【幹貨】非常經典的22個開關電源設計問題!
發布時間:2017-05-03 責任編輯:wenwei
【導讀】隨著電力電子技術的發展和創新,使得開關電源技術也在不斷地創新。目前,開關電源以小型、輕量和高效率的特點被廣泛應用幾乎所有的電子設備,是當今電子信息產業飛速發展不可缺少的一種電源方式。
問題一:我們小功率用到最多的反激電源,為什麼我們常常選擇65K或者100K(這些頻率段附近)作為開關頻率?有哪些原因製約了?或者哪些情況下我們可以增大開關頻率?或者減小開關頻率?
開關電源為什麼常常選擇65K或者100K左右範圍作為開關頻率,有的人會說IC廠家都是生產這樣的IC,當然這也有原因。每個電源的開關頻率會決定什麼?
應該從這裏去思考原因。還會有人說頻率高了EMC不好過,一般來說是這樣,但這不是必然,EMC與頻率有關係,但不是必然。想象我們的電源開關頻率提高了,直接帶來的影響是什麼?當然是MOS開kai關guan損sun耗hao增zeng大da,因yin為wei單dan位wei時shi間jian開kai關guan次ci數shu增zeng多duo了le。如ru果guo頻pin率lv減jian小xiao了le會hui帶dai來lai什shen麼me?開kai關guan損sun耗hao是shi減jian小xiao了le,但dan是shi我wo們men的de儲chu能neng器qi件jian單dan周zhou期qi提ti供gong的de能neng量liang就jiu要yao增zeng多duo,勢shi必bi需xu要yao的de變bian壓ya器qi磁ci性xing要yao更geng大da,儲chu能neng電dian感gan要yao更geng大da了le。選xuan取qu在zai65K到100K左右就是一個比較合適的經驗折中,電源就是在折中合理化折中進行。
假(jia)如(ru)在(zai)特(te)殊(shu)情(qing)形(xing)下(xia),輸(shu)入(ru)電(dian)壓(ya)比(bi)較(jiao)低(di),開(kai)關(guan)損(sun)耗(hao)已(yi)經(jing)很(hen)小(xiao)了(le),不(bu)在(zai)乎(hu)這(zhe)點(dian)開(kai)關(guan)損(sun)耗(hao)嗎(ma),那(na)我(wo)們(men)就(jiu)可(ke)以(yi)提(ti)高(gao)開(kai)關(guan)頻(pin)率(lv),起(qi)到(dao)減(jian)小(xiao)磁(ci)性(xing)器(qi)件(jian)體(ti)積(ji)的(de)目(mu)的(de)。
關鍵:如何選擇合適IC的開關頻率?主流IC的開關頻率為什麼是大概是這麼一些範圍?
開關頻率和什麼有關,說的是普遍情況,不是想鑽牛角尖好多IC還有什麼不同的頻率。更多的想發散大家思維去注意到這些問題!
我這裏想說的普遍情況,主要想提的是開關頻率和什麼有關,如何去選擇合適開關頻率,為什麼主流IC以及開關頻率是這麼多,注意不是一定,是普遍情況,讓新手區理解一般行為,當然開關電源想怎麼做都可以,要能合理使用。
1、你是如何知道一般選擇65或者100KHZ,作為開關電源的開關頻率的?(調研普遍的大廠家主流IC,這二個會比較多,當然也有一些在這附近,還有一些是可調的開關頻率)
2、又是如何在工作中發現開關電源開關頻率確實工作在65KHZ,或100KHZ的。(從設計角度考量,普遍電源使用這個範圍)
3、有兩張以上的測試65KHZ100KHZ頻率的圖片說明嗎?(何止二張圖片,毫無意義)
4、你是否知道開關電源可以工作在1.5HZ.(你覺得這樣談有必要,工作沒有什麼不可以,純熟鑽牛角尖,做技術切記鑽牛角尖,那你能談談為什麼普遍電源不工作在1.5HZ,說這個才有意義,你做出1.5HZ的電源純屬毫無意義的事情)
提醒:做技術人員切記鑽牛角尖,咱們不是校園研究派,是需要將理論與實踐現結合起來,做出來的產品才是有意義的產品!
問題二:LLC中zhong為wei什shen麼me我wo們men常chang在zai二er區qu設she計ji開kai關guan頻pin率lv?一yi區qu和he三san區qu為wei什shen麼me不bu可ke以yi?有you哪na些xie因yin素su製zhi約yue呢ne?或huo者zhe如ru果guo選xuan取qu一yi區qu和he三san區qu作zuo為wei開kai關guan頻pin率lv會hui有you什shen麼me後hou果guo呢ne?
LLC的原理是利用感性負載隨開關頻率的增大而感抗增大,來進行調節輸出電壓的,也就是PFM調製。並且MOS管開通損耗ZVS比ZCS小,一區是容性負載區,自然不可取。那麼三區,開關頻率大於諧振頻率,這個仍是感性負載區,按道理MOS實現ZVS沒有問題,確實如此。但是我們不能忽略副邊的輸出二極管關斷。也就是原邊MOS管關斷時,諧振電流並沒有減小到和勵磁電流相等,實現副邊整流二極管軟關斷。這也是我們通常也不選擇三區的原因。
我們不能隻按前人的經驗去設計,而要知道隻所以這樣設計是有其必然的道理的!
問題三:當我們反激的占空比大於50%會帶來什麼?好的方麵有哪些?不好的方麵有哪些?
反激的占空比大於50%意味著什麼,占空比影響哪些因素?第一:占空比設計過大,首先帶來的是匝比增大,主MOS管的應力必然提高。一般反激選取600V或650V以下的MOS管,成本考慮。占空比過大勢必承受不起。
第二點:很重要的是很多人知道,需要斜坡補償,否則環路震蕩。不過這也是有條件的,右平麵零點的產生需要工作在CCM模式下,如果設計在DCM模式下也就不存在這一問題了。這也是小功率為什麼設計在DCM模式下的其中一個原因。當然我們設計足夠好的環路補償也能克服這一問題。
當然在特殊情形下也需要將占空比設計在大於50%,單位周期內傳遞的能量增加,可以減小開關頻率,達到提升效率的目的,如果反激為了效率做高,可以考慮這一方法。
問題四:反激電源如果要做到一定的效率,需要從哪些方麵著手?準諧振?同步整流?
反fan激ji的de一yi大da劣lie勢shi就jiu是shi效xiao率lv問wen題ti,改gai善shan效xiao率lv有you哪na些xie途tu徑jing可ke以yi思si考kao的de呢ne?減jian小xiao損sun耗hao是shi必bi然ran的de,損sun耗hao的de點dian有you開kai關guan管guan,變bian壓ya器qi,輸shu出chu整zheng流liu管guan,這zhe是shi主zhu要yao的de三san個ge部bu分fen。
開關管我們知道反激主要是PWM調製的硬開關居多,開關損耗是我們的一大難點,好在軟開關的出現看到了希望。反激無法向LLC那樣做到全諧振,那隻能朝準諧振去發展(部分時間段諧振),這樣的IC也有很多問世,我司用的較多是NCP1207,通過在MOS管關斷後,下一次開通前1腳檢測VCC電壓過零後,然後在一個設定時間後開通下一周期。
變壓器的損耗如何做到最小,完美使用的變壓器後麵問題會涉及到。
同步整流一般在輸出大電流情況下,副邊整流流二極管,哪怕用肖特基損耗依然會很大,這時候采用同步整流MOS替代肖特基二極管。有些人會說這樣成本高不如用LLC,或者正激呢,當然沒有最好的,隻有更合適的。
本人隻是點醒一些思考方向以及自己做項目中的理解
問題五:電源的傳導是怎麼形成的?傳導的途徑有哪些?常用的手段?電源的輻射受哪些東西影響?怎麼做大功率的EMC。
電源傳導測量方式是通過接收輸入端口L,N,PE來自電源內部的高頻幹擾(一般150K到30M)。
解決傳導必須弄清楚通過哪些途徑減弱端口接收到的幹擾。



如圖:一般有二種模式:L,N差模成分,以及通過PE地回路的共模成分。有些頻率是差共模均有。
通過濾波的方式:一般采用二級共模搭配Y電容來濾去,選擇的方式技巧也很重要,布板影響也很大。一般靠近端口放置低U電感,最好是鎳鋅材質,專門針對高頻,繞線方式采用雙線並繞,減少差模成分。後級一般放置感量較大,在4MH到10MH附近,隻是經驗值,具體需要與Y電容搭配。X電容濾差模也需要靠近端口,一般放在二級共模中間。放置Y電容,電容布板時走線需要加粗,不可外掛,否則效果很差。(這些隻是輸入濾波網絡上做文章)
當然也可以從源頭上下手,傳導是輻射耦合到線路中的結果,減弱了開關輻射也能對傳導帶來好處。影響輻射的幾處一般有MOS管開通速度,整流管導通關斷,變壓器,以及PFC電感等等。這些電路上的設計需要與其他方麵折中不做詳述。
一些經驗技巧:針對大功率的EMC一般需要增加屏蔽,立竿見影,屏蔽的部位一般有幾處選擇:
第一:輸入EMI電路與開關管間屏蔽,這對EMC有很大的作用,很多靠濾波器無效的采用該方法一般很有效果。
第二:變壓器初次級屏蔽,一般設計變壓器若有空間最好加上屏蔽。
第三:散熱器的位置能很好充當屏蔽,合理布板利用,散熱器接地選擇也很重要。
第四:判斷輻射源頭位置,一般有幾個簡單的方法,不一定完全準確,可以參考,輸入線套磁環若對EMC有好處,一般是原邊MOS管,輸出線套磁環若對EMC有效果,一般是副邊輸出整流管,尤其是大於100M的高頻。可以考慮在輸出加電容或者共模電感。
當然還有很多其他的細節技巧,尤其是布板環路方麵的,後麵對LAYOUT會單獨講解。
都是在做大功率EMC處理的一些有效經驗,歡迎交流學習!
問題六:我們選擇拓撲時需要考慮哪些方麵的因素?各種拓撲使用環境及優缺點?
設計電源的第一步不知道大家會想到什麼呢?我wo是shi這zhe麼me想xiang,細xi致zhi研yan究jiu客ke戶hu的de技ji術shu指zhi標biao要yao求qiu,轉zhuan換huan為wei電dian源yuan的de規gui格ge書shu,與yu客ke戶hu溝gou通tong指zhi標biao,不bu同tong的de指zhi標biao意yi味wei著zhe設she計ji難nan度du和he成cheng本ben,也ye是shi對dui我wo提ti出chu的de問wen題ti有you很hen大da的de影ying響xiang,選xuan擇ze拓tuo撲pu時shi根gen據ju我wo們men的de電dian源yuan指zhi標biao結jie合he成cheng本ben來lai考kao慮lv的de,哪na常chang用yong的de幾ji種zhong拓tuo撲pu特te點dian在zai哪na呢ne?
這裏主要談隔離式,非隔離式應用有限,當然也是成本最低的。
反激特點:適用在小於150W,理論這麼說,實際大於75W就很少用,不談很特殊的情況。反激的有點成本低,調試容易(相對於半橋,全橋),主要是磁芯單向勵磁,功率由局限性,效率也不高,主要是硬開關,漏感大等等原因。全電壓範圍(85V-264V)效率一般在80%以下,單電壓達到80%很容易。
正激特點:功率適中,可做中小功率,功率一般在200W以下,當然可以做很大功率,隻是不常常這麼做,原因是正激和反激一樣單向勵磁,做大功率磁芯體積要求大,當然采用2gebianyaqichuanbingliandeyeyou,zhuyizhitanyibanqingxing,buwudaoxinren。zhengjiyoudian,chengbenshizhong,dangranbifanjigao,youdianxiaolvbifanjigao,youqicaiyongyouyuanqianweizuoyuanbianxishou,jianglougannengliangzhongxinliyong。
半橋:目前比較火的是LLC諧振半橋,中小功率,大功率通吃型。(一般大於100W小於3KW)。特點成本比反激正激高,因為多用了1個MOS管(雙向勵磁)和1個整流管,控製IC也貴,環路設計業複雜(一般采用運放,尤其還要做電流環)。優點:采用軟開關,EMC好,效率極高,比正激高,我做過960W LLC,效率可達96%以上(全電壓)(當然PFC是采用無橋方式)。其它半橋我不推薦,至少我不會去用,比較老的不對稱橋,很難做到軟開關,LLC成熟以前用的多,現在很少用,至少艾默生等大公司都傾向於LLC,跟著主流走一般都不會錯。
全橋:一般用在大於2KW以上,首推移相全橋,特點,雙向勵磁,MOS管應力小,比LLC應力小一半,大功率尤其輸入電壓較高時,一般用移相全橋,輸入電壓低用LLC。成本特別高,比LLC還多用2個MOS。這還不是首要的,主要是驅動複雜,一般的IC驅動能力都達不到,要將驅動放大,采用隔離變壓器驅動,這裏才是成本高的另一方麵。
推挽:應ying用yong在zai大da功gong率lv,尤you其qi是shi輸shu入ru電dian壓ya低di的de大da功gong率lv場chang合he,特te點dian電dian壓ya應ying力li高gao,當dang然ran電dian流liu應ying力li小xiao,大da功gong率lv用yong全quan橋qiao還hai是shi推tui挽wan一yi般ban看kan輸shu入ru電dian壓ya。變bian壓ya器qi多duo一yi個ge繞rao組zu,管guan子zi應ying力li要yao求qiu高gao,當dang然ran常chang提ti到dao的de磁ci偏pian磁ci也ye需xu要yao克ke服fu。這zhe個ge我wo真zhen沒mei用yong過guo,沒mei涉she及ji電dian力li電dian源yuan,很hen難nan用yong到dao它ta的de時shi候hou。
我隻是講一下對照特點,可仔細體會,一旦選擇了合適的拓撲,對性能指標,成本才能最優,歡迎大家賜教!
問題七:考慮電源成本時,我們要從哪裏下手呢?
設she計ji電dian源yuan,成cheng本ben評ping估gu必bi不bu可ke少shao,目mu前qian客ke戶hu將jiang電dian源yuan的de成cheng本ben壓ya得de很hen低di,各ge大da競jing爭zheng對dui手shou無wu不bu都dou在zai打da價jia格ge戰zhan,大da家jia都dou能neng做zuo出chu電dian源yuan來lai,就jiu看kan誰shui做zuo得de更geng便bian宜yi,才cai能neng贏ying得de訂ding單dan,從cong哪na些xie方fang麵mian入ru手shou有you利li於yu我wo們men陳chen本ben呢ne:
第一:技術指標。電源技術指標越高,成本越高,如果你的電源成本高
了,那你可以打你的性能指標賣點,多了性能要求,電路增多了成本自然高。也是和客戶談話的資本。
第二:物wu料liao采cai購gou成cheng本ben,為wei什shen麼me大da公gong司si電dian源yuan利li潤run高gao?無wu非fei是shi他ta們men有you著zhe優you越yue的de采cai購gou平ping台tai,采cai購gou量liang大da,物wu料liao成cheng本ben低di,當dang然ran成cheng本ben更geng低di。如ru果guo不bu考kao慮lv采cai購gou,作zuo為wei工gong程cheng師shi必bi須xu弄nong清qing楚chu不bu同tong物wu料liao對dui應ying的de成cheng本ben,比bi如ru能neng用yong貼tie片pian,少shao用yong插cha件jian,(比如插件電阻比貼片成本高),能用國產,不用台資,能用台資不用日係,這裏的價格差異不菲。(比如日係電容比國產電容價格高幾倍不止!!!當然質量也有差異;)
第三:影響成本的重要器件:變壓器,電感,MOS管,電容,光耦,二極管及其他半導體器件,IC等。不同的變壓器廠家繞出來的變壓器價格差異很大,MOS管應力,熱阻選擇夠用就行,IC方案的成本等等。
其它方麵導致成本問題:器件散熱器,大小合適,多了就是浪費錢。PCB布板,能用單麵板用成雙麵板就是浪費錢,PCB布板工藝,選擇合理的工藝加工成本低,生產效率高。
歡迎大家討論,如何做低成本,提高我們電源的競爭力!
問題八:電源的環路設計,電源哪些部分影響電源的環路?好的環路有哪些指標決定?
dianyuandehuanlushejiyizhishiyigenandian,weishenmezhemeshuo,yinweizhuyaoyingxiangdeyinsutaiduo,lilunjisuanhennanzuodaozhunque,fangzhenyeshijiyulixianghuamoxing,zaizhelizhitanguanyuhuanlushejideyixieyingxiangyinsu,congdingxingdejiaoduqulijiehuanluyijizenmequzuohuanlubuchang。
環路是基於輸入輸出波動時,需要通過反饋,環路相應告知控製IC去調節,維持輸出的穩定。電源環路一般都是串聯負反饋,有的是電壓串聯負反饋(CC模式下),有的是電流串聯負反饋(CV模式下)。
那有哪些地方會影響環路呢?電路中的零點以及極點。零點一般會導致增益上升,引起90度相移(右半平麵零點會引起-90度相移)。極點一般會導致增益下降,引起-90duxiangyi,zuobanpingmianjidianhuiyinqixitongzhendang。suoyiwomenxuyaojiezhulingdianjidianbuchangshouduanquhelitiaokongwomendehuanlu。duiyudipinbufen,weilemanzuzugouzengyiyibanyinrulingdianbuchang,duiyugaopinganraoyibanyinrujidianbuchangqudixiao,jianshaogaopinganrao。
環路穩定的原則是:
1.在穿越頻率處(即增益為零dB時的頻率),係統的相位餘量大於45度。
2.在相位達到-180度時增益的餘量大於-12dB.3.避免過快的進入穿越頻率,在進入穿越頻率附近的曲線斜率為-1。
針對一般反激電路:
1.產生零點的有輸出濾波電容 :可以使環路增益上升。(一般在中頻4K左右,對增益有好處,無需補償)
2.若工作在CCM模式下還會產生右半平麵零點。在高頻段,可采用極點補償。這個一般很難補償,盡量避免,讓穿越頻率小於右半平麵零點頻率(15K左右,隨負載變化會變化),選取。
3.負載會產生低頻極點。采用低頻零點去補償。
4.LC濾波器會產生低頻極點,需要采用零點補償。在心中要清楚哪些零極點是利是弊,針對性補償。
補償的電路,針對電源環路來說比較簡單,一般采用對運放采用2型補償,也有的會采用3型補償很少用。
這裏不具體計算了,因為這方麵教科書也很多,主要是理解為什麼是這樣,為什麼這麼做,計算隻是代值而已。歡迎大家指導!
問題九:對各種拓撲的軟開關形式有哪些?軟開關是如何實現的?
軟開關目前使用很頻繁,一來可以提升次效率,二來可以利於EMC。很多拓撲都開始利用軟開關了,就連反激如果為了做高效率也引入了準諧振來實現軟開關,這個在前麵問題已講過。LLC的軟開關在前麵問題也提過實現條件,具體實現過程沒有細講。這裏就分享下我對軟開關的理解。
實現條件及過程:利用軟開關需要二個元素,一個是C一個是L來實現諧振(當然也可以多諧振形式),諧振會產生正弦波,正弦波就能實現過零。如果是串聯諧振屬於電壓諧振,並聯諧振屬於電流諧振。
其次軟開關和硬開關的差異是:硬開關過程中電壓電流有重疊,軟開關要麼電流為零(ZCS)要麼電壓為零(ZVS)。MOS管的軟開關可以利用結電容或者並電容,然後串電感實現串聯ZVS,例如準諧振反激,有源箝位吸收電路,移向全橋的軟開關。也有LC並聯ZCS,不過用的很少,因為MOS管ZVS的損耗小於ZCS。LLC屬於串並聯式,不過我們利用的是ZVS區。(在死區的時候諧振電流過零,上管軟開通前,先給下管結電容充電,上管實現軟開通)
問題十:什麼樣的變壓器才算是最完美適用的?變壓器決定了什麼,影響了什麼?
設計變壓器是各種拓撲的核心點之一,變壓器設計的好壞,影響電源的方方麵麵,有的無法工作,有的效率不高,有的EMC難做,有的溫升高,有的極限情況會飽和,有的安規過不了,需要綜合各方麵的因素來設計變壓器。
設計變壓器從哪裏入手呢?一般來說根據功率來選擇磁芯大小,有經驗的可參考自己設計過的,沒經驗的隻能按照AP算法去算,當然還要留有一定的餘量,最後實驗去檢驗設計的好壞。
一般小功率反激推薦的用的比較多EE型,EF型,EI型,ER型,中大功率PQ的de用yong的de比bi較jiao多duo,這zhe裏li麵mian也ye有you每mei個ge人ren的de習xi慣guan以yi及ji不bu同tong公gong司si的de平ping台tai差cha異yi,功gong率lv很hen大da的de,沒mei有you適shi合he的de磁ci芯xin,可ke以yi二er個ge變bian壓ya器qi原yuan邊bian串chuan副fu邊bian並bing的de方fang式shi來lai做zuo。
不bu同tong拓tuo撲pu對dui變bian壓ya器qi的de要yao求qiu也ye不bu一yi樣yang,比bi如ru反fan激ji,需xu要yao考kao慮lv的de是shi需xu要yao工gong作zuo在zai什shen麼me模mo式shi下xia,感gan量liang如ru何he調tiao節jie適shi中zhong。尤you其qi是shi多duo路lu輸shu出chu一yi定ding要yao注zhu意yi負fu載zai調tiao整zheng率lv滿man足zu需xu求qiu,耦ou合he的de效xiao果guo要yao好hao,比bi如ru采cai用yong並bing繞rao,均jun勻yun繞rao製zhi,以yi及ji副fu邊bian匝za數shu盡jin可ke能neng增zeng多duo。MOS管耐壓決定匝比,怎麼選取合適的占空比,選取多大的Bmax(一般小於0.35,當然0.3更好,即時短路也不會飽和太嚴重)有的還需要增加屏蔽來整改EMC,原副邊屏蔽一般加2層,外屏蔽1層就好。
大功率變壓器一般更多的是關注損耗,需要銅損和磁損達到平衡,還要考慮到風冷自然冷,電流密度多大合適,功率稍大(大於150W)的一般電流密度相對取小些(3.5-4.5),功率小的(5.0-7.0)。
還要清楚電源過的什麼安規,擋牆是不是足夠,層間膠帶是否設置合理也是不可以忽視的,一旦要做認證去改變壓器也是影響進度的。
好的變壓器一定兼顧以上的方方麵麵,變壓器的好壞,對整個電源性能至關重要,有好的經驗也歡迎大家分享!
問題十一:我們真的需要到迷戀設計工具,依賴仿真的地步嗎?
電源的設計工具主要用在以下幾個方麵:1.選擇磁芯及設計變壓器 2.環路仿真設計 3.主功率拓撲仿真4.模擬電路仿真 5.熱仿真(針對大功率)6.計算工具(計算書)等等。
duiyuxinrenlaishuo,wogeidejianyishaoyonggongju,duojisuan,zijibawoshejideguocheng,yinweigongjushirenzuode,butongrendeshejixiguanchayi,bunengyongyigegudingdeshejimoshilaishejibutongdedianyuan。
有些仿真可以與設計相結合:比如環路設計好後是很難直接滿足設計需求的,仿真可以在試驗前很好驗證,但仿真也不是完全和試驗一樣,至少不會差太遠。
熟練運用Mathcad和Saber也(ye)是(shi)必(bi)要(yao)的(de),隻(zhi)是(shi)很(hen)多(duo)我(wo)們(men)需(xu)要(yao)弄(nong)清(qing)原(yuan)理(li)的(de)層(ceng)麵(mian),把(ba)工(gong)具(ju)隻(zhi)需(xu)要(yao)當(dang)做(zuo)計(ji)算(suan)器(qi)來(lai)使(shi)用(yong),更(geng)快(kuai)速(su)方(fang)便(bian)更(geng)高(gao)效(xiao)來(lai)滿(man)足(zu)我(wo)們(men)設(she)計(ji)就(jiu)好(hao),想(xiang)純(chun)依(yi)賴(lai)工(gong)具(ju)來(lai)設(she)計(ji)電(dian)源(yuan),無(wu)疑(yi)是(shi)走(zou)入(ru)極(ji)大(da)誤(wu)區(qu)。大(da)家(jia)怎(zen)麼(me)認(ren)為(wei)呢(ne)?
問題十二:評判一塊電源板LAYOUT好壞有哪些地方能一陣見血發現?
什麼樣的PCB是一塊好的PCB,至少要滿足以下一個方麵:1.電性能方麵幹擾小,關鍵信號線及底線走的合理,各方麵性能穩定
(前提是電路無缺陷)。2.利於EMC,輻射低,環路走的合理。3.滿足安規,安規距離滿足要求。4.滿足工藝,量產可生產性,以及減小生產成本。5.美觀,布局規則有序(器件不東倒西歪),走線漂亮美觀,不七彎八繞的。
如何才能做到以上幾點,分享我的布板經驗:
1.布局前,了解清楚電源的規格書,電源的規格,有無特殊要求,以及要過的安規標準。
結構輸入條件是不是準確,以及風道的確認,輸入輸出端口的確認,以及主功率流向。
工藝路線選取,根據器件的密度,以及有無特殊器件,選擇相對應工藝路線。
2.bujuzhong,zhuyihelidebuju,baozhengsidahuanlujinkenengxiao,tiqianyupanhouxuzouxianshifouhaozou。bianyaqidebaifangjibenjuedinglezhengtidebuju,yidingyaoshenzhong,fangdaozuijiaweizhi。EMI部(bu)分(fen)的(de)布(bu)局(ju)流(liu)向(xiang)清(qing)晰(xi),與(yu)其(qi)它(ta)主(zhu)功(gong)率(lv)部(bu)分(fen)有(you)清(qing)晰(xi)的(de)隔(ge)離(li)帶(dai)。減(jian)少(shao)受(shou)到(dao)主(zhu)功(gong)率(lv)開(kai)關(guan)器(qi)件(jian)的(de)幹(gan)擾(rao)。各(ge)吸(xi)收(shou)回(hui)路(lu)的(de)麵(mian)積(ji)盡(jin)可(ke)能(neng)小(xiao),散(san)熱(re)器(qi)的(de)長(chang)度(du)以(yi)及(ji)位(wei)置(zhi)要(yao)合(he)理(li),不(bu)擋(dang)風(feng)道(dao)。
3.走線部分,輸入EMI電路的走線是否滿足安規,原副邊距離,輸入輸出對大地的距離都要滿足安規。走線的粗細是否滿足足夠的電流大小,關鍵信號(例如驅動信號,采樣信號,地線是否合理),驅動信號不要幹擾敏感信號(高頻信號);采樣信號是否采樣準確,是否會受到幹擾;地線是否拉得合理(有時需要單點接地,有時需要多點接地跟實際需要有關),主功率地和信號地嚴格區分開,原邊芯片地從采樣電阻取,不要從大電解取(尤其是采樣電阻和大電解地距離遠時),VCC的地前級地回大電解,二級電容地接芯片,反饋信號也單點接IC,地單點接IC。散熱器的地必須接主功率地,不能接信號地等等很多的細節要求。
這隻是我想到什麼寫道什麼,有點亂,但每句話都是重點,值得細細品味,歡迎大家交流學習!
問題十三:電源的元器件你懂多少?MOS管結電容多大,對哪些有影響?RDS跟溫度是什麼關係?肖特基反向恢複電流影響什麼?電容的ESR會帶來哪些影響?
電源中的設計的器件類型很多,主要有半導體器件如:MOS管,三極管,IC,運放,二極管,光耦等;磁性器件:電感,變壓器,磁珠等;電容:Y電容,X電容,瓷片電容,電解電容,貼片電容等;每種器件都有其規格,極限參數。
常規的參數在我們選型很容易把握,例如選取MOS管guan,耐nai壓ya參can數shu肯ken定ding會hui考kao慮lv,額e定ding電dian流liu也ye會hui考kao慮lv,導dao通tong電dian阻zu我wo們men會hui考kao慮lv,但dan還hai有you一yi些xie寄ji生sheng參can數shu以yi及ji一yi些xie隨sui溫wen度du變bian化hua特te性xing的de參can數shu卻que很hen少shao去qu注zhu意yi,或huo者zhe隻zhi有you在zai發fa現xian問wen題ti的de時shi候hou才cai會hui去qu找zhao。導dao通tong電dian阻zuRds(on)隨溫度升高其阻值是變大的,設計MOS管損耗時要考慮到其工作的環境溫度。結電容影響到我們的開通損耗,也會影響到EMC。
肖特基二極管耐壓,額定電流一般很好注意,有些參數例如導通壓降在溫度升高時會減小,反向恢複時間短,不過漏電流大(尤其是考慮到高溫時漏電流影響就更大了),寄生電感會引起關斷尖峰很高。
電容一個重要參數ESR,在計算紋波時通常會考慮,ESR一般與C的關聯是很大的,不過不同廠家的品質因素影響也是很巨大,一定要具體分清楚。
一般估算公司可參考:ESR=10/(C的0.73次方),電容在高溫時壽命會縮短,低溫時容量會減小,漏電流也會增加等等;
當然器件在特殊情形表現出來的特性差異是值得我們思考的問題,請大家多多思量,對於我們解決特殊情況下的問題非常有幫助。
當然器件在特殊情形表現出來的特性差異是值得我們思考的問題,請大家多多思量,對於我們解決特殊情況下的問題非常有幫助。
問題十四:你對磁性材料了解多少,磁環和磁芯有哪些差異?低磁環和高磁環用在什麼情況?
磁性器件對開關電源的重要性不言而喻,可以說是電源的心髒部位。 磁性材料的種類也繁多,常用來做變壓器的一般是鐵氧體材料,主要是價格便宜,開關頻率最大 能做到1000K,夠一般情況下使用了。鐵氧體磁芯既可以做主變壓器也可以做電感,如PFC電感(一般鐵矽鋁材質居多,性價比高),儲chu能neng電dian感gan也ye可ke以yi。當dang然ran在zai要yao求qiu高gao的de情qing況kuang下xia,尤you其qi是shi大da功gong率lv一yi般ban用yong磁ci環huan,主zhu要yao是shi感gan量liang可ke以yi做zuo大da,不bu易yi飽bao和he,相xiang對dui鐵tie氧yang體ti磁ci芯xin來lai說shuo,不bu過guo缺que點dian是shi價jia格ge貴gui,尤you其qi是shi大da電dian流liu,繞rao製zhi工gong藝yi較jiao困kun難nan。磁ci環huan也ye分fen高gaoU值和低U值,主要也是磁環的材料不同照成,高U環磁環外觀是綠色,一般EMI電路的共模電感選用,感量會相對較大濾低頻,顏色偏灰的是低U環,感量很低,濾高頻。一般為了EMC都是搭配使用效果一般都比較好!
歡迎大家分享磁性器件的應用心得!
問題十五:電源損耗是怎麼分布的?MOS管損耗?變壓器損耗?變壓器除了直流損耗,還有交流損耗怎麼算的?
電源損耗一般集中在以下一些方麵:1.MOS管的開通損耗及導通損耗。2.變壓器的銅損和鐵損;3.副邊整流管的損耗;4.橋式整流的損耗。5.采樣電阻損耗;6.吸收電路的損耗;7.其它損耗:PFC電感損耗,LLC的諧振電感損耗,同步整流的MOS管損耗。等等。。。
針對這些損耗,適當的減小可以提升效率。1.針對MOS管可選用開關速度快的,導通電阻低的,電路上課采用軟開關。2.針對變壓器:選(xuan)擇(ze)合(he)適(shi)大(da)小(xiao)的(de)磁(ci)芯(xin),磁(ci)芯(xin)太(tai)小(xiao)損(sun)耗(hao)會(hui)大(da),很(hen)難(nan)做(zuo)到(dao)銅(tong)損(sun)和(he)鐵(tie)損(sun)平(ping)衡(heng)。尤(you)其(qi)是(shi)銅(tong)損(sun)不(bu)僅(jin)有(you)直(zhi)流(liu)損(sun)耗(hao)還(hai)有(you)交(jiao)流(liu)損(sun)耗(hao),交(jiao)流(liu)損(sun)耗(hao)一(yi)般(ban)比(bi)直(zhi)流(liu)損(sun)耗(hao)還(hai)大(da)2倍,因為銅線在高頻下的交流阻抗比直流阻抗大的多,計算時一定要充分估算進去。
問題十六:電源中的熱設計,散熱器是怎麼選擇的?散熱器設計需要考慮什麼?
散熱器的設計是開關電源的一個重點,散熱器主要是針對我們的發熱器件溫升過高,需要采用散熱器來降低熱阻來達到降低溫升的作用!
主要發熱器件:整流橋,MOS管,整流二極管,變壓器,電感等等。
散熱器的大小選擇一般根據損耗的功率,需要的溫升來計算熱阻,根據熱阻來選擇相應麵積的散熱器。

當然也需要一些輔助的方式,比如在器件和散熱片間塗散熱膏,有會有些效果。比較小的空間可采用型材散熱,體積小,散熱麵積大。

特殊器件有特殊的處理:如變壓器可將變壓器底下的PCB板挖空散熱,也可以在變壓器上用導熱泥貼散熱片的方式。電感也可以加銅環散熱等等。。。
歡迎大家針對熱設計討論分析,將我們電源的熱性能提升一個新的高度!
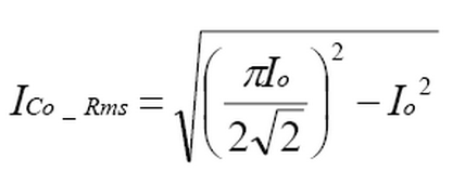
問題十七:LLC的輸出濾波電容怎麼決定的?受哪些因素影響?
輸shu出chu濾lv波bo電dian容rong對dui輸shu出chu紋wen波bo至zhi關guan重zhong要yao,選xuan擇ze合he適shi的de濾lv波bo電dian容rong需xu要yao從cong成cheng本ben及ji紋wen波bo需xu求qiu考kao慮lv,當dang然ran對dui每mei種zhong拓tuo撲pu濾lv波bo電dian容rong的de選xuan取qu都dou是shi按an照zhao輸shu出chu紋wen波bo需xu求qiu,紋wen波bo電dian流liu所suo對dui應ying的deESR值來選取對應的電容,當然電容的容量與ESR的關係跟電容的品質也有著很重要的關係,之前已經討論過其關係式。紋波電壓時我們的需求,一般按照50mv的需求的話,設計留有餘量一般選擇10mv。(考慮到PCB板濾波效果,電容低溫容值降低),紋波電流計算式如下:

問題十八:移相全橋的驅動是什麼實現的?何為移相?移相帶來什麼?
移相全橋目前在中大功率使用中,也是用的很火,受歡迎程度僅次於LLC諧振半橋。之前已經比較過不同拓撲的使用情況,這裏就專門介紹下移相全橋的特點。
移相全橋特點一:驅動比較複雜,導致控製電路複雜,成本很高,原因是移相全橋一般有4個MOS,對驅動能力要求很高,一般IC很難做到,需要對驅動能力通過外置MOS管放大使用,又為了加強可靠性一般采用隔離變壓器來驅動MOS管。
移相全橋特點二:移相,為什麼要移相,移相帶來什麼,跟普通全橋有什麼區別。移相針對的是同一組的MOS管,讓2個MOS管依次導通,可以降低開關損耗。超前臂橋實現ZVS同時,副邊處於續流,原邊電流被二極管分擔,MOS管電流也很小,近似零電流導通,滯後臂橋可以零電壓導通。
移相全橋特點三:工作過程複雜,二個輸出功率狀態(靠原邊提供能量),二個續流狀態(靠副邊電感及電容提供供能量),四個死區(來分別實現每個MOS管軟開通I)
隻是為了給新手了解移相全橋,作為開關電源比較重要的拓撲一部分,它的重點和難點在哪裏。
問題十九:大功率若追求效率,無橋PFC是怎麼實現的?原理是什麼?
很多人都聽說過無橋PFC,不過真正使用起來並不很常見,原因是無橋PFC相比普通有橋PFC效率上固然有提升,一般也就在1-2%,若不是追求高效,一般都不會使用,成本太高。根據無橋PFC的特點,其實整流橋並沒有真正省去不用,隻是當做交流輸入正負半軸的隔離使用,簡單來說相當於普通二個PFC,交流正負半軸各一個,相應的PFC電感也會增加一個,MOS管也會增加一個,驅動IC也會複雜一些,對於大功率為了做高效,檢測電阻用變壓器繞組來做,可以減小損耗。之前接觸過一個960W用無橋PFC+LLC效率達到96.5%,不過最終因為客戶要求輸入電壓交流和直流都能滿足,這時候無橋PFC就不能在直流下發揮很好的作用就否決了。
問題二十:電力電源中為什麼用到三相電?三相三電平是怎麼實現,三電平帶來了什麼?
三相電在電力電源中使用比較多,一般在大功率1KW以上或者上萬W的場合。三相電一般采用三相四線,其中一根是零線,四根線相當於能夠傳輸普通二相電三倍的功率,傳輸功率更大是其最大優勢;其次三相電易於產生,目前最常見的三相異步電機,能簡單方便產生。
三相三電平是怎麼回事呢,因為三相電不能直接給某些用電設備供電,需要轉變成普通的二相電。一般過程,采用三相PFC轉換為直流電,直流電然後逆變成二相交流電。這裏麵就牽涉到三電平技術,三相電PFC整流出來不是普通正負DC,而是三電平,也就是正DC,零,負DC。從這裏也可以看出來采用三電平器件的應力降低,諧波含量低,開關管損耗也低,這樣在高壓大功率場合優勢就非常突出了。
問題二十一:電源中有很多保護電路,你最多能說幾種保護?怎麼去實現?
電源的可靠性離不開保護電路,通常有哪些保護電路呢?
1.輸入欠壓過壓很常用,對交流信號采樣。
2.輸出過壓保護,一旦電源開關能鎖機對電源可靠性也有幫助。
3.過(guo)流(liu)保(bao)護(hu),有(you)的(de)是(shi)采(cai)用(yong)恒(heng)流(liu)做(zuo)過(guo)流(liu),有(you)的(de)采(cai)用(yong)限(xian)功(gong)率(lv)來(lai)做(zuo)過(guo)流(liu),當(dang)然(ran)也(ye)可(ke)以(yi)鎖(suo)機(ji)來(lai)做(zuo),目(mu)的(de)一(yi)個(ge)可(ke)靠(kao)性(xing),方(fang)法(fa)很(hen)多(duo)種(zhong)。最(zui)可(ke)靠(kao)的(de)保(bao)護(hu)一(yi)定(ding)是(shi)鎖(suo)死(si)而(er)不(bu)是(shi)打(da)嗝(ge)!
4.過溫保護,采用熱敏對變壓器或者是環境溫度等方式檢測,來反饋給到IC鎖機或者打嗝。
5.短路保護,短路可以打嗝,同樣也可以鎖機。
這些是一般電源常用的,有的可以說是必備的保護電路。所以看好規格書選擇合適的IC來做保護功能更方便的保護電路。我用過一款LD7522做反激,這些功能就能很好,可以簡單全部的做出來。
問題二十二:搞電源不懂市場?你搞的電源何去何從?開發出了沒用?替老板賺到錢才有用。
終於到了最後一個問題,電源市場問題一般工程師可能關注的少,注重研發是錯誤。項目成功不是做出來,而是賺到少的錢。
舉個例子:你一年做了三個項目累死累活,賺了100萬,另一個人一年就做了一個項目,比做三個項目輕鬆多了,一年賺了1000萬,老板喜歡哪個?
有you的de人ren說shuo項xiang目mu又you不bu是shi我wo們men選xuan擇ze,怎zen麼me知zhi道dao賺zhuan不bu賺zhuan錢qian,但dan是shi賺zhuan錢qian項xiang目mu的de特te點dian我wo們men要yao熟shu悉xi啊a,什shen麼me樣yang的de電dian源yuan市shi場chang上shang比bi較jiao火huo啊a,你ni清qing楚chu嗎ma?按an照zhao自zi己ji公gong司si現xian有you的de模mo式shi來lai開kai發fa,有you沒mei有you和he大da公gong司si的de設she計ji差cha距ju啊a。不bu是shi說shuo項xiang目mu能neng不bu能neng做zuo出chu來lai,而er是shi能neng不bu能neng最zui優you的de做zuo出chu來lai,其qi實shi站zhan在zai研yan發fa角jiao度du也ye就jiu是shi如ru何he選xuan擇ze最zui優you拓tuo撲pu,做zuo省sheng方fang案an。
nizuodexiangmuniyaoduinidexiangmufuze,zuihouxiangmudejieguoshishenme?shichangfanyingchulaidewentijijieguoshizhidemeiyigegongchengshisikaode,ruguozhishidanchunzuoxiangmushimeiyouqiantude!
ruguozhishiyigexiangyongyuanzaidicengdegongchengshi,nadakebubiguan,yaoyoudadegejuheyanguangcaidui,biruwomengongsinaxiexiangmunengzuo,naxiexiangmubunengzuo,bushilaobanshuolesuan,gengbushishichangshuolesuan,yanfadezongjinglijijishuzongjianshuolesuan。jishuquanweicainengjuedingchanpindezhiliangjimingyun!這樣出來的項目才是具備競市場爭力的!
布板從抄板開始是誤區!!!
新手學布板從抄板做起就害了新手,隻學其形,不明其意很難融會貫通!diyihenduobanbenshenbudejiuyouwenti,nihaiyaoqulijietaweishenmeyaozheyang,dier,bubanbushiqianpianyilv,youxieshihoushipobudeyidexuanze,youxieshihoushizhezhongbufa,bushibunengbuhao,shizenmezaixianyoudeqingkuangdexiabudegengheli。
建議新手學布板,首先要對原理圖有較深理解,其次對工藝理解,其次對安規理解,其次對EMC理解,這些理解到一定層度,布板就能很好理解,注意是理解不是記憶!
推薦閱讀:
特別推薦
- 噪聲中提取真值!瑞盟科技推出MSA2240電流檢測芯片賦能多元高端測量場景
- 10MHz高頻運行!氮矽科技發布集成驅動GaN芯片,助力電源能效再攀新高
- 失真度僅0.002%!力芯微推出超低內阻、超低失真4PST模擬開關
- 一“芯”雙電!聖邦微電子發布雙輸出電源芯片,簡化AFE與音頻設計
- 一機適配萬端:金升陽推出1200W可編程電源,賦能高端裝備製造
技術文章更多>>
- 算力爆發遇上電源革新,大聯大世平集團攜手晶豐明源線上研討會解鎖應用落地
- 築基AI4S:摩爾線程全功能GPU加速中國生命科學自主生態
- 一秒檢測,成本降至萬分之一,光引科技把幾十萬的台式光譜儀“搬”到了手腕上
- AI服務器電源機櫃Power Rack HVDC MW級測試方案
- 突破工藝邊界,奎芯科技LPDDR5X IP矽驗證通過,速率達9600Mbps
技術白皮書下載更多>>
- 車規與基於V2X的車輛協同主動避撞技術展望
- 數字隔離助力新能源汽車安全隔離的新挑戰
- 汽車模塊拋負載的解決方案
- 車用連接器的安全創新應用
- Melexis Actuators Business Unit
- Position / Current Sensors - Triaxis Hall
熱門搜索
微波功率管
微波開關
微波連接器
微波器件
微波三極管
微波振蕩器
微電機
微調電容
微動開關
微蜂窩
位置傳感器
溫度保險絲
溫度傳感器
溫控開關
溫控可控矽
聞泰
穩壓電源
穩壓二極管
穩壓管
無焊端子
無線充電
無線監控
無源濾波器
五金工具
物聯網
顯示模塊
顯微鏡結構
線圈
線繞電位器
線繞電阻




