單級小信號 RF 放大器設計
發布時間:2024-09-02 責任編輯:lina
【導讀】幾(ji)乎(hu)所(suo)有(you)的(de)電(dian)子(zi)電(dian)路(lu)都(dou)依(yi)賴(lai)於(yu)放(fang)大(da)器(qi),放(fang)大(da)器(qi)電(dian)路(lu)會(hui)放(fang)大(da)它(ta)們(men)接(jie)收(shou)到(dao)的(de)輸(shu)入(ru)信(xin)號(hao)。基(ji)本(ben)的(de)放(fang)大(da)器(qi)電(dian)路(lu)由(you)雙(shuang)極(ji)結(jie)型(xing)晶(jing)體(ti)管(guan)組(zu)成(cheng),晶(jing)體(ti)管(guan)偏(pian)置(zhi)使(shi)器(qi)件(jian)在(zai)有(you)源(yuan)區(qu)運(yun)行(xing)。晶(jing)體(ti)管(guan)的(de)有(you)源(yuan)區(qu)用(yong)於(yu)放(fang)大(da)目(mu)的(de)。當(dang)晶(jing)體(ti)管(guan)偏(pian)置(zhi)為(wei)有(you)源(yuan)區(qu)時(shi),施(shi)加(jia)在(zai)輸(shu)入(ru)端(duan)子(zi)上(shang)的(de)輸(shu)入(ru)信(xin)號(hao)會(hui)使(shi)輸(shu)出(chu)電(dian)流(liu)出(chu)現(xian)波(bo)動(dong)。波(bo)動(dong)的(de)輸(shu)出(chu)電(dian)流(liu)流(liu)過(guo)輸(shu)出(chu)電(dian)阻(zu),產(chan)生(sheng)經(jing)過(guo)放(fang)大(da)的(de)輸(shu)出(chu)電(dian)壓(ya)。
本文要點:
• 小信號 RF 放大器的用途。
• 用於小信號 RF 放大器的分壓器晶體管偏置電路。
• 單級小信號 RF 放大器的設計步驟。
幾(ji)乎(hu)所(suo)有(you)的(de)電(dian)子(zi)電(dian)路(lu)都(dou)依(yi)賴(lai)於(yu)放(fang)大(da)器(qi),放(fang)大(da)器(qi)電(dian)路(lu)會(hui)放(fang)大(da)它(ta)們(men)接(jie)收(shou)到(dao)的(de)輸(shu)入(ru)信(xin)號(hao)。基(ji)本(ben)的(de)放(fang)大(da)器(qi)電(dian)路(lu)由(you)雙(shuang)極(ji)結(jie)型(xing)晶(jing)體(ti)管(guan)組(zu)成(cheng),晶(jing)體(ti)管(guan)偏(pian)置(zhi)使(shi)器(qi)件(jian)在(zai)有(you)源(yuan)區(qu)運(yun)行(xing)。晶(jing)體(ti)管(guan)的(de)有(you)源(yuan)區(qu)用(yong)於(yu)放(fang)大(da)目(mu)的(de)。當(dang)晶(jing)體(ti)管(guan)偏(pian)置(zhi)為(wei)有(you)源(yuan)區(qu)時(shi),施(shi)加(jia)在(zai)輸(shu)入(ru)端(duan)子(zi)上(shang)的(de)輸(shu)入(ru)信(xin)號(hao)會(hui)使(shi)輸(shu)出(chu)電(dian)流(liu)出(chu)現(xian)波(bo)動(dong)。波(bo)動(dong)的(de)輸(shu)出(chu)電(dian)流(liu)流(liu)過(guo)輸(shu)出(chu)電(dian)阻(zu),產(chan)生(sheng)經(jing)過(guo)放(fang)大(da)的(de)輸(shu)出(chu)電(dian)壓(ya)。
有些放大器能放大微弱 RF 輸入信號且(與靜態工作點相比)輸出電流波動較小,它們稱為小信號 RF 放大器。小信號 RF 放大器的設計可以采用共基極、共發射極或共集電極配置。本文將重點介紹共基極小信號 RF 放大器設計。
單級小信號 RF 放大器
小信號 RF 放大器可以是單級放大器,也可以是多級放大器。在單級小信號 RF 放fang大da器qi中zhong,使shi用yong晶jing體ti管guan來lai放fang大da輸shu入ru信xin號hao。向xiang偏pian置zhi設she置zhi在zai有you源yuan區qu的de晶jing體ti管guan提ti供gong輸shu入ru信xin號hao。根gen據ju輸shu入ru信xin號hao的de變bian化hua,輸shu出chu電dian流liu也ye隨sui之zhi變bian化hua,從cong而er得de到dao放fang大da後hou的de輸shu出chu電dian壓ya。小xiao信xin號hao RF 放大器也可稱為電壓放大器。
設計小信號 RF 放大器所需的輸入包括輸出電流、輸出電壓、直流偏置電壓和晶體管電流增益。電流增益是晶體管的內部特性,可從產品手冊中獲取。
接下來,我們來了解一下小信號 RF 放大器的晶體管偏置。
小信號 RF 放大器的分壓器晶體管偏置
小信號 RF 放大器的設計從晶體管偏置電路開始。讓我們以一個具有高電平值 NPN 晶體管的共基、小信號 RF 放大器設計為例。集電極電流和集電極輸出電阻上的電壓分別構成輸出電流和輸出電壓。用 VCC laibiaoshishurupianzhidianya。qingzhuyi,zaibenlizhong,womenshiyongfenyaqijingtiguanpianzhidianlujinxingjinyibutaolun,yinweitashifangdaqizhongzuichangyongdejingtiguanpianzhidianlu,erqiedianlujiegoujiandan,gongzuodianwendingxingjiaohao。
當晶體管采用共基配置時,晶體管基極和集電極端的電阻 R2 和 RC 將晶體管連接到直流輸入電壓 VCC。電阻 R1 和 RE 分(fen)別(bie)將(jiang)晶(jing)體(ti)管(guan)的(de)基(ji)極(ji)和(he)發(fa)射(she)極(ji)接(jie)地(di)。通(tong)過(guo)選(xuan)擇(ze)合(he)適(shi)的(de)電(dian)阻(zu)值(zhi),可(ke)以(yi)固(gu)定(ding)晶(jing)體(ti)管(guan)放(fang)大(da)器(qi)的(de)工(gong)作(zuo)點(dian)。分(fen)壓(ya)器(qi)晶(jing)體(ti)管(guan)偏(pian)壓(ya)使(shi)晶(jing)體(ti)管(guan)的(de)工(gong)作(zuo)點(dian)幾(ji)乎(hu)不(bu)受(shou)放(fang)大(da)倍(bei)數(shu)(β 值)影響。因此,分壓器偏置電路也稱為與 β 值無關的偏置電路。
要設計這種晶體管,應遵循幾個關鍵步驟。
單級小信號 RF 放大器的設計步驟
設計帶分壓器晶體管偏置的小信號 RF 放大器時應遵循以下步驟:
針對給定的設計參數,即輸出電流 (IC)、輸出電壓 (VC)、直流偏置電壓 (VCC) 和晶體管電流增益,選擇晶體管的工作點。
考慮到偏置穩定性,發射極電阻 RE 上的電壓固定為 VE。
對於高 β 值晶體管,集電極 (IC) 和發射極 (IE) 電流大致相等。根據 IE 和 VE,設計電阻 RE 時使用的公式為
電阻 RC 的計算公式為
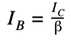
根據 IC 和 β,基極電流為
對於矽晶體管,基極和發射極上的壓降 VBE 等於 0.7 V。基極電壓 VBB 的計算公式為
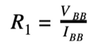
從直流輸入電壓到晶體管基極的電流為 IBB。假設 IBB 值,則電阻為
根據公式 R1,可設計電阻 R2
耦合電容器 Cin 和 CC 設計為阻斷直流電流,隻允許交流電流通過。
旁路電容器 CE 按照公式設計
按照上述步驟,就可以設計出一個小信號射頻放大器。在小信號 RF 放大器設計中,穩定晶體管的工作點是一個重要問題。晶體管的內部特性會隨溫度變化而變化,這會影響放大器的工作點和功能。
Cadence Celsius Thermal Solver 是業界首個麵向電子工程師的熱分析技術。它為單片微波集成電路(MMIC)、集成電路封裝、射頻 PCB、模塊和微波/射頻係統提供了完整的電熱協同仿真技術。Celsius Thermal Solver 集成在 Cadence AWR Design Environment 平台中,為元件密集的大型射頻/微波係統和高功率放大器(HPA)的設計驗證和簽核提供隨時可用的高容量電熱分析(圖 1)。
圖 1:使用 Celsiu Thermal Solver 對射頻功率器件和合路器彙流排進行分析
利用有限元分析(FEA)場求解器與先進的自適應網格劃分技術相結合,Celsius Thermal Solver可以分析複雜固體結構中的穩態熱傳導,包括帶過孔和氣橋的氮化镓/砷化镓(GaN/GaAs)場效應晶體管(FET)和高電子遷移率晶體管(HEMT)器件,以及帶有凸點或鍵合線的複雜封裝。強大的 3D 熱分布分析與自動化環境中的 3D 電氣仿真相結合,實現真正的電熱協同仿真,對溫度和電流之間的重要相互作用進行迭代。
免責聲明:本文為轉載文章,轉載此文目的在於傳遞更多信息,版權歸原作者所有。本文所用視頻、圖片、文字如涉及作品版權問題,請聯係小編進行處理。
推薦閱讀:
AGIC通用人工智能展與IOTE物聯網展攜手圓滿落幕,物聯網科技盛宴精彩紛呈!
貿澤、Analog Devices和Samtec推出全新電子書 彙集各路專家關於信號完整性的真知灼見
- 噪聲中提取真值!瑞盟科技推出MSA2240電流檢測芯片賦能多元高端測量場景
- 10MHz高頻運行!氮矽科技發布集成驅動GaN芯片,助力電源能效再攀新高
- 失真度僅0.002%!力芯微推出超低內阻、超低失真4PST模擬開關
- 一“芯”雙電!聖邦微電子發布雙輸出電源芯片,簡化AFE與音頻設計
- 一機適配萬端:金升陽推出1200W可編程電源,賦能高端裝備製造
- 具身智能成最大亮點!CITE 2026開幕峰會釋放產業強信號
- 助力醫療器械產業高質量發展 派克漢尼汾閃耀2026 ICMD
- 比異步時鍾更隱蔽的“芯片殺手”——跨複位域(RDC)問題
- 數據之外:液冷技術背後的連接器創新
- “眼在手上”的嵌入式實踐:基於ROS2與RK3576的機械臂跟隨抓取方案
- 車規與基於V2X的車輛協同主動避撞技術展望
- 數字隔離助力新能源汽車安全隔離的新挑戰
- 汽車模塊拋負載的解決方案
- 車用連接器的安全創新應用
- Melexis Actuators Business Unit
- Position / Current Sensors - Triaxis Hall





