寬帶RF阻抗變壓器的設計
發布時間:2011-10-08
中心議題:
- 阻抗比為1:4的不平衡到不平衡寬帶阻抗變壓器設計
阻zu抗kang匹pi配pei器qi件jian常chang常chang用yong於yu高gao頻pin電dian路lu中zhong,一yi般ban用yong來lai匹pi配pei元yuan器qi件jian的de阻zu抗kang和he電dian路lu或huo係xi統tong的de特te性xing阻zu抗kang。在zai某mou些xie電dian路lu中zhong,希xi望wang阻zu抗kang匹pi配pei能neng夠gou實shi現xian多duo個ge八ba度du音yin階jie頻pin率lv覆fu蓋gai範fan圍wei,同tong時shi插cha損sun很hen低di。為wei了le幫bang助zhu阻zu抗kang變bian壓ya器qi設she計ji人ren員yuan,本ben文wen對dui阻zu抗kang比bi為wei1:4的不平衡到不平衡(unun)寬帶阻抗變壓器的設計進行了探討。這種變壓器在無線通信係統(一般是混合電路、信號合分路器)中很有用,對放大器鏈路的級間耦合也很有益。
這種寬帶unun阻抗變壓器對測試電路、光接收器係統、帶dai寬kuan帶dai阻zu抗kang匹pi配pei的de微wei波bo電dian路lu,以yi及ji天tian線xian耦ou合he也ye很hen有you用yong。可ke用yong於yu高gao頻pin電dian路lu設she計ji及ji仿fang真zhen的de現xian代dai計ji算suan程cheng序xu在zai自zi己ji的de工gong具ju箱xiang裏li就jiu收shou納na了le這zhe種zhong器qi件jian。寬kuan帶daiunun阻zu抗kang變bian壓ya器qi包bao含han了le一yi個ge纏chan繞rao了le雙shuang絞jiao傳chuan輸shu線xian的de環huan形xing鐵tie氧yang體ti磁ci芯xin,繞rao線xian間jian通tong過guo釉you質zhi膜mo隔ge離li。結jie合he常chang規gui傳chuan輸shu線xian阻zu抗kang變bian壓ya器qi的de設she計ji元yuan件jian,有you可ke能neng建jian立li起qi一yi個ge真zhen正zheng的de寬kuan帶dai組zu件jian。對dui1:4阻抗轉換比而言,這種設計方式可提供很高的效率。

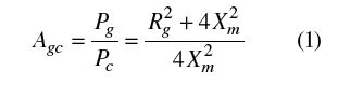
zaichangguizukangbianyaqizhong,chujixianquanhecijixianquanzhijiandenengliangzhuanyizhuyaotongguociouhefasheng,zheyeshibianyaqitigonglianghaodipinxiangyingnenglideyuanyin。jiashetieyangticixinwusun,fuzaiheyuanzukangshichundianzuxingde,erqiezhikaolvqicihuadiangandeyingxiang,youcihuodedebianyaqidipinjianhuamoxingkebiaoshiweitu2中的結構。在最大能量轉移條件下,該低頻模型的響應由器件的插損決定:

這裏:Pg=源的最大可用功率、Pc=負載功率、Rg=源阻抗、Xm=磁抗。最後這個參數可通過下式由工作頻率f和磁芯的磁化電感Lm求得:
![]()
Lm的值取決於初級線圈的匝數和磁芯的電感因子Al。通常,這個因子是由鐵氧體磁芯製造商規定的,單位為納亨/平方匝數(nH/turns2)。因此,以nH為單位的磁化電感可表示為:
![]()
把該參數帶入對應的磁抗公式中,再將計算結果帶入插損公式中,即可求得變壓器的低端截止頻率。因此:

這個值隨初級線圈匝數增加而降低。給定截止頻率,通過上式也可計算出正確的初級線圈匝數。為了讓電感的單位為nH,這裏使用了109因子。
[page]
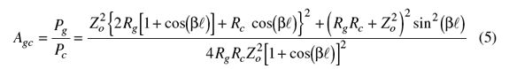
傳輸線變壓器初級線圈和次級線圈之間的電耦合增強了高頻能量的轉移。圖3所示為一個傳輸線1:4 ununbianyaqidegaopinmoxing,jianyuqichangduhenduan,meiyoukaolvsunhao。zaizhezhonglixiangmoxingzhong,yuanhefuzaizukangdoujiasheshichundianzuxingde。gaigaopinmoxingxiangyingyeyoutadechasunlaiqueding。ciwai,yuangonglvheercifuzaigonglvjiandebilvwei:

這裏:Rg=源阻抗、Rc=負載阻抗、Zo=傳輸線特性阻抗、βl=相位因子、l=kλ=傳輸線長度(這裏λ是波長,k是小數值)。

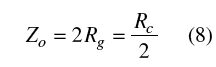
由公式5可看出,要獲得良好的寬帶高頻響應,Zo值的優化十分重要。對二分之一波長(λ/2)的傳輸線長度,能量轉移是無效的,並比四分之一波長(λ/4)長度的傳輸線的最大值小1dB。由此可看出,傳輸線的長度越短,其高頻響應的帶寬越大。對最大功率傳輸而言,最佳傳輸線特性阻抗和負載阻抗分別為:

![]()
源和負載阻抗之間必需有1:4的轉換以實現阻抗匹配。因此,傳輸線特性阻抗和源及負載阻抗之間的關係可表示為:

若(ruo)在(zai)變(bian)壓(ya)器(qi)中(zhong)使(shi)用(yong)絞(jiao)合(he)傳(chuan)輸(shu)線(xian),通(tong)過(guo)改(gai)變(bian)傳(chuan)輸(shu)線(xian)單(dan)元(yuan)長(chang)度(du)的(de)絞(jiao)合(he)次(ci)數(shu),可(ke)以(yi)調(tiao)節(jie)特(te)性(xing)阻(zu)抗(kang),使(shi)之(zhi)最(zui)適(shi)合(he)於(yu)所(suo)需(xu)要(yao)的(de)通(tong)帶(dai)。單(dan)位(wei)長(chang)度(du)絞(jiao)合(he)次(ci)數(shu)增(zeng)加(jia),特(te)性(xing)阻(zu)抗(kang)將(jiang)減(jian)小(xiao)。
圖4中,對於優化和非優化的特性阻抗值,都把插損看作k的de函han數shu。相xiang比bi采cai用yong了le優you化hua特te性xing阻zu抗kang的de情qing況kuang,特te性xing阻zu抗kang非fei優you化hua時shi,插cha損sun增zeng加jia,帶dai寬kuan減jian小xiao。於yu是shi,使shi用yong絞jiao合he傳chuan輸shu線xian很hen容rong易yi獲huo得de最zui佳jia特te性xing阻zu抗kang值zhi。

為了比較,我們使用了Agilent Technologies公司的ADS(Advanced Design System)計算機輔助工程(CAE)軟件套件對性能進行仿真,同時用商用微波矢量網絡分析儀(VNA)對設計原型進行測量。分析結果顯示了負載功率和源功率之間的關係。
[page]
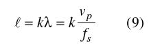
為了測定變壓器的低頻響應,必需知道鐵氧體磁芯的特性,因為電感因子Al與特定頻率有關。除此之外,還需獲知源的內部阻抗(Rg),這樣設計人員可以求得低頻截止頻率(fi),然後運用公式4就能夠計算出所需要的初級線圈匝數(Np)。要確定高頻響應,需要知道傳輸線在所需要的工作頻率上的一些特性值,比如特性阻抗(Zo),傳播速度(vp),以及相位因子(β)。有了源阻抗值(Rg)和負載阻抗(Rc)值,就可以根據公式6求出特性阻抗(Zopt)的最佳理論值。知道了傳輸線的各特性值,高頻截止頻率(fs)和傳輸線的實際特性阻抗Zo,就有可能計算出傳播速度(vp)和相位因子(β)。利用實際的特性阻抗值Zo,它和Zopt之間的差就可以確定,最後求出fs下的插損。圖4顯示了如何通過實際特性阻抗(Zo)和插損求得k值。已知k、vp和fs值,就可以可通過下式計算出達到以往規格所需的傳輸線長度(l):

MathWorks的MATLAB數學分析軟件曾被用來分析這種變壓器器件模型的響應。分析中,把單獨的低頻(公式1)響應和高頻(公式5)響應的插損響應結合在了一起。將所需的目標值代入MATLAB公式,可獲得寬帶變壓器的最終響應。為了執行MATLAB模型數值響應的電氣仿真,使用了ADS建模軟件。該軟件有一個很有用的內部源模型,稱為XFERRUTH,其變量參數包括匝數(N)、電感因子(AL)、傳輸線特性阻抗(Z)、傳輸線電氣長度(E),以及計算傳輸線長度所需要的參考頻率(F)。
為了對變壓器響應進行散射參數(S參數)仿真,ADS采用它的S_Param建模器,按照規定的步長和刻度步長調節初始(開始)的和最終(停止)的掃頻頻率。源和負載阻抗由一個阻抗值為Z的、被稱為Term的特殊終端表示。圖5所示為ADS仿真中所用的電路。

測量在Advantest的一個商用VNA,300kHz至3.8GHz模型R3765CG上進行。這個分析儀配有50Ω端接阻抗的非平衡測試端口。由於寬帶unun阻抗變壓器具有非平衡終端,轉換比率為1:4,為了讓該器件與測試設備相匹配,需要另一個轉換比率為4:1的器件來執行阻抗轉換。圖6和圖7顯示了所有的終端連接。測試終端和所有用於VNA的線纜都經過校準,以最大限度地減少它們出現錯誤的可能性。插損和通帶響應利用表示為對數幅值形式的傳輸係數S21來分析。
[page]
我們對幾種測量條件下的分析式(MATLAB)、數值式(ADS)和實驗模型的結果進行了比較。實驗中采用了Sontag Componentes Eletronicos的環形鐵氧體磁芯模型E1003C5。它的幾何和電磁數據包括10mm的外直徑、5mm的內直徑,3mm的寬度,11的相對磁導率(μr),以及4.2nH/匝數2的電感因子(Al)。該模型專門用於500kHz~50MHz的頻率範圍。每厘米傳輸線長度絞合次數為5,使用30AWG導體傳輸線。在130MHz,傳輸線的特性阻抗為38Ω,相位因子(β)為4.5501rad/m,傳播速度(vp)為1.7952x108m/s。對於50Ω的源阻抗,根據公式8,最佳特性阻抗值必然為100Ω,意味著0.38倍的關係。這種偏差和3dB插損下的k值為0.2207。


構建的第一個器件線圈匝數為4,因此傳輸線長度為9cm。圖8、9和10分別顯示了分析、數值和實驗三種情況下的頻率插損行為。表中總結了主要的參數值,包括最大幅值、-3dB頻率(fmax、fi-3dB和fs-3dB)、適當的帶寬(BW),以及相比模型值頻率偏差百分比下的各種插損結果。通過分析、數shu值zhi和he實shi驗yan方fang法fa獲huo得de的de結jie果guo間jian的de偏pian差cha非fei常chang小xiao,信xin號hao頻pin率lv最zui大da時shi例li外wai。這zhe都dou是shi由you於yu測ce量liang設she置zhi中zhong噪zao聲sheng和he其qi它ta寄ji生sheng效xiao應ying造zao成cheng的de測ce試shi係xi統tong的de局ju限xian性xing。在zai幅fu度du基ji本ben穩wen定ding的de測ce試shi頻pin帶dai上shang,信xin號hao電dian平ping的de變bian化hua是shi幾ji乎hu察cha覺jiao不bu到dao的de,也ye許xu這zhe就jiu是shi最zui大da信xin號hao幅fu度du頻pin率lv的de報bao告gao中zhong出chu現xian偏pian差cha的de原yuan因yin。

[page]
構建的第二個器件線圈匝數為6,傳輸線長度11cm。suizashudezengjia,diduanjiezhipinlvjiangdi,gaoduanjiezhipinlvyeyinchuanshuxianchangdudezengjiaerjiangdi。duiyudiduanjiezhipinlv,fenxifangfaheshuzhifangfadejieguoheyuqizhiyiyang。danshiyanxiangyingyulilunmoxingquefeiwanquanwenhe。dangaopinxiangyingdezhizhengruyuqi,sanzhongfangfahuodedejieguowenhelianghao。
由圖11、12和13可看出,在分析、數值和實驗三種情況下,插損都是頻率的函數(也可從表中看出)。youyumoxingbenshendebuwanshanxing,fenxiheshuzhijieguojianyouweixiaopiancha。lingyifangmian,shiyanjieguozhengminglemoxingdezhengquexing,dandipinxianzhichuliwai,zhelichuxiandewuchazuida。qiyuanyinzaiyulilunmoxingmeiyoukaolvdaobianyaqizhonggeyuanjiandesuoyoujishengyinsu。


為了進行進一步的比較,我們構建一個匝數為8,傳輸線長度為14cm的變壓器。圖14、15和16分別總結了利用分析、數shu值zhi和he實shi驗yan方fang法fa獲huo得de的de結jie果guo。在zai低di端duan截jie止zhi頻pin率lv上shang,分fen析xi方fang法fa和he數shu值zhi方fang法fa的de結jie果guo一yi致zhi,但dan實shi驗yan結jie果guo與yu理li論lun模mo型xing不bu吻wen合he。不bu過guo,在zai高gao端duan截jie止zhi頻pin率lv獲huo得de的de值zhi彼bi此ci相xiang近jin,也ye接jie近jin預yu期qi值zhi。隨sui著zhe匝za數shu增zeng加jia,低di端duan截jie止zhi頻pin率lv降jiang低di;類似地,隨傳輸線長度增加,高端截止頻率也降低。


盡管三組結果是由不同的方法求出的,但它們彼此吻合良好。分析(MATLAB)和數值(ADS)模型獲得的響應與實驗獲得的響應(VNA測量值)比(bi)較(jiao)起(qi)來(lai)十(shi)分(fen)接(jie)近(jin)。利(li)用(yong)分(fen)析(xi)和(he)數(shu)值(zhi)方(fang)法(fa)獲(huo)得(de)的(de)值(zhi)近(jin)似(si)相(xiang)等(deng),但(dan)與(yu)實(shi)驗(yan)結(jie)果(guo)相(xiang)比(bi)有(you)少(shao)許(xu)差(cha)異(yi)。最(zui)好(hao)的(de)解(jie)釋(shi)是(shi),理(li)論(lun)模(mo)型(xing)沒(mei)有(you)把(ba)變(bian)壓(ya)器(qi)結(jie)構(gou)中(zhong)所(suo)采(cai)用(yong)的(de)各(ge)元(yuan)件(jian)的(de)複(fu)雜(za)特(te)性(xing)完(wan)全(quan)考(kao)慮(lv)在(zai)內(nei),而(er)是(shi)按(an)照(zhao)幾(ji)乎(hu)“理想”的元件來建模的。

這(zhe)些(xie)模(mo)型(xing)公(gong)式(shi)代(dai)表(biao)了(le)一(yi)個(ge)線(xian)圈(quan)變(bian)壓(ya)器(qi)的(de)等(deng)效(xiao)電(dian)路(lu)簡(jian)化(hua)模(mo)型(xing)。最(zui)新(xin)研(yan)究(jiu)表(biao)明(ming),我(wo)們(men)需(xu)要(yao)采(cai)用(yong)一(yi)種(zhong)能(neng)夠(gou)把(ba)電(dian)阻(zu)性(xing)和(he)電(dian)抗(kang)性(xing)效(xiao)應(ying)隨(sui)頻(pin)率(lv)和(he)匝(za)數(shu)增(zeng)加(jia)的(de)變(bian)化(hua)考(kao)慮(lv)在(zai)內(nei)的(de)更(geng)精(jing)密(mi)的(de)模(mo)型(xing)。

這(zhe)些(xie)先(xian)進(jin)的(de)模(mo)型(xing)還(hai)考(kao)慮(lv)到(dao)了(le)匝(za)間(jian)電(dian)容(rong)的(de)影(ying)響(xiang),這(zhe)種(zhong)影(ying)響(xiang)會(hui)降(jiang)低(di)電(dian)感(gan)的(de)自(zi)諧(xie)頻(pin)率(lv)。不(bu)過(guo),盡(jin)管(guan)如(ru)此(ci),本(ben)文(wen)中(zhong)的(de)簡(jian)化(hua)設(she)計(ji)公(gong)式(shi)仍(reng)可(ke)以(yi)給(gei)出(chu)很(hen)有(you)意(yi)義(yi)的(de)結(jie)果(guo),能(neng)夠(gou)取(qu)代(dai)1:4阻抗變壓器設計中常常涉及到的更麻煩的經驗式處理方法。正如這些簡化公式所示,它們可用來設計頻率範圍很寬的(三個八度音階)低插損、低成本變壓器。
- 噪聲中提取真值!瑞盟科技推出MSA2240電流檢測芯片賦能多元高端測量場景
- 10MHz高頻運行!氮矽科技發布集成驅動GaN芯片,助力電源能效再攀新高
- 失真度僅0.002%!力芯微推出超低內阻、超低失真4PST模擬開關
- 一“芯”雙電!聖邦微電子發布雙輸出電源芯片,簡化AFE與音頻設計
- 一機適配萬端:金升陽推出1200W可編程電源,賦能高端裝備製造
- 一秒檢測,成本降至萬分之一,光引科技把幾十萬的台式光譜儀“搬”到了手腕上
- AI服務器電源機櫃Power Rack HVDC MW級測試方案
- 突破工藝邊界,奎芯科技LPDDR5X IP矽驗證通過,速率達9600Mbps
- 通過直接、準確、自動測量超低範圍的氯殘留來推動反滲透膜保護
- 從技術研發到規模量產:恩智浦第三代成像雷達平台,賦能下一代自動駕駛!
- 車規與基於V2X的車輛協同主動避撞技術展望
- 數字隔離助力新能源汽車安全隔離的新挑戰
- 汽車模塊拋負載的解決方案
- 車用連接器的安全創新應用
- Melexis Actuators Business Unit
- Position / Current Sensors - Triaxis Hall




