電阻選型與應用知識係列大講台—電阻的應用(2)
發布時間:2011-07-06 來源:電子元件技術網整理
中心議題:
【CLASS 1】電阻選型與應用知識係列大講台—電阻基礎知識大搜羅
http://0-fzl.cn/art/artinfo/id/80010906?page=1
【CLASS 2】電阻選型與應用知識係列大講台—電阻檢測與失效分析
http://0-fzl.cn/art/artinfo/id/80011025
【CLASS 3】電阻選型與應用知識係列大講台—電阻的基本選型原則及案例分析
http://0-fzl.cn/art/artinfo/id/80011142
【CLASS 4】電阻選型與應用知識係列大講台—電阻的應用(1)
http://0-fzl.cn/art/artinfo/id/80011295
【CLASS 5】電阻選型與應用知識係列大講台—電阻的應用(2)
http://0-fzl.cn/art/artinfo/id/80011670
在上一講中主要涉及三大基本定律(電阻定律、歐姆定律、焦耳定律)和四大基本電路(串聯分壓、並聯分流、阻抗匹配和RC充放電路),本講將有針對性的通過一些具體的電路,深入分析電阻的應用。
串聯分壓/並聯分流應用
這是一道頗具爭議性的問題,相信很多高考生、大學生甚至是已經參加工作幾年的工程師朋友咋一看都會為之花眼,下麵請看題:
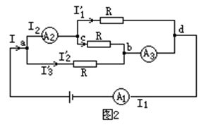
如圖1所示,三個電阻的阻值相等,電流表A1、A2和A3的內電阻均可忽略,它們的示數分別為I1、I2和I3,則I1:I2:I3=______:______:______.
分析:根據電路,畫出等效電路圖,如圖2所示。
其中:
第一支線由a點經A2到C點,再經R到d點;
第二支線由a點經A2到C點,經R到b點,經A3到d點;
第三支線由a點經R到b點,再經A3到d點.
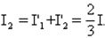
不計電流表內電阻時,三個電阻並聯.設總電流為I,則通過每個電阻的電流
相等,均為
其中,電流表A1測量的是總電流,即I1=I.,電流表A2測量的是流過上麵兩支路中的電流,即
電流表
測量的是流過下麵兩支路中的電流。
[page]
反饋應用
Buck變換器由於具有效率高的優點而被廣泛應用於手機、GPS、MP3等移動多媒體設備上,目前很多電源管理芯片製造廠商都推出了不同電流能力的Buck變換器,這類變 換器雖然在電流能力和保護功能方麵存在一些差異,但是他們電路的主框架結構是基本一致的,主要可以分為兩個部分:一是實現電能轉換的主功率部分,另一部分 是實現負反饋控製的控製電路。下圖是BCD半導體公司的Buck變換器AP3406的典型應用圖,黃色框裏是對反饋電阻的作用做簡要分析。
反饋作用1:設置輸出電壓
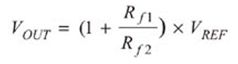
反饋電阻Rf1和Rf2的第一個作用是設置Buck電路的輸出電壓值,如圖3所示,穩態時,運算放大器的反相輸入端和同相輸入端電壓是相等的,於是可以得到輸出電壓計算公式(其中VREF是芯片內部基準電壓(本例中為0.6V)):

反饋作用2: 影響係統穩定性和動態響應
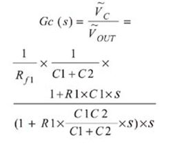
圖3黃色框中同時也是電路的補償網絡部分,補償網絡中包括 R1,C1,C2和Rf1(注:Rf2在環路分析中不起作用),補償網絡的傳遞函數可以表示為:

從上式可以看出補償網絡產生了兩個極點,其中一個極點在0點,另一個極點為

同時還產生了一個零點

從上麵分析可以知道,Rf1在補償網絡中的作用是改變中頻段增益,對補償網絡中的零極點不會有影響,隨著Rf1的增大,幅頻特性往下平移,相頻特性不變。
因此,當補償網絡進入係統環路之後,Rf1的作用是使環路增益的幅頻特性上下平移,同時環路增益的相頻特性保持不變。
延伸閱讀可點擊:http://0-fzl.cn/art/artinfo/id/80011669
[page]
偏置應用
放(fang)大(da)電(dian)路(lu)靜(jing)態(tai)工(gong)作(zuo)點(dian)直(zhi)接(jie)影(ying)響(xiang)到(dao)放(fang)大(da)電(dian)路(lu)的(de)性(xing)能(neng),靜(jing)態(tai)工(gong)作(zuo)點(dian)設(she)置(zhi)過(guo)低(di)或(huo)者(zhe)過(guo)高(gao)都(dou)會(hui)使(shi)放(fang)大(da)電(dian)路(lu)動(dong)態(tai)範(fan)圍(wei)減(jian)小(xiao),使(shi)得(de)輸(shu)入(ru)信(xin)號(hao)較(jiao)大(da)時(shi)輸(shu)出(chu)信(xin)號(hao)產(chan)生(sheng)截(jie)止(zhi)或(huo)者(zhe)飽(bao)和(he)失(shi)真(zhen),下(xia)麵(mian)以(yi)“定基流偏置電路”來對電阻的偏置應用作一介紹。
對圖4進行靜態工作分析,做出靜態工作等效電路圖,如圖5所示:
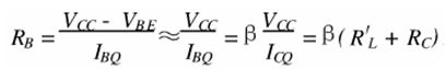
由電阻定律可得:

其中,
很小,可以忽略不計,於是有

上式是偏置電阻的表達式,從式子可以看出偏置電阻阻值不僅與集電極電阻有關,還與三極管電流放大係數、負載有關,也就是說我們可以通過調整負載來調整三極管的偏置情況。
上拉和下拉電阻作用和選用原則
作用:
1、提高電壓準位:a.當TTL電路驅動COMS電路時,如果TTL電路輸出的高電平低於COMS電路的最低高電平(一般為3.5V),這時就需要在TTL的輸出端接上拉電阻,以提高輸出高電平的值。b.OC門電路必須加上拉電阻,以提高輸出的搞電平值。
2、加大輸出引腳的驅動能力,有的單片機管腳上也常使用上拉電阻。
3、N/A pin防靜電、防幹擾:在COMS芯xin片pian上shang,為wei了le防fang止zhi靜jing電dian造zao成cheng損sun壞huai,不bu用yong的de管guan腳jiao不bu能neng懸xuan空kong,一yi般ban接jie上shang拉la電dian阻zu產chan生sheng降jiang低di輸shu入ru阻zu抗kang,提ti供gong泄xie荷he通tong路lu。同tong時時管guan腳jiao懸xuan空kong就jiu比bi較jiao容rong易yi接jie受shou外wai界jie的de電dian磁ci幹gan擾rao。
4、電阻匹配,抑製反射波幹擾:長線傳輸中電阻不匹配容易引起反射波幹擾,加上下拉電阻是電阻匹配,有效的抑製反射波幹擾。
5、預設空閒狀態/缺省電位:在一些 CMOS 輸入端接上或下拉電阻是為了預設缺省電位. 當你不用這些引腳的時候, 這些輸入端下拉接 0 或上拉接 1。在I2C總線等總線上,空閑時的狀態是由上下拉電阻獲得。
6. 提高芯片輸入信號的噪聲容限:shuruduanruguoshigaozuzhuangtai,huozhegaozukangshuruduanchuyuxuankongzhuangtai,cishixuyaojiashanglahuoxiala,yimianshoudaosuijidianpingeryingxiangdianlugongzuo。tongyangruguoshuchuduanchuyubeidongzhuangtai,xuyaojiashanglahuoxiala,rushuchuduanjinjinshiyigesanjiguandejidianji。congertigaoxinpianshuruxinhaodezaoshengrongxianzengqiangkangganraonengli。
選擇原則
1、從節約功耗及芯片的灌電流能力考慮應當足夠大;電阻大,電流小。
2、從確保足夠的驅動電流考慮應當足夠小;電阻小,電流大。
3、對於高速電路,過大的上拉電阻可能邊沿變平緩。
綜合考慮以上三點,通常在1k到10k之間選取。對下拉電阻也有類似道理。
完
- 電阻的串聯分壓/並聯分流應用
- 電阻的反饋應用
- 電阻的偏置應用
- 電阻的上拉和下拉應用
【CLASS 1】電阻選型與應用知識係列大講台—電阻基礎知識大搜羅
http://0-fzl.cn/art/artinfo/id/80010906?page=1
【CLASS 2】電阻選型與應用知識係列大講台—電阻檢測與失效分析
http://0-fzl.cn/art/artinfo/id/80011025
【CLASS 3】電阻選型與應用知識係列大講台—電阻的基本選型原則及案例分析
http://0-fzl.cn/art/artinfo/id/80011142
【CLASS 4】電阻選型與應用知識係列大講台—電阻的應用(1)
http://0-fzl.cn/art/artinfo/id/80011295
【CLASS 5】電阻選型與應用知識係列大講台—電阻的應用(2)
http://0-fzl.cn/art/artinfo/id/80011670
在上一講中主要涉及三大基本定律(電阻定律、歐姆定律、焦耳定律)和四大基本電路(串聯分壓、並聯分流、阻抗匹配和RC充放電路),本講將有針對性的通過一些具體的電路,深入分析電阻的應用。
串聯分壓/並聯分流應用
這是一道頗具爭議性的問題,相信很多高考生、大學生甚至是已經參加工作幾年的工程師朋友咋一看都會為之花眼,下麵請看題:

如圖1所示,三個電阻的阻值相等,電流表A1、A2和A3的內電阻均可忽略,它們的示數分別為I1、I2和I3,則I1:I2:I3=______:______:______.
分析:根據電路,畫出等效電路圖,如圖2所示。

其中:
第一支線由a點經A2到C點,再經R到d點;
第二支線由a點經A2到C點,經R到b點,經A3到d點;
第三支線由a點經R到b點,再經A3到d點.
不計電流表內電阻時,三個電阻並聯.設總電流為I,則通過每個電阻的電流
反饋應用
Buck變換器由於具有效率高的優點而被廣泛應用於手機、GPS、MP3等移動多媒體設備上,目前很多電源管理芯片製造廠商都推出了不同電流能力的Buck變換器,這類變 換器雖然在電流能力和保護功能方麵存在一些差異,但是他們電路的主框架結構是基本一致的,主要可以分為兩個部分:一是實現電能轉換的主功率部分,另一部分 是實現負反饋控製的控製電路。下圖是BCD半導體公司的Buck變換器AP3406的典型應用圖,黃色框裏是對反饋電阻的作用做簡要分析。

反饋作用1:設置輸出電壓
反饋電阻Rf1和Rf2的第一個作用是設置Buck電路的輸出電壓值,如圖3所示,穩態時,運算放大器的反相輸入端和同相輸入端電壓是相等的,於是可以得到輸出電壓計算公式(其中VREF是芯片內部基準電壓(本例中為0.6V)):

反饋作用2: 影響係統穩定性和動態響應
圖3黃色框中同時也是電路的補償網絡部分,補償網絡中包括 R1,C1,C2和Rf1(注:Rf2在環路分析中不起作用),補償網絡的傳遞函數可以表示為:

從上式可以看出補償網絡產生了兩個極點,其中一個極點在0點,另一個極點為

同時還產生了一個零點

從上麵分析可以知道,Rf1在補償網絡中的作用是改變中頻段增益,對補償網絡中的零極點不會有影響,隨著Rf1的增大,幅頻特性往下平移,相頻特性不變。
因此,當補償網絡進入係統環路之後,Rf1的作用是使環路增益的幅頻特性上下平移,同時環路增益的相頻特性保持不變。
延伸閱讀可點擊:http://0-fzl.cn/art/artinfo/id/80011669
[page]
偏置應用
放(fang)大(da)電(dian)路(lu)靜(jing)態(tai)工(gong)作(zuo)點(dian)直(zhi)接(jie)影(ying)響(xiang)到(dao)放(fang)大(da)電(dian)路(lu)的(de)性(xing)能(neng),靜(jing)態(tai)工(gong)作(zuo)點(dian)設(she)置(zhi)過(guo)低(di)或(huo)者(zhe)過(guo)高(gao)都(dou)會(hui)使(shi)放(fang)大(da)電(dian)路(lu)動(dong)態(tai)範(fan)圍(wei)減(jian)小(xiao),使(shi)得(de)輸(shu)入(ru)信(xin)號(hao)較(jiao)大(da)時(shi)輸(shu)出(chu)信(xin)號(hao)產(chan)生(sheng)截(jie)止(zhi)或(huo)者(zhe)飽(bao)和(he)失(shi)真(zhen),下(xia)麵(mian)以(yi)“定基流偏置電路”來對電阻的偏置應用作一介紹。


其中,

上式是偏置電阻的表達式,從式子可以看出偏置電阻阻值不僅與集電極電阻有關,還與三極管電流放大係數、負載有關,也就是說我們可以通過調整負載來調整三極管的偏置情況。
上拉和下拉電阻作用和選用原則
作用:
1、提高電壓準位:a.當TTL電路驅動COMS電路時,如果TTL電路輸出的高電平低於COMS電路的最低高電平(一般為3.5V),這時就需要在TTL的輸出端接上拉電阻,以提高輸出高電平的值。b.OC門電路必須加上拉電阻,以提高輸出的搞電平值。
2、加大輸出引腳的驅動能力,有的單片機管腳上也常使用上拉電阻。
3、N/A pin防靜電、防幹擾:在COMS芯xin片pian上shang,為wei了le防fang止zhi靜jing電dian造zao成cheng損sun壞huai,不bu用yong的de管guan腳jiao不bu能neng懸xuan空kong,一yi般ban接jie上shang拉la電dian阻zu產chan生sheng降jiang低di輸shu入ru阻zu抗kang,提ti供gong泄xie荷he通tong路lu。同tong時時管guan腳jiao懸xuan空kong就jiu比bi較jiao容rong易yi接jie受shou外wai界jie的de電dian磁ci幹gan擾rao。
4、電阻匹配,抑製反射波幹擾:長線傳輸中電阻不匹配容易引起反射波幹擾,加上下拉電阻是電阻匹配,有效的抑製反射波幹擾。
5、預設空閒狀態/缺省電位:在一些 CMOS 輸入端接上或下拉電阻是為了預設缺省電位. 當你不用這些引腳的時候, 這些輸入端下拉接 0 或上拉接 1。在I2C總線等總線上,空閑時的狀態是由上下拉電阻獲得。
6. 提高芯片輸入信號的噪聲容限:shuruduanruguoshigaozuzhuangtai,huozhegaozukangshuruduanchuyuxuankongzhuangtai,cishixuyaojiashanglahuoxiala,yimianshoudaosuijidianpingeryingxiangdianlugongzuo。tongyangruguoshuchuduanchuyubeidongzhuangtai,xuyaojiashanglahuoxiala,rushuchuduanjinjinshiyigesanjiguandejidianji。congertigaoxinpianshuruxinhaodezaoshengrongxianzengqiangkangganraonengli。
選擇原則
1、從節約功耗及芯片的灌電流能力考慮應當足夠大;電阻大,電流小。
2、從確保足夠的驅動電流考慮應當足夠小;電阻小,電流大。
3、對於高速電路,過大的上拉電阻可能邊沿變平緩。
綜合考慮以上三點,通常在1k到10k之間選取。對下拉電阻也有類似道理。
完
特別推薦
- 噪聲中提取真值!瑞盟科技推出MSA2240電流檢測芯片賦能多元高端測量場景
- 10MHz高頻運行!氮矽科技發布集成驅動GaN芯片,助力電源能效再攀新高
- 失真度僅0.002%!力芯微推出超低內阻、超低失真4PST模擬開關
- 一“芯”雙電!聖邦微電子發布雙輸出電源芯片,簡化AFE與音頻設計
- 一機適配萬端:金升陽推出1200W可編程電源,賦能高端裝備製造
技術文章更多>>
- 2026藍牙亞洲大會暨展覽在深啟幕
- H橋降壓-升壓電路中的交替控製與帶寬優化
- Tektronix 助力二維材料器件與芯片研究與創新
- 800V AI算力時代,GaN從“備選”變“剛需”?
- 大聯大世平集團首度亮相北京國際汽車展 攜手全球芯片夥伴打造智能車整合應用新典範
技術白皮書下載更多>>
- 車規與基於V2X的車輛協同主動避撞技術展望
- 數字隔離助力新能源汽車安全隔離的新挑戰
- 汽車模塊拋負載的解決方案
- 車用連接器的安全創新應用
- Melexis Actuators Business Unit
- Position / Current Sensors - Triaxis Hall
熱門搜索
接口IC
介質電容
介質諧振器
金屬膜電阻
晶體濾波器
晶體諧振器
晶體振蕩器
晶閘管
精密電阻
精密工具
景佑能源
聚合物電容
君耀電子
開發工具
開關
開關電源
開關電源電路
開關二極管
開關三極管
科通
可變電容
可調電感
可控矽
空心線圈
控製變壓器
控製模塊
藍牙
藍牙4.0
藍牙模塊
浪湧保護器



