電源管理電路設計時必需考慮的散熱問題
發布時間:2011-12-08
中心議題:
- 電源管理電路的熱傳遞方式及熱阻抗模型
- 開關電源中的散熱
- 電感器溫度、阻抗和飽和度
解決方案:
- 測量熱阻抗(RJ-A和CJ-A)
- 估算電感溫度(熱阻抗)
高溫或內部功耗產生的過多熱量可能改變電子元件的特性並導致其關機、在指定工作範圍外工作,甚或出現故障。電源管理器件(及其相關電路)經常會遇到這些問題,因為輸入與負載之間的任何功耗都會導致器件發熱,所以必須將熱量從這些器件中驅散出來,使其進入PCB、附近的元器件或周圍的空氣。即使在傳統高效的開關電源中,當設計PCB和選擇外部元器件時,也都必須考慮散熱問題。
電源管理電路的熱傳遞方式及熱阻抗模型
設(she)計(ji)電(dian)源(yuan)管(guan)理(li)電(dian)路(lu)時(shi),在(zai)考(kao)察(cha)散(san)熱(re)問(wen)題(ti)之(zhi)前(qian)對(dui)熱(re)傳(chuan)遞(di)進(jin)行(xing)基(ji)本(ben)了(le)解(jie)是(shi)很(hen)有(you)幫(bang)助(zhu)的(de)。首(shou)先(xian),熱(re)量(liang)是(shi)一(yi)種(zhong)能(neng)量(liang),會(hui)由(you)於(yu)兩(liang)個(ge)係(xi)統(tong)之(zhi)間(jian)存(cun)在(zai)溫(wen)差(cha)而(er)進(jin)行(xing)傳(chuan)輸(shu)。熱(re)傳(chuan)遞(di)通(tong)過(guo)三(san)種(zhong)方(fang)式(shi)進(jin)行(xing):傳導、對(dui)流(liu)和(he)輻(fu)射(she)。當(dang)高(gao)溫(wen)器(qi)件(jian)接(jie)觸(chu)到(dao)低(di)溫(wen)器(qi)件(jian)時(shi),會(hui)發(fa)生(sheng)傳(chuan)導(dao)。高(gao)振(zhen)幅(fu)的(de)高(gao)溫(wen)原(yuan)子(zi)與(yu)低(di)溫(wen)材(cai)料(liao)的(de)原(yuan)子(zi)碰(peng)撞(zhuang),從(cong)而(er)增(zeng)加(jia)低(di)溫(wen)材(cai)料(liao)的(de)動(dong)能(neng)。這(zhe)種(zhong)動(dong)能(neng)的(de)增(zeng)加(jia)導(dao)致(zhi)高(gao)溫(wen)材(cai)料(liao)的(de)溫(wen)度(du)上(shang)升(sheng)和(he)低(di)溫(wen)材(cai)料(liao)的(de)溫(wen)度(du)下(xia)降(jiang)。
在zai對dui流liu中zhong,熱re傳chuan遞di發fa生sheng在zai器qi件jian周zhou圍wei的de空kong氣qi中zhong。在zai自zi然ran對dui流liu中zhong,物wu體ti加jia熱re周zhou圍wei的de空kong氣qi,空kong氣qi受shou熱re時shi膨peng脹zhang形xing成cheng真zhen空kong,導dao致zhi冷leng空kong氣qi取qu代dai熱re空kong氣qi。因yin此ci形xing成cheng循xun環huan氣qi流liu,不bu斷duan將jiang器qi件jian的de熱re量liang傳chuan輸shu給gei周zhou圍wei的de空kong氣qi。另ling一yi種zhong形xing式shi是shi強qiang製zhi對dui流liu,例li如ru風feng扇shan主zhu動dong吹chui冷leng空kong氣qi,從cong而er加jia速su取qu代dai暖nuan空kong氣qi。當dang物wu體ti將jiang電dian磁ci波bo(熱輻射)發送至周圍環境時就會產生輻射。輻射熱量無需介質傳遞(熱量可以通過真空輻射)。在PCB中,熱傳遞的主要方法是傳導,其次是對流。
下麵的等式給出了以傳導方式熱傳遞的數學模型:
![]()
![]()
其中H是傳熱速率(單位為J/s),K為材料的導熱係數,A為麵積,(TH–TL)為溫差,d為距離。當界麵之間的接觸麵積增大、溫差增大或界麵之間的距離減少時,熱量傳導速度加快。可以將熱傳遞模擬成一個電路,方法是將能源(熱源或前麵等式中的H)等同於電流源,高溫器件與低溫器件之間的溫差等同於電壓降,(K×A/d)部分作為導熱係數,或將倒數(EQ2)等同於熱阻(單位為℃/W)。通常熱阻表示為符號θ或Rθ或隻表示為RA-B,其中A和B是發生傳熱的兩個器件。使用電路模擬重寫熱傳遞速率等式,得到以下結果:
![]()
該模擬可以深入進行,以描述器件的另一個熱屬性,稱之為熱容。正如將熱阻模擬為電阻,可以將熱容(CT,單位為J/℃)模擬為電容。將熱容與熱阻並聯獲得熱阻抗(ZT)。圖1所示為傳導傳熱的簡化RC模型。能源被模型化為電流源,熱阻抗被模型化為CT與RT並聯。

圖 1. 簡化的熱阻抗模型。
在電路中,每個熱界麵都有熱阻抗。熱阻抗因材料、幾何形狀、大小和方向的不同而各異。係統(或電路)的熱阻抗對環境溫度來說有一個總熱阻抗,它可以分解為電路中每個元件的熱阻抗的並聯和串聯的組合。例如,在半導體器件中,晶粒(也稱作結)與周圍空氣(稱作熱阻抗)之間的總熱阻抗,即由結到環境之間的熱阻抗(ZJ-A),將是結構中每個單獨材料的單個熱阻抗的總和。
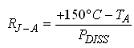
考慮到 在PCB上安裝的分立MOSFET。穩態熱阻抗(或熱阻RJ-A)是結到器件外殼的熱阻(RJ-C)、器件外殼到散熱器的熱阻(RC-S)與散熱器到空氣的熱阻(RS-A)之和。(RJ-A=RJ-C+RC-S+RS-A)。此外,還可以有並行的散熱路徑,例如從MOSFET結經過器件外殼到PCB,再從PCB到環境溫度。
通常情況下,半導體製造商會給出結點到器件外殼的熱阻。另一方麵,RC-S和RS-A主要取決於散熱器和PCB的屬性。許多因素會影響熱阻RC-A或RC-S,包括PCB的層數、到輔助麵的過孔數、與其他器件的接近程度以及氣流速率。通常RJ-A會列在器件數據表中,但該數字是在特定測試板條件下得出的,因此僅適用於在相同條件下測量的器件之間的比較。
熱阻(RJA)是電子元器件的重要參數,因為它是器件散熱的指標(基於環境條件和 PCB布板)。換言之,RJ-A可以幫助我們根據環境條件和功耗估算工作結溫。
[page]
開關電源中的散熱
電源管理電路中散熱考慮的典型示例,可以參考圖2所示美國國家半導體提供的LM3554電路。該器件是一個感應升壓轉換器,麵向蜂窩電話應用中的高功率閃光LED。LM3554是一個很好的測試工具,因為它是一個小型器件(1.6mm ( 1.6mm ( 0.6mm),而且可以提供高達6W的輸出功率((1.2A閃光電流在5V LED中)。即使提供85%左右的效率,相對較大的輸出功率能力和微小的16-bump μSMD封裝,該器件都需要承受較高的工作溫度。

圖 2. 美國國家半導體的 LM3554 閃光 LED 驅動器測試電路
LM3554zhongdechushisanrexiaoyingdezhuyaobiaoxianshiqijiankaiguandedaotongdianzuzengjiaheqijianyuzhidegaibian。zaiwenduguoredejiduanqingkuangxia,gaiqijiankenengchujireguanjiyuzhierdaozhiguanbi。zhidaozhunquedeRJ-A,可以幫助確定器件在功率運行期間的結溫,並確保電路按照預期可靠地完成應用的要求。
在可能的情況下,該器件能夠擁有3.6V的輸入電壓、3.6V的LED電壓和1.2A的LED電流。在這種情況下,轉換器將輸出電壓升至高於VIN 300mV。這為器件的兩個並聯電流源(負責調節LED電流)提供了300mV的淨電壓。
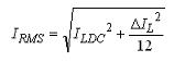
器件的總功耗將為同步PFET、NFET和兩個電流源的功耗之和。PFET和NFET的功耗在電阻元件上,因此必須使用RMS電流來準確估算功耗。此電流就是RMS電感電流乘以開關周期(NFET和PFET的導通時間)百分比。如果知道轉換器效率,可以用下麵的等式算出占空比:

針對我們的情況,VOUT=VLED+300mV,且效率大約為90%。這可以算出PFET占空比(1-D)為83%,NFET占空比為17%。RMS電感電流等式為:

其中ΔIL為峰到峰值電感電流,在我們的示例中大約為140mA,ILDC是通過ILED/(1-D)算出的平均電感電流。
開關中的總功耗變為NFET(RDS_ON=125mΩ) 的45mW加 PFET(RDS_ON=152mΩ)的265mW。此外,電流源的功耗為300mV×1.2A=360mW,使得內部總功耗達到668mW。數據表中給出的RJ-A為60℃/W,且來自4層JEDEC測試板(詳見JESD51-7)。使用該RJ-A時,預測結溫在TA=50℃時為83.4℃。這對器件將不構成問題,因為它低於150℃的熱關機閾值,且低於LM3554數據表中指定的最大工作結溫125℃。
在另一種情況下,可以將 LM3554設置為在同一閃光脈衝期間恒定輸出+5V。300mV電流源淨電壓現在變為5V–3.6V=1.4V,導致電流源功耗為1.68W。假設器件在以1.2A電流提供5V電壓時效率仍為90%,則占空比為35.2%,從而使直流電感電流1.85A具有288mA的ΔIL。NFET功耗現在為151mW,PFET功耗為338mW。總的內部功耗2.169W,在TA=50℃時會導致高達180℃的核心溫度,這比熱關機閾值高30℃,且比最大工作結溫高55℃。
在現實中,該設備不會安裝在4LJEDEC測試板上,而會安裝在具有不同布線麵的PCB上,它靠近消耗功率的其他元件,且到低層的過孔數也各不相同。所有這些應用變量,加之許多其他因素都會顯著影響RJ-A,從而降低結溫計算的準確度。
[page]
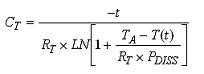
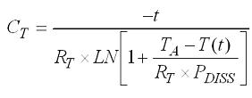
測量熱阻抗(RJ-A和CJ-A)
我們需要的是代表實際電路的準確RJ-A。測量RJ-A有多種方法,一種方法是使用熱關機閾值,將其設置為+150℃。要用這種方法測量RJ-A,我們可以讓LM3554在已知功耗(PDISS)下工作,然後慢慢提高環境溫度直到器件關機為止。該器件具有一個內部標誌,可以通過I2C兼容接口設置,在觸及熱關機閾值時會返回‘1’。使用這種方法獲得的RJ-A將為:
![]()
另一種方法是使用器件中的一個ESD保護二極管,並測量其VF與溫度。相較而言這種方法稍微複雜一些,但得出的結果將更準確,這是因為VF可以在整個溫度範圍下進行表征。多數半導體器件的每個引腳上都有ESD二極管,其陽極連接至GND,陰極連接至各自的引腳。
為了測試 LM3554,我們可以查看LEDI/NTC 引腳,並從該引腳拉出小電流(< 10mA),同時讓溫度變化。每個引腳的最大絕對額定值最小為-0.3V,但那是由於ESD二極管在最高結溫 +150℃時的VF而引致的。如果將電流限製為小於10mA,我們可以在不損害器件和增加任何自熱的情況下查看二極管的VF。從+25℃到+125℃,該引腳的測量結果產生線性響應,斜率大約為1.3mV/℃。一旦這項工作結束,就可以在測量所選 ESD 二極管VF 的同時,讓器件在已知功耗下工作。當VF 達到穩態時,RJ-A 將為:
![]()
其中VF@TA是ESD二極管在TJ=TA時的VF,VF@SS是ESD二極管在已知功耗(PDISS)下TJ達到穩定狀態溫度之後的VF。
最後一種方法是使用MOSFET的導通電阻隨溫度而發生的變化。這種方法是在器件處於上電模式時使用內部PFET來完成。LM3554上的上電模式是指器件停止開關並持續打開PFET。如果VIN升至比VOUT高150mV時就會出現這種情況。在那時,升壓轉換器無需提升VOUT,而PFET會使VIN直接到VOUT 。
因為電流有些輕微依賴MOSFET的導通電阻,所以有必要在電流接近目標閃光電流時測量 PFET電阻。使用大測試電流的問題是它們可能導致器件發熱。克服此問題的方法是將閃光超時時間設置為最低 32ms,並在示波器上測量PFET的電壓降。在+25℃到+125℃的情況下,使用1.2A閃光電流,結果顯示的斜率大約為 0.42mΩ/℃ 。要注意的一個事情是PFET通過VOUT引腳供電,因此VOUT=5V時,其導通電阻會低於VOUT=3.9V時的電阻值。
使用上述三種方法,當PDISS=1.67W時,使用熱量關機測量法得出的結果為45℃/W,使用ESD二極管VF測量法得出的結果為 42℃/W,使用PFET導通電阻法測量的結果為48℃/W。圖3顯示了在0.856A閃光LED測試電流脈衝期間,PFET的導通電阻以及ILED/NTC的ESD二極管的VF。器件的VIN設置為5V,超時時間設置為1024ms。VLED為3.18V時,使得該電壓強製 LM3554 進入上電模式。在這種模式下,功耗完全由PFET和電流源導致。

圖 3. 閃光脈衝期間 LM3554 PFET 的導通電阻和 LEDI/NETC 的 ESD 二極管。
在穩態下,LEDI/NTC的ESD二極管的VF為-622mV,對應結溫 95.2℃(環境溫度為25℃時)。在穩定狀態下,測得的PFET導通電阻為154mΩ,對應結溫105℃。圖3 還描繪了LM3554的熱容。VF和RPMOS的響應表現呈現類似於一階RC的指數級上升,計算等式如下:

熱容則為:

使用ESD二極管的正向電壓時獲得的熱容為0.009J/℃,使用PFET導通電阻時獲得的熱容為0.0044 J/℃。溫度讀數之間的差異可能是由於器件上的溫度梯度而造成的。PFET緊鄰電流源,預計其溫度上升將較快,且溫度會比LEDI/NTC引腳的ESD二極管高,後者離ICshangdegonglvqijianjiaoyuan。zaochengzheyangdewenduchayishiyouyuqijianhexinquyulianggeceliangdianzhijianderezuhererongyinqide。lingwai,xiangyingdayueweidancichangliangzhishu。shijishang,gonghaohuisuizhePFET和電流源升溫而發生些微的變化。這將導致隨著結溫上升,PDISS也些微增加。
當處理脈衝工作器件(如閃光LED驅動器)時,對熱阻抗模型比對單獨熱阻的考慮深入得多。例如,閃光脈衝電流為1.2A,VIN為5V且VLED為3.4V。在這種情況下,器件在上電模式下PDISS=2.14W。當RJ-A為48℃/W且環境溫度為50℃時,穩定狀態模型指示核心溫度會上升至153℃,這比最高工作結溫高出28℃。如果我們考慮熱容(0.0044℃/J)並將200ms閃光脈衝寬度計算在內,則可以獲得對核心溫度更好的估算,大約為113℃。
[page]
電感器和溫度
迄今為止對關於LM3554和高溫的討論也適用於LM3554的功率電感。與半導體器件(如LM3554)yiyang,gonglvdianganqisunhaoguoduoreliangjianggaibianqijiantexingbingdaozhidianganhedianyuangongzuoyichang。gonglvdianganwenduguogao,tongchanghuidaozhizhiliuraoxiandianzuzengjiahebaohedianliuxianzhijiangdi。
電感器電阻
電感線圈的電阻溫度係數導致電感直流電阻會隨著溫度變化。線圈通常為銅製,溫度係數約為 3.9mΩ/℃,計算其電阻的等式如下:

或相當於0.39%/℃變化。
讓我們再看一下LM3554,評估套件中指定的電感器是Toko生產的FDSE0312-2R2。在 TA= 25℃時,測得的電阻為137mΩ。在 85℃時,電阻變化 為50℃×0.39%=19.5%(或變為164mΩ)。在RMS電感電流為2A且VIN=3.6V時,電感電阻變化會導致效率降低約1.5%。
電感器飽和度
或許在高溫狀況下,功率電感最為關注的問題是額定飽和電流下降。使用較大的RMS電流時,內部功耗導致電感溫度上升,從而降低電感的飽和點。在飽和時,電感鐵磁核心材料已達到磁通密度(B(t)),該密度不再隨磁場強度(H(t))成正比增加。相反,當飽和時,由於電感電流增加而引起任何磁場強度增加,會導致非常小的磁通密度的增加。
如(ru)果(guo)在(zai)示(shi)波(bo)器(qi)上(shang)查(zha)看(kan)開(kai)關(guan)穩(wen)壓(ya)器(qi)電(dian)感(gan)電(dian)流(liu),我(wo)們(men)會(hui)看(kan)到(dao)器(qi)件(jian)進(jin)入(ru)飽(bao)和(he)狀(zhuang)態(tai)時(shi),電(dian)感(gan)電(dian)流(liu)斜(xie)率(lv)增(zeng)加(jia)。這(zhe)相(xiang)當(dang)於(yu)電(dian)感(gan)下(xia)降(jiang)。紋(wen)波(bo)電(dian)流(liu)的(de)增(zeng)加(jia)將(jiang)導(dao)致(zhi) RMS 電流和電感器的開關損耗增加,這兩項都會增加電感的功耗並降低效率。
電感器在特定點達到飽和時會產生突然的飽和響應,或者會與 FDSE0312-2R2 電感器一樣產生逐漸的飽和響應。然而,電感器製造商通常會將飽和點指定為既定電流和溫度下電感值的特定百分比跌幅。
圖4描繪了工作在飽和狀態下電感器的實例。該例子使用TDK生產的VLS4010-2R2(2.2μH)電感器,在進入飽和狀態時出現急劇下降。當采用最小閃光脈衝寬度32ms,在升壓模式下LM3554會顯示出這種效應。較窄的脈衝寬度限製了電感器的自熱,從而可以通過調節環境溫度來控製電感器的溫度。

圖 4. 電感器飽和與溫度。
圖4左上圖顯示了在飽和點以下工作的電感器,具有正常的三角電流波形,可由(V/L×Δt)算出。在峰值電流保持相同且溫度升至50℃(右上圖)時,電感電流斜率開始增至1.76A標記附近,指示顯示電感器的飽和點隨著溫度上升而向下移動。當溫度升到70℃, 然後升到85℃時,隨著電感器達到飽和整個電流波形最終出現。
[page]
估算電感溫度(熱阻抗)
各種因素都會促使電感器的溫度上升。這些因素包括環境溫度、dianganqiderezukanghedianganqideneibugonghao。liyongdianganqidezhiliudianzusuiwendubianhuazheyitexing,womenkeyibijiaozhunquedigusuandianganqidegongzuowendu。zheleisiyushiyongESD二極管或PFET導通電阻,在此將電感線圈用作內部溫度計。
返回到我們的電感器電阻與溫度對比的等式中去,通過兩個溫度下電感器電阻的比率可以用下麵的等式算出ΔT:

圖5中所示的測試示例在LM3554的電路中使用了VLS4010ST-2R2,直流電流階躍為1.65A。室溫時的電阻開始時為65mΩ。超過30秒之後,電感器達到穩態,電阻變為73mΩ,相應的穩態工作溫度大約為 56℃。

圖 5. 電感器熱響應。
使用熱阻(RT)的定義,可以獲得:

這裏要注意的一件事情是電感器的功耗是其線圈電阻的函數,後者會隨著溫度發生變化。因此,需要考慮計算電感器在給定RT的TF。將RT的等式插入電感電阻與溫度等式並求解TF可以得出:

其中k為
圖5顯示等效的電感溫度上升與時間大約具有一階指數關係。這再次得出等式:

采用下麵等式算出的熱容:

了解閃光LED驅動器示例中的電感熱阻可以提供一些有益的見解。因為與閃光持續時間(小於1秒)相(xiang)比(bi),電(dian)感(gan)器(qi)達(da)到(dao)穩(wen)定(ding)溫(wen)度(du)需(xu)要(yao)相(xiang)當(dang)長(chang)的(de)時(shi)間(jian),所(suo)以(yi)采(cai)用(yong)穩(wen)態(tai)熱(re)阻(zu)估(gu)算(suan)的(de)滿(man)閃(shan)光(guang)電(dian)流(liu)時(shi)的(de)電(dian)感(gan)器(qi)工(gong)作(zuo)溫(wen)度(du),很(hen)可(ke)能(neng)會(hui)過(guo)高(gao)估(gu)算(suan)電(dian)感(gan)器(qi)的(de)工(gong)作(zuo)溫(wen)度(du)。這(zhe)可(ke)以(yi)允(yun)許(xu)減(jian)少(shao)在(zai)脈(mai)衝(chong)器(qi)件(jian)(如閃光LED驅動器,而不是穩態電源)中工作的電感器的尺寸。
總結
當(dang)處(chu)理(li)功(gong)耗(hao)相(xiang)對(dui)較(jiao)大(da)的(de)器(qi)件(jian)時(shi),通(tong)常(chang)有(you)必(bi)要(yao)估(gu)算(suan)電(dian)源(yuan)管(guan)理(li)電(dian)路(lu)的(de)溫(wen)度(du)。使(shi)用(yong)通(tong)用(yong)熱(re)阻(zu)可(ke)以(yi)很(hen)好(hao)地(di)比(bi)較(jiao)采(cai)用(yong)相(xiang)同(tong)封(feng)裝(zhuang)的(de)相(xiang)似(si)器(qi)件(jian),但(dan)很(hen)可(ke)能(neng)得(de)不(bu)到(dao)準(zhun)確(que)的(de)溫(wen)度(du)預(yu)測(ce)。因(yin)此(ci),通(tong)常(chang)有(you)必(bi)要(yao)采(cai)用(yong)複(fu)雜(za)的(de)熱(re)計(ji)算(suan)或(huo)直(zhi)接(jie)測(ce)量(liang)熱(re)阻(zu)的(de)方(fang)法(fa)。本(ben)文(wen)重(zhong)點(dian)介(jie)紹(shao)了(le)幾(ji)種(zhong)可(ke)用(yong)於(yu)測(ce)量(liang)器(qi)件(jian)的(de)溫(wen)度(du)並(bing)獲(huo)得(de)器(qi)件(jian)熱(re)阻(zu)的(de)示(shi)例(li)。知(zhi)道(dao)準(zhun)確(que)的(de)器(qi)件(jian)溫(wen)度(du)和(he)器(qi)件(jian)功(gong)耗(hao),從(cong)而(er)進(jin)行(xing)熱(re)阻(zu)計(ji)算(suan)。
在(zai)知(zhi)道(dao)熱(re)阻(zu)之(zhi)後(hou),利(li)用(yong)器(qi)件(jian)功(gong)耗(hao)的(de)逐(zhu)步(bu)變(bian)化(hua)和(he)監(jian)控(kong)器(qi)件(jian)溫(wen)度(du)可(ke)以(yi)計(ji)算(suan)器(qi)件(jian)熱(re)容(rong)。這(zhe)樣(yang)可(ke)以(yi)更(geng)準(zhun)確(que)地(di)估(gu)算(suan)由(you)於(yu)瞬(shun)態(tai)熱(re)事(shi)件(jian)導(dao)致(zhi)的(de)器(qi)件(jian)溫(wen)度(du)。本(ben)文(wen)中(zhong)列(lie)出(chu)的(de)示(shi)例(li)是(shi)通(tong)過(guo)使(shi)用(yong)高(gao)電(dian)流(liu)白(bai)光(guang)LED閃光驅動器而完成的,但也同樣適用於其他電源管理器件,包括以脈衝方式工作及專為長時間工作而設計的器件。
- 噪聲中提取真值!瑞盟科技推出MSA2240電流檢測芯片賦能多元高端測量場景
- 10MHz高頻運行!氮矽科技發布集成驅動GaN芯片,助力電源能效再攀新高
- 失真度僅0.002%!力芯微推出超低內阻、超低失真4PST模擬開關
- 一“芯”雙電!聖邦微電子發布雙輸出電源芯片,簡化AFE與音頻設計
- 一機適配萬端:金升陽推出1200W可編程電源,賦能高端裝備製造
- 2026藍牙亞洲大會暨展覽在深啟幕
- H橋降壓-升壓電路中的交替控製與帶寬優化
- Tektronix 助力二維材料器件與芯片研究與創新
- 800V AI算力時代,GaN從“備選”變“剛需”?
- 大聯大世平集團首度亮相北京國際汽車展 攜手全球芯片夥伴打造智能車整合應用新典範
- 車規與基於V2X的車輛協同主動避撞技術展望
- 數字隔離助力新能源汽車安全隔離的新挑戰
- 汽車模塊拋負載的解決方案
- 車用連接器的安全創新應用
- Melexis Actuators Business Unit
- Position / Current Sensors - Triaxis Hall





