開關轉換器動態分析采用快速分析技術(2)
發布時間:2020-05-06 來源:Christophe Basso 責任編輯:wenwei
【導讀】SEPIC是一種流行的結構,常用於輸出電壓必須小於或大於輸入的應用,不會像采用Buck-Boost轉換器那樣損失極性。SEPIC可采用耦合或非耦合電感工作在連續導通模式(CCM)或非連續導通模式(DCM)。[9]中談討了耦合電感的好處,這裏不作討論。
03 工作於DCM的帶耦合電感的SEPIC
SEPIC是一種流行的結構,常用於輸出電壓必須小於或大於輸入的應用,不會像采用Buck-Boost轉換器那樣損失極性。SEPIC可采用耦合或非耦合電感工作在連續導通模式(CCM)或非連續導通模式(DCM)。[9]中談討了耦合電感的好處,這裏不作討論。
我們的興趣在於確定耦合電感的SEPIC 在工作於DCM時的輸出到控製的傳遞函數。圖11代表[10]中所述的自動切換電壓控製模式的PWM開關和采用一個SEPIC配置的連接。特意減少載荷以強製實施DCM。在啟動序列完成後施加一個臨時步驟。在類似的工作條件下捕獲並仿真一個逐周期電路。

圖11:第一個SEPIC采用平均模型,而右邊第二個實施逐周期法。
Cycle-by-cycle simulation:逐周期仿真
Average model:平均模型
運行一個仿真來比較兩個電路的輸出響應。如圖12所suo示shi,兩liang個ge電dian路lu的de響xiang應ying非fei常chang相xiang近jin。曲qu線xian的de左zuo邊bian描miao述shu了le啟qi動dong序xu列lie,右you邊bian部bu分fen顯xian示shi了le兩liang個ge模mo型xing對dui負fu載zai階jie躍yue的de響xiang應ying。在zai這zhe一yi階jie段duan具ju有you相xiang同tong的de響xiang應ying第di一yi次ci表biao明ming平ping均jun大da信xin號hao模mo型xing正zheng確que地di仿fang真zhenSEPIC內部,我們可進行小信號版本。
DCM PWM開關的大信號模型由(10)中推導出的小信號版本所代替,與[5]中描述的不同。兩個模型得出了相同的分析,但Vorpérian博士在[5]中考慮的是一個常見的配置(C端是接地的),而我為了建立一個自動切換的DCM-CCM模型,保留了原普通無源配置。采用DCM PWM開關的小信號模型更新的電路圖如圖13所示。右邊的參數列表計算分析所需的所有係數k。

圖12:平均模型與逐周期模型的瞬態響應完全符合。

圖13:這是工作在DCM模式的SEPIC的小信號模型。節點d1是占空比偏差和注入點。所有小信號係數都自動出現在參數窗口。
Parameters:參數
04 確定準靜態增益
為了確定準靜態增益,您需要照圖2使所有電感短路,所有電容開路。這正是SPICE在計算工作偏置點時所做的工作。然後重新排列所有的源和組件以簡化電路,使其更易於分析。
當您做這工作時,我建議您始終運行一個全麵的檢查,確定新電路的動態響應與圖13完美匹配。任何偏差都表明您出了錯,或者簡化中的假設過於樂觀:重複該做法直到幅值和相位完美匹配為止。組合出圖14的電路。

圖14:這是用來確定準靜態增益H0的最終的直流電路。
幾行代數將使我們得到輸出電壓表達式:
(20)
(21)將(20)中的Ic代入(21)並求解Vout。您應該得出
(22)該小信號準靜態增益簡單地表示為
(22)05 時間常數的確定
我們將采用FACTs並單獨確定電路的時間常數,而不是用圖13的完整原理立刻求解整個傳遞函數。這種方法提供了一個優勢,以處理您通過對單個草圖的SPICE仿真獲得的結果。這大大有助於逐步前進和跟蹤錯誤,而不至於在大量的工作時間後才發現最終的結果是錯誤的!
為了確定時間常數,將激勵源減為0(請檢查圖2)。在此,由於我們想要控製到輸出的傳遞函數,激勵源是d1。將其減為0有助於簡化電路,如圖15所示。

圖15:將激勵源減為0有助於簡化電路。在此我們從驅動電感L1的阻抗開始。
我們可以用幾個公式來描述這個電路,我們知道IC=IT:
(26)
(27)您將(26)代入(27)然後解出V(c)。替代(26)中的V(c)解得V(a)。然後可寫:
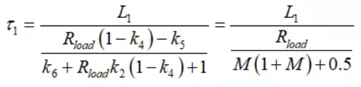
(28)如果您重新排列和由圖13的定義替換係數k,得出時間常數t1的定義:
(29)二階時間次常數指的是從C2端看到的阻抗,而L1是短路的。新的電路如圖16所示。由於L1短路,a和c端在一起,簡化更新的電路為右邊的圖片。

圖16:使電感短路真正簡化電路。
再一次,幾個簡單的方程會很快地讓您得出結果:
(30)將(30)代入(31),然後解得VT並重新整理。您應該發現:
(31)如果您知道試圖確定涉及C3的三階時間常數,變壓器配置(完美耦合)使其兩端電壓等於0V:在動態傳遞函數中電容器不起作用。因此第一個係數b1定義為
(32)參考文獻
1. R. D. Middlebrook, Methods of Design-Oriented Analysis: Low-Entropy Expressions, Frontiers in Education Conference, Twenty-First Annual conference, Santa-Barbara, 1992.
2. R. D. Middlebrook, Null Double Injection and the Extra Element Theorem, IEEE Transactions on Education, Vol. 32, NO. 3, August 1989.
3. V. Vorpérian, Fast Analytical Techniques for Electrical and Electronic Circuits, Cambridge University Press, 2002.
4. C. Basso, Linear Circuit Transfer Functions – An Introduction to Fast Analytical Techniques, Wiley, 2016.
5. V. Vorpérian, Simplified Analysis of PWM Converters Using the Model of the PWM Switch, Parts I and II, Transactions on Aerospace and Electronics Systems, vol. 26, no. 3, May 1990.
6. D. Feucht, Design-Oriented Circuit Dynamics, http://www.edn.com/electronics-blogs/outside-the-box-/4404226/Design-oriented-circuit-dynamics
7. D. Peter, We Can do Better: A Proven, Intuitive, Efficient and Practical Design-Oriented Circuit Analysis Paradigm is Available, so why aren''t we using it to teach our Students?,
http://www.icee.usm.edu/ICEE/conferences/asee2007/papers/1362_WE_CAN_DO_BETTER__A_PROVEN__INTUITIVE__E.pdf
8. C. Basso, Fast Analytical Techniques at Work with Small-Signal Modeling, APEC Professional Seminar, Long Beach (CA), 2016, http://cbasso.pagesperso-orange.fr/Spice.htm
9. J. Betten, Benefits of a coupled-inductor SEPIC, slyt411, application note, Texas-Instruments.
10. C. Basso, Switch-Mode Power Supplies: SPICE Simulation and Practical Designs, McGraw-Hill, 2nd edition, 2014.
11. D. Maksimovic, R. Erickson, Advances in Averaged Switch Modeling and Simulation, Power Electronic Specialist Conference Professional Seminar, Charleston, 1999
推薦閱讀:
特別推薦
- 噪聲中提取真值!瑞盟科技推出MSA2240電流檢測芯片賦能多元高端測量場景
- 10MHz高頻運行!氮矽科技發布集成驅動GaN芯片,助力電源能效再攀新高
- 失真度僅0.002%!力芯微推出超低內阻、超低失真4PST模擬開關
- 一“芯”雙電!聖邦微電子發布雙輸出電源芯片,簡化AFE與音頻設計
- 一機適配萬端:金升陽推出1200W可編程電源,賦能高端裝備製造
技術文章更多>>
- 1200餘家企業齊聚深圳,CITE2026打造電子信息產業創新盛宴
- 掌握 Gemini 3.1 Pro 參數調優的藝術
- 築牢安全防線:電池擠壓試驗機如何為新能源產業護航?
- Grok 4.1 API 實戰:構建 X 平台實時輿情監控 Agent
- 電源芯片國產化新選擇:MUN3CAD03-SF助力物聯網終端“芯”升級
技術白皮書下載更多>>
- 車規與基於V2X的車輛協同主動避撞技術展望
- 數字隔離助力新能源汽車安全隔離的新挑戰
- 汽車模塊拋負載的解決方案
- 車用連接器的安全創新應用
- Melexis Actuators Business Unit
- Position / Current Sensors - Triaxis Hall
熱門搜索
光電顯示
光繼電器
光控可控矽
光敏電阻
光敏器件
光敏三極管
光收發器
光通訊器件
光纖連接器
軌道交通
國防航空
過流保護器
過熱保護
過壓保護
焊接設備
焊錫焊膏
恒溫振蕩器
恒壓變壓器
恒壓穩壓器
紅外收發器
紅外線加熱
厚膜電阻
互連技術
滑動分壓器
滑動開關
輝曄
混合保護器
混合動力汽車
混頻器
霍爾傳感器



