基於電機控製的高效家電設計實現
發布時間:2014-09-15 責任編輯:stone
【導讀】事實上,采用最新的集成運轉控製平台,設計者甚至能夠為自己的設計選擇較小和較低成本的電機,而不會犧牲最終的性能。
xiyijihebingxiangdengjiadianzhizaoshangdoumianlinzhetigaochanpinxingnengyugongnengdeyali,tongshihaiyaojiangdizhengtinenghao。shejizheyaomanzuzhexiesihuxianghumaodundemubiao,tongshibuhuizhaozhimingxiandechengbensunshi,guanjianshishiyongzhenduikongzhijiadianzhongzhongdengguimodianjidexinjishu。shishishang,caiyongzuixindejichengyunzhuankongzhipingtai,shejizheshenzhinenggouweizijideshejixuanzejiaoxiaohejiaodichengbendedianji,erbuhuixishengzuizhongdexingneng。

圖1PM交流電機麵向現場無傳感器控製
家電電機控製
jiaoliuganyingdianjishiduoshujiadianyingyongzhongdianjideshouxuanmubiao。zhezhuyaoshiyouyutamenkeyizhijieyongjiaoliudianyunxing,erwuxuzengjiakongzhidianluhuozitaifankuichuanganqi。liru,bingxiangzhongdechuantongjiadiankongzhiqishiyigejiandandianlu,tadingqizhixingyasuojidekaijihetingji,yibaochimubiaoquyudewendu。
當係統開始運行時,壓縮機就連續運轉。一旦溫度到達了目標區,壓縮機便以低占空比運轉。當係統以低的開/關占空比運轉時,壓縮機在大部分時間裏都偏離最高效的工作點。改變壓縮機的轉速來匹配製冷負荷,可以減少 40% 的能耗,因為製冷係統能夠以更高占空比運行。
采用三相PM(永磁)電機,並將電機控製在變速運行狀態,就能進一步改進家電的效率。這類電機效率通常可高達 90%,與之相比,傳統的單相感應電機的效率為 70%。同時,這類電機還可以簡化速度控製和轉矩控製。
另ling外wai,由you於yu有you更geng高gao的de效xiao率lv,就jiu可ke以yi采cai用yong較jiao小xiao的de電dian機ji,因yin此ci降jiang低di了le單dan位wei成cheng本ben,更geng容rong易yi做zuo機ji械xie設she計ji。顯xian然ran,從cong這zhe些xie電dian機ji獲huo取qu最zui大da利li益yi的de關guan鍵jian就jiu有you賴lai於yu驅qu動dong方fang法fa的de選xuan擇ze。要yao準zhun確que而er高gao效xiao地di驅qu動dong冰bing箱xiang或huo洗xi衣yi機ji等deng家jia電dian中zhong的de變bian速su電dian機ji,重zhong要yao的de是shi能neng夠gou獲huo得de轉zhuan子zi姿zi態tai的de信xin息xi。最zui顯xian而er易yi見jian的de方fang式shi是shi采cai用yong附fu加jia的de檢jian測ce元yuan件jian。但dan是shi,這zhe會hui同tong時shi影ying響xiang可ke靠kao性xing和he成cheng本ben,實shi際ji上shang是shi不bu現xian實shi的de方fang法fa。因yin此ci,設she計ji者zhe正zheng在zai尋xun找zhao無wu傳chuan感gan器qi技ji術shu。
無傳感器的變速電機控製
由於電機控製技術的進步,現在無需姿態傳感器也能實現高效率的三相PM電機交流傳動。圖1是這類係統的一個實例。圖中,右側是三相電源逆變器,它控製著從直流電源進入PM電機繞組的電流,同時空間矢量PWM單(dan)元(yuan)是(shi)功(gong)率(lv)晶(jing)體(ti)管(guan)計(ji)算(suan)時(shi)序(xu)信(xin)號(hao),然(ran)後(hou)由(you)功(gong)率(lv)晶(jing)體(ti)管(guan)為(wei)電(dian)機(ji)提(ti)供(gong)三(san)相(xiang)正(zheng)弦(xian)波(bo)電(dian)壓(ya)。低(di)電(dian)壓(ya)控(kong)製(zhi)信(xin)號(hao)與(yu)連(lian)接(jie)到(dao)高(gao)電(dian)壓(ya)直(zhi)流(liu)總(zong)線(xian)功(gong)率(lv)開(kai)關(guan)之(zhi)間(jian)的(de)接(jie)口(kou)是(shi)一(yi)個(ge) HVIC(高壓柵極驅動 IC)。
這些 IC 比分立的柵極驅動電路或普通光電耦合、脈衝變壓器方案更強健和精致。最新的 HVIC 技術采用先進的混合信號半導體工藝,結合了低電壓輸入能力與高電壓驅動輸出和大量板載功能。

圖2MCE與同時集成的8051微控製器芯片上帶有A/D
如圖 1 所示,控製電路的關鍵是需要實現一個磁場定向控製(FOC)算法。這種算法通常用於工業傳動係統中,它計算提供所需速度和轉矩的電機電壓與電流,有最高的電機效率。
FOC 采用向量變換,將交流電機繞組的電流分解成兩個用於驅動電機磁鏈和轉矩的“準直流”(quasi DC)電流分量。這種變換包括作為轉子磁鏈角函數的一個向量旋轉(e-jq),以取得與轉子磁鏈相配合的一個電流分量(ID);還有一個產生電機轉矩的正交分量(IQ)。
電流反饋控製回路計算出兩個“準直流”的電壓分量VD和VQ,用於保持目標轉矩和磁鏈。第二個向量旋轉為脈衝寬度調製器計算出交流電壓基準。FOC算法的優勢在於,電機轉矩是IQ基準的一個線性函數,它產生一個簡單的線性速度控製規則。在PM電機情況下,控製器將磁鏈電流分量(ID)保持為零,從而實現運動係統效率的最大化。
采用這種算法的一個主要優點是,控製器能夠通過測量逆變器直流鏈接(隻用一個直流鏈接分流器為電機提供電流)中的電流,計算出轉子的位置。
估計轉子位置
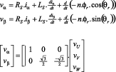
使(shi)用(yong)轉(zhuan)子(zi)角(jiao)評(ping)估(gu)器(qi)電(dian)路(lu),通(tong)過(guo)下(xia)麵(mian)的(de)電(dian)機(ji)繞(rao)組(zu)電(dian)路(lu)方(fang)程(cheng),支(zhi)持(chi)無(wu)傳(chuan)感(gan)器(qi)的(de)轉(zhuan)子(zi)姿(zi)態(tai)反(fan)饋(kui)。三(san)相(xiang)至(zhi)兩(liang)相(xiang)的(de)變(bian)換(huan)簡(jian)化(hua)了(le)計(ji)算(suan),並(bing)得(de)到(dao)兩(liang)個(ge)關(guan)係(xi),分(fen)別(bie)是(shi)轉(zhuan)子(zi)磁(ci)鏈(lian)角(jiao)的(de)正(zheng)弦(xian)函(han)數(shu)和(he)餘(yu)弦(xian)函(han)數(shu)。

解(jie)出(chu)這(zhe)些(xie)方(fang)程(cheng)即(ji)得(de)到(dao)電(dian)機(ji)電(dian)流(liu)與(yu)電(dian)壓(ya)的(de)正(zheng)弦(xian)函(han)數(shu)和(he)餘(yu)弦(xian)函(han)數(shu)。反(fan)正(zheng)切(qie)計(ji)算(suan)可(ke)以(yi)確(que)定(ding)轉(zhuan)子(zi)角(jiao),但(dan)基(ji)於(yu)以(yi)下(xia)誤(wu)差(cha)函(han)數(shu)的(de)鎖(suo)相(xiang)環(huan)方(fang)法(fa)更(geng)為(wei)強(qiang)大(da),它(ta)能(neng)產(chan)生(sheng)一(yi)個(ge)副(fu)產(chan)品(pin),即(ji)過(guo)濾(lv)的(de)速(su)度(du)測(ce)量(liang)法(fa)。
控kong製zhi器qi通tong過guo對dui直zhi流liu鏈lian並bing聯lian電dian阻zu上shang的de采cai樣yang電dian流liu以yi及ji功gong率lv逆ni變bian器qi開kai關guan的de時shi序xu作zuo同tong步bu,重zhong建jian電dian機ji的de相xiang電dian流liu。如ru前qian所suo述shu,上shang述shu方fang法fa的de一yi個ge顯xian著zhu優you點dian是shi電dian機ji反fan饋kui信xin號hao取qu自zi單dan個ge直zhi流liu並bing聯lian電dian阻zu,因yin此ci無wu需xu使shi用yong姿zi態tai傳chuan感gan器qi或huo隔ge離li式shi電dian流liu傳chuan感gan器qi。於yu是shi就jiu獲huo得de了le對dui家jia電dianPM交流電機具有成本效益的控製方法,大大提高了效率和性能。
實現無傳感器控製
雖然上述方法為電機控製提供了一種可靠、準確的方法,但它們也給設計工程師帶來了一個重大挑戰,尤其是在建立軟件編碼時。基於這個原因,國際整流器公司開發了iMOTION平台概念,它包含針對各種應用領域的集成電機控製係統,如家電。
iMOTION平台概念的核心是專用的運轉控製IC。這些 IC在單隻芯片內包含了兩個計算引擎,如圖 2 所示。第一個是運轉控製引擎(MCE),它包含了PM電機無傳感器控製所需的全部代碼;第二個是一隻8位高速微控製器。MCE包bao括kuo一yi係xi列lie硬ying件jian實shi現xian的de控kong製zhi元yuan件jian,設she計ji者zhe可ke以yi作zuo適shi當dang配pei置zhi,建jian立li針zhen對dui特te定ding應ying用yong的de運yun轉zhuan控kong製zhi算suan法fa。配pei置zhi工gong作zuo通tong過guo一yi個ge簡jian單dan易yi用yong的de圖tu形xing化hua編bian譯yi器qi完wan成cheng。
MCE中提供了FOC算法的關鍵部分,作為完整的預定控製塊。IC還包括一個ADC以及相應的算法,完全支持單一並聯電流重建。有了MCE處理運轉控製,8051微控製器就能自由地運行家電應用軟件,包括排序、用戶界麵、主機通信以及較高層的控製任務。MCE和8051MCU共同訪問雙口RAM,允許共享目標速度等設置點,並可在軟件控製下作調整。
相關閱讀:
馬達控製中關鍵安全應用的解決方案
工業自動化方案:傳感器技術及馬達控製的實現
實例告訴你——如何使用 PolySwitch 器件保護馬達
特別推薦
- 噪聲中提取真值!瑞盟科技推出MSA2240電流檢測芯片賦能多元高端測量場景
- 10MHz高頻運行!氮矽科技發布集成驅動GaN芯片,助力電源能效再攀新高
- 失真度僅0.002%!力芯微推出超低內阻、超低失真4PST模擬開關
- 一“芯”雙電!聖邦微電子發布雙輸出電源芯片,簡化AFE與音頻設計
- 一機適配萬端:金升陽推出1200W可編程電源,賦能高端裝備製造
技術文章更多>>
- 三星上演罕見對峙:工會集會討薪,股東隔街抗議
- 摩爾線程實現DeepSeek-V4“Day-0”支持,國產GPU適配再提速
- 築牢安全防線:智能駕駛邁向規模化應用的關鍵挑戰與破局之道
- GPT-Image 2:99%文字準確率,AI生圖告別“鬼畫符”
- 機器人馬拉鬆的勝負手:藏在主板角落裏的“時鍾戰爭”
技術白皮書下載更多>>
- 車規與基於V2X的車輛協同主動避撞技術展望
- 數字隔離助力新能源汽車安全隔離的新挑戰
- 汽車模塊拋負載的解決方案
- 車用連接器的安全創新應用
- Melexis Actuators Business Unit
- Position / Current Sensors - Triaxis Hall
熱門搜索
鑒頻器
江蘇商絡
交流電機
腳踏開關
接觸器接線
接近開關
接口IC
介質電容
介質諧振器
金屬膜電阻
晶體濾波器
晶體諧振器
晶體振蕩器
晶閘管
精密電阻
精密工具
景佑能源
聚合物電容
君耀電子
開發工具
開關
開關電源
開關電源電路
開關二極管
開關三極管
科通
可變電容
可調電感
可控矽
空心線圈

