力學傳感器種類及壓阻式力傳感器簡介
發布時間:2019-02-20 責任編輯:wenwei
【導讀】力學傳感器是將各種力學量轉換為電信號的器件,力學量可分為幾何學量、運動學量及力學量三部分,其中幾何學量指的是位移、形變、尺寸等,運動學量是指幾何學量的時間函數,如速度、加速度等。力學量包括質量、力、力矩、壓力、應力等。根據被測力學的不同,這裏我們首先要介紹的是應用最為廣泛的應變式壓力傳感器。
力學傳感器的種類繁多,如電阻應變片壓力傳感器、半導體應變片壓力傳感器、壓阻式壓力傳感器、電感式壓力傳感器、電容式壓力傳感器、諧振式壓力傳感器及電容式加速度傳感器等。但應用最為廣泛的是壓阻式壓力、傳感器,它具有極低價格和較高的精度以及較好的線性特性。

在zai了le解jie壓ya阻zu式shi力li傳chuan感gan器qi時shi,我wo們men首shou先xian認ren識shi一yi下xia電dian阻zu應ying變bian片pian這zhe種zhong元yuan件jian。電dian阻zu應ying變bian片pian是shi一yi種zhong將jiang被bei測ce件jian上shang的de應ying變bian變bian化hua轉zhuan換huan成cheng為wei一yi種zhong電dian信xin號hao的de敏min感gan器qi件jian。它ta是shi壓ya阻zu式shi應ying變bian傳chuan感gan器qi的de主zhu要yao組zu成cheng部bu分fen之zhi一yi。電dian阻zu應ying變bian片pian應ying用yong最zui多duo的de是shi金jin屬shu電dian阻zu應ying變bian片pian和he半ban導dao體ti應ying變bian片pian兩liang種zhong。
金jin屬shu電dian阻zu應ying變bian片pian又you有you絲si狀zhuang應ying變bian片pian和he金jin屬shu箔bo狀zhuang應ying變bian片pian兩liang種zhong。通tong常chang是shi將jiang應ying變bian片pian通tong過guo特te殊shu的de粘zhan和he劑ji緊jin密mi的de粘zhan合he在zai產chan生sheng力li學xue應ying變bian基ji體ti上shang,當dang基ji體ti受shou力li發fa生sheng應ying力li變bian化hua時shi,電dian阻zu應ying變bian片pian也ye一yi起qi產chan生sheng形xing變bian,使shi應ying變bian片pian的de阻zu值zhi發fa生sheng改gai變bian,從cong而er使shi加jia在zai電dian阻zu上shang的de電dian壓ya發fa生sheng變bian化hua。
zhezhongyingbianpianzaishoulishichanshengdezuzhibianhuatongchangjiaoxiao,yiguzhezhongyingbianpiandouzuchengyingbiandianqiao,bingtongguohouxudeyibiaofangdaqijinxingfangda,zaichuanshugeichulidianlu(通常是A/D轉換和CPU)顯示或執行機構。金屬電阻應變片的內部結構由基體材料、金屬應變絲或應變箔、絕緣保護片和引出線等部分組成。
根據不同的用途,電阻應變片的阻值可以由設計者設計,但電阻的取值範圍應注意:阻zu值zhi太tai小xiao,所suo需xu的de驅qu動dong電dian流liu太tai大da,同tong時shi應ying變bian片pian的de發fa熱re致zhi使shi本ben身shen的de溫wen度du過guo髙髙,不bu同tong的de環huan境jing中zhong使shi用yong,使shi應ying變bian片pian的de阻zu值zhi變bian化hua太tai大da,輸shu出chu零ling點dian漂piao移yi明ming顯xian,調tiao零ling電dian路lu過guo於yu複fu雜za。而er電dian阻zu太tai大da,阻zu抗kang太tai高gao,抗kang外wai界jie的de電dian磁ci幹gan擾rao能neng力li較jiao差cha。
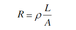
—般(ban)均(jun)為(wei)幾(ji)十(shi)歐(ou)至(zhi)幾(ji)十(shi)千(qian)歐(ou)左(zuo)右(you)。電(dian)阻(zu)應(ying)變(bian)片(pian)的(de)工(gong)作(zuo)原(yuan)理(li)金(jin)屬(shu)電(dian)阻(zu)應(ying)變(bian)片(pian)的(de)工(gong)作(zuo)原(yuan)理(li)是(shi)吸(xi)附(fu)在(zai)基(ji)體(ti)材(cai)料(liao)上(shang)應(ying)變(bian)電(dian)阻(zu)隨(sui)機(ji)械(xie)形(xing)變(bian)而(er)產(chan)生(sheng)阻(zu)值(zhi)變(bian)化(hua)的(de)現(xian)象(xiang),俗(su)稱(cheng)為(wei)電(dian)阻(zu)應(ying)變(bian)效(xiao)應(ying)。金(jin)屬(shu)導(dao)體(ti)的(de)電(dian)阻(zu)值(zhi)R可用下式表示:
式中:p——金屬導體的電阻率(Ocm2/m)A——導體的截麵積(cm2)L——導體的長度(m)womenyijinshusiyingbiandianzuweili,dangjinshusishouwailizuoyongshi,qichangduhejiemianjidouhuifashengbianhua,congshangshizhongkehenrongyikanchu,qidianzuzhijihuifashenggaibian,jiarujinshusishouwailizuoyongershenchangshi,qichangduzengjia,erjiemianjijianshao,dianzuzhibianhuizengda。
當金屬絲受外力作用而壓縮時,長度減小而截麵增加,電阻值則會減小。隻要測出加在電阻的變化(通常是測量電阻兩端的電壓),jikehuodeyingbianjinshusideyingbianqingkuang。yadianshilichuanganqishiliyongshiyingjingtidezongxiangyadianxiaoying,jianglizhuanhuanchengdianhedebianhuanzhuangzhi。chuanganqichanshengdedianhezhengbiyubeicewaili,tongguodianhefangdaqijiangdianheanbilizhuanhuanchengdianya,yongdianyabiaohuoqitaxianshiqiduchuqidaxiaojibianhua。
推薦閱讀:
特別推薦
- 噪聲中提取真值!瑞盟科技推出MSA2240電流檢測芯片賦能多元高端測量場景
- 10MHz高頻運行!氮矽科技發布集成驅動GaN芯片,助力電源能效再攀新高
- 失真度僅0.002%!力芯微推出超低內阻、超低失真4PST模擬開關
- 一“芯”雙電!聖邦微電子發布雙輸出電源芯片,簡化AFE與音頻設計
- 一機適配萬端:金升陽推出1200W可編程電源,賦能高端裝備製造
技術文章更多>>
- 一秒檢測,成本降至萬分之一,光引科技把幾十萬的台式光譜儀“搬”到了手腕上
- AI服務器電源機櫃Power Rack HVDC MW級測試方案
- 突破工藝邊界,奎芯科技LPDDR5X IP矽驗證通過,速率達9600Mbps
- 通過直接、準確、自動測量超低範圍的氯殘留來推動反滲透膜保護
- 從技術研發到規模量產:恩智浦第三代成像雷達平台,賦能下一代自動駕駛!
技術白皮書下載更多>>
- 車規與基於V2X的車輛協同主動避撞技術展望
- 數字隔離助力新能源汽車安全隔離的新挑戰
- 汽車模塊拋負載的解決方案
- 車用連接器的安全創新應用
- Melexis Actuators Business Unit
- Position / Current Sensors - Triaxis Hall
熱門搜索
按鈕開關
白色家電
保護器件
保險絲管
北鬥定位
北高智
貝能科技
背板連接器
背光器件
編碼器型號
便攜產品
便攜醫療
變容二極管
變壓器
檳城電子
並網
撥動開關
玻璃釉電容
剝線機
薄膜電容
薄膜電阻
薄膜開關
捕魚器
步進電機
測力傳感器
測試測量
測試設備
拆解
場效應管
超霸科技


