音頻變壓器的詳細的知識
發布時間:2024-09-03 責任編輯:lina
【導讀】除chu了le升sheng高gao或huo降jiang低di信xin號hao電dian壓ya外wai,變bian壓ya器qi還hai具ju有you另ling一yi個ge非fei常chang有you用yong的de特te性xing,即ji隔ge離li。由you於yu變bian壓ya器qi的de初chu級ji和he次ci級ji繞rao組zu之zhi間jian沒mei有you直zhi接jie的de電dian氣qi連lian接jie,因yin此ci變bian壓ya器qi的de輸shu入ru和he輸shu出chu電dian路lu之zhi間jian提ti供gong了le完wan全quan的de電dian氣qi隔ge離li。連lian接jie在zai放fang大da器qi和he揚yang聲sheng器qi之zhi間jian的de音yin頻pin變bian壓ya器qi也ye可ke以yi利li用yong這zhe種zhong隔ge離li特te性xing。
除chu了le升sheng高gao或huo降jiang低di信xin號hao電dian壓ya外wai,變bian壓ya器qi還hai具ju有you另ling一yi個ge非fei常chang有you用yong的de特te性xing,即ji隔ge離li。由you於yu變bian壓ya器qi的de初chu級ji和he次ci級ji繞rao組zu之zhi間jian沒mei有you直zhi接jie的de電dian氣qi連lian接jie,因yin此ci變bian壓ya器qi的de輸shu入ru和he輸shu出chu電dian路lu之zhi間jian提ti供gong了le完wan全quan的de電dian氣qi隔ge離li。連lian接jie在zai放fang大da器qi和he揚yang聲sheng器qi之zhi間jian的de音yin頻pin變bian壓ya器qi也ye可ke以yi利li用yong這zhe種zhong隔ge離li特te性xing。
我們在本節關於變壓器的介紹中了解到,變壓器是一種電氣設備,它允許正弦輸入信號(例如音頻信號或電壓)產生輸出信號或電壓,而無需輸入側和輸出側物理連接。這種耦合是通過將兩個(或更多)線圈(稱為繞組)的絕緣銅線纏繞在軟磁鐵芯上來實現的。
音頻變壓器
當dang交jiao流liu信xin號hao施shi加jia到dao初chu級ji輸shu入ru繞rao組zu時shi,由you於yu軟ruan鐵tie芯xin的de電dian感gan耦ou合he,輸shu出chu次ci級ji繞rao組zu上shang會hui出chu現xian相xiang應ying的de交jiao流liu信xin號hao。輸shu入ru和he輸shu出chu線xian圈quan之zhi間jian的de匝za數shu比bi決jue定ding了le施shi加jia信xin號hao通tong過guo變bian壓ya器qi時shi的de增zeng加jia或huo減jian少shao。
然ran後hou,音yin頻pin變bian壓ya器qi可ke以yi被bei視shi為wei升sheng壓ya型xing或huo降jiang壓ya型xing,但dan音yin頻pin變bian壓ya器qi不bu是shi繞rao製zhi以yi產chan生sheng特te定ding的de電dian壓ya輸shu出chu,而er是shi主zhu要yao用yong於yu阻zu抗kang匹pi配pei。此ci外wai,匝za數shu比bi為wei 1:1 的變壓器不會改變電壓或電流水平,而是將初級電路與次級側隔離。這種類型的變壓器通常稱為隔離變壓器。
bianyaqibushizhinengshebei,dankeyiyongzuoshuangxiangshebei,shidezhengchangdechujishururaozukeyichengweishuchuraozu,zhengchangdecijishuchuraozukeyichengweishuru,bingqieyouyuzhezhongshuangxiangtexing,bianyaqizaiyigefangxiangshangshiyongshikeyitigongxinhaozengyi,zaifanxiangshiyongshikeyitigongxinhaosunshi,yibangzhupipeibutongshebeizhijiandexinhaohuodianyashuiping。
還要注意的是,單個變壓器可以有多個初級或次級繞組,這些繞組沿其長度還可以有多個電氣連接或“抽頭”。多抽頭音頻變壓器的優點是它們提供不同的電阻抗以及不同的增益或損耗比,使其可用於放大器和揚聲器負載的阻抗匹配。
顧名思義,音頻變壓器設計用於在音頻頻帶內工作,因此可以應用於輸入級(麥克風)、輸出級(揚聲器)、級間耦合以及放大器的阻抗匹配。在所有情況下,都需要考慮頻率響應、初級和次級阻抗以及功率能力。
音頻和阻抗匹配變壓器的設計與低頻電壓和電源變壓器相似,但它們的工作頻率範圍要寬得多。例如,20Hz 至 20kHz 語音範圍。音頻變壓器還可以在一個或多個繞組中傳導直流電,用於數字音頻應用以及轉換高頻電壓和電流水平。
音頻變壓器阻抗匹配
音頻變壓器的主要應用之一是阻抗匹配。音頻變壓器非常適合平衡具有不同輸入/輸出阻抗的放大器和負載,以實現功率傳輸。
例如,典型的揚聲器阻抗範圍為 4 至 16 歐姆,而晶體管放大器輸出級的阻抗可能高達幾百歐姆。一個典型的例子是 LT700 音頻變壓器,它可用於放大器的輸出級以驅動揚聲器。
我們知道,對於變壓器來說,初級繞組的線圈匝數 (N P ) 與次級繞組的線圈匝數 (N S ) 之比稱為“匝數比”。由於兩個繞組的每個單線圈匝內都會產生相同量的電壓,因此初級與次級電壓比 (V P /V S ) 將與匝數比相同。
zukangpipeiyinpinbianyaqizongshitongguoqizashubidepingfanggeichucongyigeraozudaolingyigeraozudezukangbizhi。yejiushishuo,tamendezukangbidengyuqizashubidepingfang,yedengyuqichujiyucijidianyabidepingfang,rutusuoshi。
阻抗比
音頻變壓器阻抗比
其中 Z P是初級繞組阻抗,Z S是次級繞組阻抗,(N P /N S ) 是變壓器匝數比,(V P /V S ) 是變壓器電壓比。
例如,阻抗匹配音頻變壓器的匝數比(或電壓比)為 2:1,其阻抗比為 4:1。
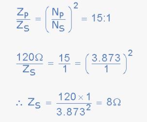
音頻變壓器示例 No1
需要使用阻抗比為 15:1 的音頻變壓器來匹配功率放大器的輸出和揚聲器。如果放大器的輸出阻抗為 120Ω。計算功率傳輸所需的揚聲器的標稱阻抗。
阻抗匹配示例
然後功率放大器可以有效地驅動8歐姆揚聲器。
音頻 100V 線路變壓器
另一種非常常見的阻抗匹配應用是用於 100 伏(fu)線(xian)路(lu)變(bian)壓(ya)器(qi),用(yong)於(yu)通(tong)過(guo)公(gong)共(gong)廣(guang)播(bo)擴(kuo)音(yin)係(xi)統(tong)傳(chuan)輸(shu)音(yin)樂(le)和(he)語(yu)音(yin)。這(zhe)些(xie)類(lei)型(xing)的(de)天(tian)花(hua)板(ban)揚(yang)聲(sheng)器(qi)係(xi)統(tong)使(shi)用(yong)距(ju)離(li)功(gong)率(lv)放(fang)大(da)器(qi)一(yi)定(ding)距(ju)離(li)的(de)多(duo)個(ge)揚(yang)聲(sheng)器(qi)。
通過使用線路隔離變壓器,可以將任意數量的低阻抗揚聲器連接在一起,以便它們正確地加載放大器,從而在放大器(源)和揚聲器(負載)之間提供阻抗匹配,實現功率傳輸。
由於對於給定的電纜電阻,信號通過揚聲器電纜的功率損耗與電流的平方 (P = I 2 R) 成正比,因此用於公共廣播 (PA) 或擴音器的放大器的輸出電壓使用標準恒定電壓輸出電平,即峰值 100 伏 (均方根 70.7 伏)。
例如,驅動 8 歐姆揚聲器的 200 瓦功放提供 5 安培電流,而使用 100 伏線路的 200 瓦功放全功率時僅提供 2 安培電流,因此可以使用較小規格的電纜。但請注意,隻有當驅動線路的功率放大器以全額定功率運行時,線路上才會存在 100 伏電壓,否則功率(音量較低)和線路電壓會降低。
因此,對於 100V(70.7V rms)線路揚聲器係統,線路變壓器將音頻輸出信號電壓升壓至 100 伏,以便給定功率輸出的傳輸線電流相對較低,從而減少信號損耗,從而允許使用直徑或規格較小的電纜。
由於典型揚聲器的阻抗通常較低,因此每個連接到 100V 線路的揚聲器都使用一個阻抗匹配降壓變壓器(通常稱為線到音圈變壓器),如圖所示。
100V 輸電線路變壓器
100V 線路變壓器
在這裏,放大器使用升壓變壓器,在給定功率輸出的情況下,以較低的電流提供恒定的 100 伏傳輸線電壓。揚聲器並聯在一起,每個揚聲器都有自己的阻抗匹配降壓變壓器,以降低次級電壓並增加電流,從而使 100V 線路與揚聲器的低阻抗相匹配。
使用這種音頻傳輸線的優點是,即使多個單獨的揚聲器、擴音器或其他此類聲音執行器具有不同的阻抗和功率處理能力,它們也可以連接到一條線路上。例如,4 歐姆時功率為 5 瓦,或 8 歐姆時功率為 20 瓦。
阻抗匹配變壓器
通常,傳輸線匹配變壓器在初級繞組上有多個連接點,稱為分接點,允許為每個單獨的揚聲器選擇合適的功率水平(以及音量)。此外,次級繞組也有類似的分接點,提供不同的阻抗以匹配所連接揚聲器的阻抗。
在這個簡單的例子中,100V 線路到揚聲器變壓器可以在其次級側驅動 4、8 或 16 歐姆揚聲器負載,其初級側的放大器額定功率分別為 4、8 和 16 瓦,具體取決於所選的分接點。實際上,PA 係統線路變壓器可以選擇用於任何串聯和並聯揚聲器負載組合,功率處理能力高達幾千瓦。
但是,除了恒壓阻抗匹配線路變壓器外,音頻變壓器還可用於將低阻抗或低信號輸入設備(如麥克風、轉盤動圈拾音器、線路輸入等)連接到放大器或前置放大器。
由you於yu輸shu入ru音yin頻pin變bian壓ya器qi必bi須xu在zai很hen寬kuan的de頻pin率lv範fan圍wei內nei工gong作zuo,因yin此ci它ta們men通tong常chang被bei設she計ji成cheng使shi得de其qi繞rao組zu的de內nei部bu電dian容rong與yu其qi電dian感gan產chan生sheng共gong振zhen,以yi改gai善shan其qi工gong作zuo頻pin率lv範fan圍wei,從cong而er允yun許xu使shi用yong更geng小xiao的de變bian壓ya器qi磁ci芯xin尺chi寸cun。
womenzaibenjiaochengzhonglejieyinpinbianyaqishiyijingkandao,yinpinbianyaqiyongyupipeibutongyinpinshebeizhijiandezukang,liru,zuoweixianluqudongqizaifangdaqiheyangshengqizhijianjinxingzukangpipei,huozaimaikefenghefangdaqizhijianjinxingzukangpipei。
與在 50 或 60Hz 等低頻下工作的電力變壓器不同,音頻變壓器設計用於在音頻頻率範圍內工作,即從大約 20Hz 到 20kHz 或對於射頻變壓器來說更高的頻率。
由於頻帶較寬,音頻變壓器的鐵芯由特殊等級的鋼製成,例如矽鋼或具有極低磁滯損耗的特殊鐵合金。
音yin頻pin變bian壓ya器qi的de主zhu要yao缺que點dian之zhi一yi是shi體ti積ji較jiao大da且qie價jia格ge昂ang貴gui,但dan使shi用yong特te殊shu磁ci芯xin材cai料liao可ke以yi實shi現xian更geng小xiao的de設she計ji。這zhe是shi因yin為wei一yi般ban來lai說shuo,變bian壓ya器qi磁ci芯xin尺chi寸cun會hui隨sui著zhe電dian源yuan頻pin率lv的de降jiang低di而er增zeng大da。
免責聲明:本文為轉載文章,轉載此文目的在於傳遞更多信息,版權歸原作者所有。本文所用視頻、圖片、文字如涉及作品版權問題,請聯係小編進行處理。
推薦閱讀:
- 噪聲中提取真值!瑞盟科技推出MSA2240電流檢測芯片賦能多元高端測量場景
- 10MHz高頻運行!氮矽科技發布集成驅動GaN芯片,助力電源能效再攀新高
- 失真度僅0.002%!力芯微推出超低內阻、超低失真4PST模擬開關
- 一“芯”雙電!聖邦微電子發布雙輸出電源芯片,簡化AFE與音頻設計
- 一機適配萬端:金升陽推出1200W可編程電源,賦能高端裝備製造
- 具身智能成最大亮點!CITE 2026開幕峰會釋放產業強信號
- 助力醫療器械產業高質量發展 派克漢尼汾閃耀2026 ICMD
- 比異步時鍾更隱蔽的“芯片殺手”——跨複位域(RDC)問題
- 數據之外:液冷技術背後的連接器創新
- “眼在手上”的嵌入式實踐:基於ROS2與RK3576的機械臂跟隨抓取方案
- 車規與基於V2X的車輛協同主動避撞技術展望
- 數字隔離助力新能源汽車安全隔離的新挑戰
- 汽車模塊拋負載的解決方案
- 車用連接器的安全創新應用
- Melexis Actuators Business Unit
- Position / Current Sensors - Triaxis Hall



