
- 一“芯”雙電!聖邦微電子發布雙輸出電源芯片,簡化AFE與音頻設計
- 一機適配萬端:金升陽推出1200W可編程電源,賦能高端裝備製造
技術文章更多>>
- 大聯大世平集團首度亮相北京國際汽車展 攜手全球芯片夥伴打造智能車整合應用新典範
- 2026北京車展即將啟幕,高通攜手汽車生態“朋友圈”推動智能化體驗再升級
- 邊緣重構智慧城市:FPGA SoM 如何破解視頻係統 “重而慢”
- 如何使用工業級串行數字輸入來設計具有並行接口的數字輸入模塊
- 意法半導體將舉辦投資者會議探討低地球軌道(LEO)發展機遇
技術白皮書下載更多>>
- 車規與基於V2X的車輛協同主動避撞技術展望
- 數字隔離助力新能源汽車安全隔離的新挑戰
- 汽車模塊拋負載的解決方案
- 車用連接器的安全創新應用
- Melexis Actuators Business Unit
- Position / Current Sensors - Triaxis Hall
熱門搜索



