溫度傳感器的應用及原理分析
發布時間:2019-08-22 責任編輯:lina
【導讀】溫度測量應用非常廣泛,不僅生產工藝需要溫度控製,有些電子產品還需對它們自身的溫度進行測量,如計算機要監控CPU的溫度,馬達控製器要知道功率驅動IC的溫度等等,下麵介紹幾種常用的溫度傳感器。
溫度測量應用非常廣泛,不僅生產工藝需要溫度控製,有些電子產品還需對它們自身的溫度進行測量,如計算機要監控CPU的溫度,馬達控製器要知道功率驅動IC的溫度等等,下麵介紹幾種常用的溫度傳感器。
wendushishijiyingyongzhongjingchangxuyaoceshidecanshu,conggangtiezhizaodaobandaotishengchan,henduogongyidouyaoyikaowendulaishixian,wenduchuanganqishiyingyongxitongyuxianshishijiezhijiandeqiaoliang。benwenduibutongdewenduchuanganqijinxingjianyaogaishu,bingjieshaoyudianluxitongzhijiandejiekou。
熱敏電阻器
用來測量溫度的傳感器種類很多,熱敏電阻器就是其中之一。許多熱敏電阻具有負溫度係數(NTC),也就是說溫度下降時它的電阻值會升高。在所有被動式溫度傳感器中,熱敏電阻的靈敏度(即溫度每變化一度時電阻的變化)最高,但熱敏電阻的電阻/溫度曲線是非線性的。

表1是一個典型的NTC熱敏電阻器性能參數。
這些數據是對Vishay-Dale熱敏電阻進行量測得到的,但它也代表了NTC熱敏電阻的總體情況。其中電阻值以一個比率形式給出(R/R25),該比率表示當前溫度下的阻值與25℃時的阻值之比,通常同一係列的熱敏電阻器具有類似的特性和相同電阻/溫度曲線。以表1中的熱敏電阻係列為例,25℃時阻值為10KΩ的電阻,在0℃時電阻為28.1KΩ,60℃時電阻為4.086KΩ;與此類似,25℃時電阻為5KΩ的熱敏電阻在0℃時電阻則為 14.050KΩ。

圖1是熱敏電阻的溫度曲線,可以看到電阻/溫度曲線是非線性的。
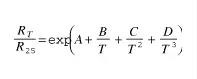
雖然這裏的熱敏電阻數據以10℃為增量,但有些熱敏電阻可以以5℃甚至1℃為增量。如果想要知道兩點之間某一溫度下的阻值,可以用這個曲線來估計,也可以直接計算出電阻值,計算公式如下:

這裏T指開氏絕對溫度,A、B、C、D是常數,根據熱敏電阻的特性而各有不同,這些參數由熱敏電阻的製造商提供。
熱敏電阻一般有一個誤差範圍,用來規定樣品之間的一致性。根據使用的材料不同,誤差值通常在1%至10%之zhi間jian。有you些xie熱re敏min電dian阻zu設she計ji成cheng應ying用yong時shi可ke以yi互hu換huan,用yong於yu不bu能neng進jin行xing現xian場chang調tiao節jie的de場chang合he,例li如ru一yi台tai儀yi器qi,用yong戶hu或huo現xian場chang工gong程cheng師shi隻zhi能neng更geng換huan熱re敏min電dian阻zu而er無wu法fa進jin行xing校xiao準zhun,這zhe種zhong熱re敏min電dian阻zu比bi普pu通tong的de精jing度du要yao高gao很hen多duo,也ye要yao貴gui得de多duo。
圖2是利用熱敏電阻測量溫度的典型電路。電阻R1將熱敏電阻的電壓拉升到參考電壓,一般它與ADC的參考電壓一致,因此如果ADC的參考電壓是5V,Vref也將是5V。熱re敏min電dian阻zu和he電dian阻zu串chuan聯lian產chan生sheng分fen壓ya,其qi阻zu值zhi變bian化hua使shi得de節jie點dian處chu的de電dian壓ya也ye產chan生sheng變bian化hua,該gai電dian路lu的de精jing度du取qu決jue於yu熱re敏min電dian阻zu和he電dian阻zu的de誤wu差cha以yi及ji參can考kao電dian壓ya的de精jing度du。

自熱問題
由(you)於(yu)熱(re)敏(min)電(dian)阻(zu)是(shi)一(yi)個(ge)電(dian)阻(zu),電(dian)流(liu)流(liu)過(guo)它(ta)時(shi)會(hui)產(chan)生(sheng)一(yi)定(ding)的(de)熱(re)量(liang),因(yin)此(ci)電(dian)路(lu)設(she)計(ji)人(ren)員(yuan)應(ying)確(que)保(bao)拉(la)升(sheng)電(dian)阻(zu)足(zu)夠(gou)大(da),以(yi)防(fang)止(zhi)熱(re)敏(min)電(dian)阻(zu)自(zi)熱(re)過(guo)度(du),否(fou)則(ze)係(xi)統(tong)測(ce)量(liang)的(de)是(shi)熱(re)敏(min)電(dian)阻(zu)發(fa)出(chu)的(de)熱(re),而(er)不(bu)是(shi)周(zhou)圍(wei)環(huan)境(jing)的(de)溫(wen)度(du)。
熱敏電阻消耗的能量對溫度的影響用耗散常數來表示,它指將熱敏電阻溫度提高比環境溫度高1℃所需要的毫瓦數。耗散常數因熱敏電阻的封裝、管腳規格、包封材料及其它因素不同而不一樣。
係統所允許的自熱量及限流電阻大小由測量精度決定,測量精度為±5℃的測量係統比精度為±1℃測量係統可承受的熱敏電阻自熱要大。
yingzhuyilashengdianzudezuzhibixujinxingjisuan,yixiandingzhenggeceliangwendufanweineideziregonghao。geidingchudianzuzhiyihou,youyuremindianzuzuzhibianhua,haosangonglvzaibutongwenduxiayeyousuobutong。
有時需要對熱敏電阻的輸入進行標定以便得到合適的溫度分辨率,圖3是一個將10~40℃溫度範圍擴展到ADC整個0~5V輸入區間的電路。
運算放大器輸出公式如下:
一yi旦dan熱re敏min電dian阻zu的de輸shu入ru標biao定ding完wan成cheng以yi後hou,就jiu可ke以yi用yong圖tu表biao表biao示shi出chu實shi際ji電dian阻zu與yu溫wen度du的de對dui應ying情qing況kuang。由you於yu熱re敏min電dian阻zu是shi非fei線xian性xing的de,所suo以yi需xu要yao用yong圖tu表biao表biao示shi,係xi統tong要yao知zhi道dao對dui應ying每mei一yi個ge溫wen度duADC的值是多少,表的精度具體是以1℃為增量還是以5℃為增量要根據具體應用來定。
累積誤差
用熱敏電阻測量溫度時,在輸入電路中要選擇好傳感器及其它元件,以便和所需要的精度相匹配。有些場合需要精度為1%的電阻,而有些可能需要精度為0.1%的電阻。在任何情況下都應用一張表格算出所有元件的累積誤差對測量精度的影響,這些元件包括電阻、參考電壓及熱敏電阻本身。
ruguoyaoqiujingdugaoeryouxiangshaohuayidianqian,zexuyaozaixitonggoujianhaohouduitajinxingxiaozhun,youyuxianlubanjiremindianzubixuzaixianchanggenghuan,suoyiyibanqingkuangxiabujianyizheyangzuo。zaishebeibunengzuoxianchanggenghuanhuogongchengshiyouqitafangfajiankongwendudeqingkuangxia,yekeyirangruanjianjianyizhangwenduduiyingADC變bian化hua的de表biao格ge,這zhe時shi需xu要yao用yong其qi它ta工gong具ju測ce量liang實shi際ji溫wen度du值zhi,軟ruan件jian才cai能neng創chuang建jian相xiang對dui應ying的de表biao格ge。對dui於yu有you些xie必bi須xu要yao現xian場chang更geng換huan熱re敏min電dian阻zu的de係xi統tong,可ke以yi將jiang要yao更geng換huan的de元yuan件jian(傳感器或整個模擬前端)在出廠前就校準好,並把校準結果保存在磁盤或其它存儲介質上,當然,元件更換後軟件必須要能夠知道使用校準後的數據。

總的來說,熱敏電阻是一種低成本溫度測量方法,而且使用也很簡單,下麵我們介紹電阻溫度探測器和熱電偶溫度傳感器。
電阻溫度探測器
電阻溫度探測器(RTD)實際上是一根特殊的導線,它的電阻隨溫度變化而變化,通常RTD材料包括銅、鉑、鎳及鎳/鐵合金。RTD元件可以是一根導線,也可以是一層薄膜,采用電鍍或濺射的方法塗敷在陶瓷類材料基底上。
RTD的電阻值以0℃阻值作為標稱值。0℃ 100Ω鉑RTD電阻在1℃時它的阻值通常為100.39Ω,50℃時為119.4Ω,圖4是RTD電阻/溫度曲線與熱敏電阻的電阻/溫度曲線的比較。 RTD的誤差要比熱敏電阻小,對於鉑來說,誤差一般在0.01%,鎳一般為0.5%。除誤差和電阻較小以外,RTD與熱敏電阻的接口電路基本相同。
熱電偶
熱電偶由兩種不同金屬結合而成,它受熱時會產生微小的電壓,電壓大小取決於組成熱電偶的兩種金屬材料,鐵-康銅(J型)、銅-康銅(T型)和鉻-鋁(K型)熱電偶是最常用的三種。 熱電偶產生的電壓很小,通常隻有幾毫伏。K型熱電偶溫度每變化1℃時電壓變化隻有大約40μV,因此測量係統要能測出4μV的電壓變化測量精度才可以達到0.1℃。
由(you)於(yu)兩(liang)種(zhong)不(bu)同(tong)類(lei)型(xing)的(de)金(jin)屬(shu)結(jie)合(he)在(zai)一(yi)起(qi)會(hui)產(chan)生(sheng)電(dian)位(wei)差(cha),所(suo)以(yi)熱(re)電(dian)偶(ou)與(yu)測(ce)量(liang)係(xi)統(tong)的(de)連(lian)接(jie)也(ye)會(hui)產(chan)生(sheng)電(dian)壓(ya)。一(yi)般(ban)把(ba)連(lian)接(jie)點(dian)放(fang)在(zai)隔(ge)熱(re)塊(kuai)上(shang)以(yi)減(jian)小(xiao)這(zhe)一(yi)影(ying)響(xiang),使(shi)兩(liang)個(ge)節(jie)點(dian)處(chu)以(yi)同(tong)一(yi)溫(wen)度(du)下(xia),從(cong)而(er)降(jiang)低(di)誤(wu)差(cha)。有(you)時(shi)候(hou)也(ye)會(hui)測(ce)量(liang)隔(ge)熱(re)塊(kuai)的(de)溫(wen)度(du),以(yi)補(bu)償(chang)溫(wen)度(du)的(de)影(ying)響(xiang)(圖5)。

測量熱電偶電壓要求的增益一般為100到300,erredianouxiequdezaoshengyehuifangdatongyangdebeishu。tongchangcaiyongceliangfangdaqilaifangdaxinhao,yinweitakeyichuquredianoulianxianlidegongmozaosheng。shichangshanghaikeyimaidaoredianouxinhaotiaojieqi,rumoniqijiangongsideAD594/595,可用來簡化硬件接口。
固態熱傳感器
最簡單的半導體溫度傳感器就是一個PN結,例如二極管或晶體管基極-發射極之間的PN結。如果一個恒定電流流過正向偏置的矽 PN結,正向壓降在溫度每變化1℃時會降低1.8mV。很多IC利用半導體的這一特性來測量溫度,包括美信的MAX1617、國半的LM335和LM74 等等。半導體傳感器的接口形式多樣,從電壓輸出到串行SPI/微線接口都可以。
溫度傳感器種類很多,通過正確地選擇軟件和硬件,一定可以找到適合自己應用的傳感器。
特別推薦
- 噪聲中提取真值!瑞盟科技推出MSA2240電流檢測芯片賦能多元高端測量場景
- 10MHz高頻運行!氮矽科技發布集成驅動GaN芯片,助力電源能效再攀新高
- 失真度僅0.002%!力芯微推出超低內阻、超低失真4PST模擬開關
- 一“芯”雙電!聖邦微電子發布雙輸出電源芯片,簡化AFE與音頻設計
- 一機適配萬端:金升陽推出1200W可編程電源,賦能高端裝備製造
技術文章更多>>
- 三星上演罕見對峙:工會集會討薪,股東隔街抗議
- 摩爾線程實現DeepSeek-V4“Day-0”支持,國產GPU適配再提速
- 築牢安全防線:智能駕駛邁向規模化應用的關鍵挑戰與破局之道
- GPT-Image 2:99%文字準確率,AI生圖告別“鬼畫符”
- 機器人馬拉鬆的勝負手:藏在主板角落裏的“時鍾戰爭”
技術白皮書下載更多>>
- 車規與基於V2X的車輛協同主動避撞技術展望
- 數字隔離助力新能源汽車安全隔離的新挑戰
- 汽車模塊拋負載的解決方案
- 車用連接器的安全創新應用
- Melexis Actuators Business Unit
- Position / Current Sensors - Triaxis Hall
熱門搜索
Tektronix
Thunderbolt
TI
TOREX
TTI
TVS
UPS電源
USB3.0
USB 3.0主控芯片
USB傳輸速度
usb存儲器
USB連接器
VGA連接器
Vishay
WCDMA功放
WCDMA基帶
Wi-Fi
Wi-Fi芯片
window8
WPG
XILINX
Zigbee
ZigBee Pro
安規電容
按鈕開關
白色家電
保護器件
保險絲管
北鬥定位
北高智

