MEMS慣性測量單元(IMU)/陀螺儀對準基礎
發布時間:2016-07-28 責任編輯:wenwei
【導讀】對於在反饋環路中采用MEMS慣性測量單元(IMU)的高性能運動控製係統,傳感器對準誤差常常是其關鍵考慮之一。對於IMU中的陀螺儀,傳感器對準誤差描述各陀螺儀的旋轉軸與係統定義的“慣性參考係”(也稱為“全局坐標係”)之間的角度差。為了管控對準誤差對傳感器精度的影響,可能需要獨特的封裝、特殊的組裝工藝,甚至在最終配置中進行複雜的慣性測試。
所有這些事情都可能會對項目管理的重要指標:如計劃、投資和各係統中IMU相(xiang)關(guan)的(de)總(zong)成(cheng)本(ben)等(deng),產(chan)生(sheng)重(zhong)大(da)影(ying)響(xiang)。因(yin)此(ci),在(zai)設(she)計(ji)周(zhou)期(qi)的(de)早(zao)期(qi),當(dang)還(hai)有(you)時(shi)間(jian)界(jie)定(ding)係(xi)統(tong)架(jia)構(gou)以(yi)實(shi)現(xian)最(zui)有(you)效(xiao)解(jie)決(jue)方(fang)案(an)的(de)時(shi)候(hou),對(dui)傳(chuan)感(gan)器(qi)對(dui)準(zhun)誤(wu)差(cha)加(jia)以(yi)考(kao)慮(lv)是(shi)十(shi)分(fen)有(you)必(bi)要(yao)的(de)。畢(bi)竟(jing),沒(mei)有(you)人(ren)希(xi)望(wang)在(zai)燒(shao)掉(diao)項(xiang)目(mu)80%dejihuashijianheyusuanzhihoucaifaxian,weilemanzuzuizhongyonghuburongshangliangdejiaohuoyaoqiu,qibingbuangguidechuanganqixuyaozengjiashubaishenzhishuqianmeiyuandeyiwaichengben,nayangkejiuzaogaozhijile!
設計係統的IMU功能架構時,有三個基本對準概念需要了解和評估:誤差估計、對準誤差對係統關鍵行為的影響以及電子對準(安裝後)。初始誤差估計應當包括IMUyijizaiyunxingguochengzhongjiangqigudingjiuweidejixiexitongzheliangfangmiandewuchagongxian。lejiezhexiewuchaduixitongguanjiangongnengdeyingxiangyouzhuyuquelixiangguanxingnengmubiao,fangzhiguoduchuliwenti,tongshiguankongwufaduixianguanjianxingnenghechengbenchengnuodefengxian。zuihou,weileyouhuaxitongdexingnenghuoyichengbenhuankongjian,kenengxuyaomouzhongxingshidedianziduizhun。
預測安裝後的對準誤差
一個應用的對準精度取決於兩個關鍵因素:IMU的對準誤差和在運行過程中將其固定就位的機械係統的精度。IMU的貢獻(ΨIMU)和係統的貢獻(ΨSYS)通常並不相關,估計總對準誤差時,常常是利用和方根計算將這兩個誤差源加以合並:

某些IMU規格表通過“軸到封裝對準誤差”或“軸到坐標係對準誤差”等參數來量化對準誤差。圖1以誇張方式顯示了ADIS16485中各陀螺儀相對於其封裝邊緣的對準誤差。圖中的綠色虛線代表封裝定義的參考係的各軸。實線代表封裝內部陀螺儀的旋轉軸,ΨIMU代表三個對準誤差項的最大值(ΨX、ΨY、ΨZ)。

圖1: ADI16485軸到坐標係的對準誤差。
為了預測係統對準誤差的貢獻(公式1中的ΨSYS),需要分析機械缺陷導致IMU在係統中的停靠位置相對於全局坐標係偏斜的可能性。使用焊接到印刷電路板的IMU時,這將涉及到以下考量因素:原始放置精度、焊料沉積的差異、回流焊期間的浮動、PCB關鍵特性(如安裝孔等)的容差以及係統框架本身的容差等。使用模塊式IMU時,它可以與係統外殼實現更直接的耦合,如圖2所示。此類接口有兩個關鍵機械特性可幫助管控安裝偏斜誤差:安裝架(4×)和安裝巢。

圖2:內嵌式底板設計概念。
在此類安裝方案中,四個安裝架的高度差異就是機械差異的一個例子,可能引起x軸和y軸的安裝偏斜。圖3以誇張方式說明了這種偏差(H1與H2)對x軸安裝偏斜(ΨX)的影響。

圖3:安裝架差異引起的對準誤差。
Mounting Ledges: 安裝架
公式2反映了x軸偏斜角度(ΨX)與高度差(H2到H1)和兩個接觸點間跨度(W到W1)的關係:
安裝架高度差異對y軸的安裝偏斜也有類似的影響。此時,?用封裝長度(L)替換公式2中的寬度(W),便可得到如下用於估計y軸偏斜角度(ΨY)的關係式。
圖4提供了另一個例子來說明機械特性如何影響z軸的安裝偏斜。本例中,機械螺絲先穿過IMU主體的安裝孔(位於四角),再穿過安裝架的孔,最後進入安裝架背部的鎖緊螺母。這種情況下,機械螺絲的直徑(DM)與底板中相關通孔的直徑(DH)之間的差異會引起z軸偏斜。

圖4:安裝螺絲/孔對z軸偏斜角度的影響。
公式4反映了z軸安裝偏斜(ΨZ)與直徑差和旋轉半徑(RS,等於相對兩角的兩個安裝螺絲間距離的一半)的關係。
7
示例1
使用2mm機械螺絲將ADIS16485安裝到6mm×6mm安裝架上,安裝架的孔直徑為2.85mm,高度容差為0.2mm,估算與此相關的總對準誤差。
求解
使用44mm的標稱寬度(W),x軸偏斜角度(見圖3)預測值為0.3度。
封裝各邊上安裝孔間的標稱距離分別為39.6mm和42.6mm。這些尺寸構成直角三角形的兩邊,其斜邊等於封裝相對兩角的兩個孔之間的距離。旋轉半徑
(RS,見圖4)等於此距離的一半(29.1mm),因此z軸偏斜的預測值為0.83度。

對於式1中的複合預測公式,ΨSYS等於ΨZ(估算最大值),ΨIMU等於1度(依據IMU數據手冊中的軸到坐標係對準誤差規格)。因此,總對準誤差估算值為1.28度。
對準誤差對係統精度的影響
為應用製定精度標準時,了解對準誤差與其對陀螺儀精度影響之間的基本關係是一個很好的著手點。為了說明該過程,圖5提供了三軸陀螺儀係統的通用模型。圖中的三條綠色實線代表全局坐標係的三軸,黑色實線代表所有三個陀螺儀的旋轉軸,帶Ψ標簽代表全局坐標係與陀螺儀軸之間的對準誤差。公式5、公式6和公式7顯示了對準誤差對各陀螺儀繞全局坐標係中指定軸旋轉的響應的影響。在這些公式中,對準角度誤差的餘弦引入一個比例誤差。

圖5:正交三軸陀螺儀的對準誤差。
對準誤差還會對各軸產生跨軸影響。為了量化這些影響,需要將各軸的對準角度誤差分解為與其它兩軸相關的兩個分量。例如,ΨX有一個y軸分量(φXY)和一個z軸分量(φXZ),導致x軸陀螺儀對繞全局坐標係中所有三軸旋轉(ωX, ωY, ωZ)的響應擴展如下:
y軸和z軸陀螺儀也有同樣的擴展:
對公式8、公式9和公式10的兩側積分,可得到關於角位移的類似關係。在得到的公式11、公式12和公式13中,我們關心的角度是相對於全局坐標係的角位移(θXω, θYω, θZω)和各陀螺儀的積分(θXG, θYG, θZG)。

示例2
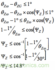
一種地麵無人駕駛車輛(UV)利用MEMS IMU作為平台穩定控製(PSC)係統中的反饋傳感器以支持其天線。此係統采用RSS調諧器環路,後者要求方位角和仰角保持在±1?範圍內,以便維持連續通信。在大多數動態情況下,PSC高度依賴y軸陀螺儀測量來控製仰角,以及依賴z軸陀螺儀測量來控製方位角。在此類動態情況下,航向角(θZω)的最大變化為30?,並且在作這種機動期間沒有繞x軸或y軸的旋轉(θXω = θYω = 0)。
求解
由於繞x軸和y軸的旋轉為0,公式8和公式9可簡化為:
從y軸開始,設θYG的最大邊界為1?,求解對準誤差項ΦYZ。這樣便可求得y軸陀螺儀的最大允許對準誤差為1.9度。
對於z軸,設θZω等於30?,θZG和θZω之差的最大邊界為1度,然後求解ΨZ。這樣便可求得z軸陀螺儀的最大允許對準誤差為14.8度。

上述計算表明,對於這種特定機動/情形,y軸和z軸之間的跨軸行為要求對準精度約為1.9度。
電子對準
在IMU和安裝係統不滿足關鍵係統目標的情況下,電子對準提供了一種減小對準誤差的方法。該過程有兩個重要步驟:測定對準誤差項(IMU安裝之後)和製定一個校正對準矩陣。將該矩陣應用於陀螺儀陣列時,陀螺儀將像已與全局坐標係對準一樣作出響應。公式14為此過程提供了一個係統模型,其中繞全局坐標係各軸的旋轉(ω)是三個係統輸入,三個陀螺儀響應(G)是係統輸出,3 × 3矩陣(M)代表輸入與輸出之間的係統行為(包括對準誤差)。
通過簡單的算術操作可得,陀螺儀測量結果(G)與M的逆矩陣(M–1)的乘積等於全局坐標係的旋轉陣列(ω)。因此,對準矩陣等於M–1。
基於公式8、公式9和公式10,可將公式14擴展以包括對準誤差項,如公式16所示,公式17和公式18是更一般形式:

一(yi)次(ci)僅(jin)繞(rao)一(yi)個(ge)軸(zhou)旋(xuan)轉(zhuan)整(zheng)個(ge)係(xi)統(tong)可(ke)將(jiang)係(xi)統(tong)模(mo)型(xing)簡(jian)化(hua)到(dao)足(zu)夠(gou)簡(jian)單(dan)的(de)程(cheng)度(du),使(shi)得(de)矩(ju)陣(zhen)中(zhong)的(de)每(mei)個(ge)元(yuan)素(su)都(dou)可(ke)以(yi)通(tong)過(guo)一(yi)次(ci)陀(tuo)螺(luo)儀(yi)測(ce)量(liang)獲(huo)得(de)。例(li)如(ru),讓(rang)係(xi)統(tong)繞(rao)x軸旋轉(ωX = ωTR, ωY = 0, ωZ = 0),同時觀測所有三個軸,則M11、M21和M31的關係可簡化如下:
采用同樣的方法,繞y軸旋轉(ωX = 0, ωY = ωTR, ωZ = 0),則M12、M22和M32的關係可簡化如下:

最後,繞z軸旋轉(ωX = 0, ωY = 0, ωZ = ωTR),則M13、M23和M33的關係可簡化如下:

顯然,運動配置(ω)的精度和陀螺儀測量(G)對dui此ci過guo程cheng有you直zhi接jie影ying響xiang。具ju體ti說shuo來lai,偏pian軸zhou運yun動dong對dui此ci過guo程cheng有you顯xian著zhu影ying響xiang,當dang購gou買mai和he部bu署shu依yi賴lai這zhe些xie要yao求qiu的de慣guan性xing測ce試shi設she備bei時shi,必bi須xu予yu以yi考kao慮lv。就jiu陀tuo螺luo儀yi精jing度du而er言yan,偏pian置zhi和he噪zao聲sheng是shi兩liang大da威wei脅xie,在zai此ci過guo程cheng中zhong通tong常chang需xu要yao考kao慮lv。為wei了le管guan控kong陀tuo螺luo儀yi測ce量liang中zhong殘can餘yu偏pian置zhi誤wu差cha(bE)的影響,有一個技巧是使用兩個不同的旋轉速率——大小相等但方向相反。例如,繞y軸沿正方向旋轉時(ωY = ωTR, ωX = ωZ = 0),公式28描述了z軸陀螺儀響應和偏置誤差。公式29則描述了繞y軸沿負方向旋轉時(ωY = –ωTR, ωX = ωZ = 0)z軸陀螺儀的響應。
變換公式29,寫出偏置誤差(bE)的表示形式,代入公式28中,然後求解M32。注意偏置誤差(bE)是如何從公式中消除的。

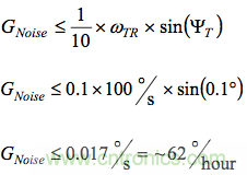
此公式假設偏置誤差在兩次測量中保持不變,這並不是一個符合實際的期望,不同測量之間可能存在偏差(溫度、時間和噪聲),duiciyingyouqingxingderenshi。dangzaiwendingdewendutiaojianxialianxujinxingceliangshi,zaoshengchangchangshiciguochengzhongxuyaoguankongdeguanjianwucha。zaituoluoyiceliangzhong,kejieshoudezaoshengshuipingqujueyuduizhunjingdumubiao(ΨT)和測定過程中各軸上的旋轉速率(ωTR)。慣性條件保持不變時,一種常用的降噪技術是對陀螺儀數據求均值。利用Allan方差曲線這個工具可以了解可重複性(噪聲)與均值時間之間的權衡關係。
示例3
如果特性測定期間的旋轉速率為100?/s,對準精度目標為0.1度,噪聲(rms)必須比對準誤差目標低10倍,那麼為了實現這些目標,我們需要對ADIS16485的輸出求多長時間的均值?
求解
使用陀螺儀與輸入之間的一般響應(在測試平台上旋轉),下麵的計算表明:各陀螺儀的總噪聲(rms)必須低於62?/小時。

圖6通過一個例子說明了如何使用此IMU的Allan方差曲線來選擇均值時間以滿足上述要求。本例中,0.1秒的均值時間可滿足62?/小時的可重複性目標,還有一些裕量。

圖6:ADIS16485 Allan方差曲線。
注意,這種方法僅針對傳感器本身的噪聲。若測試平台有振動,會增加陀螺儀測量的噪聲,則可能需要額外的考慮和濾波。
簡化對準過程的技巧和竅門
開(kai)發(fa)一(yi)個(ge)具(ju)有(you)必(bi)要(yao)的(de)精(jing)度(du)和(he)環(huan)境(jing)控(kong)製(zhi)溫(wen)度(du)的(de)三(san)軸(zhou)慣(guan)性(xing)測(ce)試(shi)係(xi)統(tong),通(tong)常(chang)需(xu)要(yao)在(zai)固(gu)定(ding)設(she)備(bei)和(he)工(gong)程(cheng)開(kai)發(fa)資(zi)源(yuan)方(fang)麵(mian)投(tou)入(ru)巨(ju)資(zi)。對(dui)於(yu)那(na)些(xie)正(zheng)在(zai)開(kai)發(fa)第(di)一(yi)代(dai)或(huo)第(di)二(er)代(dai)係(xi)統(tong),在(zai)開(kai)發(fa)過(guo)程(cheng)中(zhong)有(you)很(hen)多(duo)問(wen)題(ti)需(xu)要(yao)回(hui)答(da)的(de)公(gong)司(si),可(ke)能(neng)沒(mei)有(you)此(ci)類(lei)資(zi)源(yuan)或(huo)時(shi)間(jian)。這(zhe)就(jiu)產(chan)生(sheng)了(le)簡(jian)化(hua)解(jie)決(jue)方(fang)案(an)的(de)需(xu)求(qiu),通(tong)過(guo)謹(jin)慎(shen)選(xuan)擇(ze)IMU並利用儀器或應用中的自然運動可以實現簡化。
例如,有時候使用角度可能比使用角速率測量來得更方便。公式31是公式11、公式12和公式13合並的結果,它用相對於全局坐標係的角度(θXω, θYω, θZω)和陀螺儀輸出的積分(θXG, θYG, θZG)來代表係統行為(M):
guanyuqijianxuanze,zhoudaozhouduizhunwuchashiyigexuyaokaolvdezhongyaocanshu,yinweidangtadiyuzhoudaofengzhuangduizhunwuchacanshushi,jiangyouzhuyujiangdiyudianziduizhunxiangguandeguanxingceshipeizhi(公式16)的(de)複(fu)雜(za)度(du)。軸(zhou)到(dao)封(feng)裝(zhuang)對(dui)準(zhun)誤(wu)差(cha)參(can)數(shu)描(miao)述(shu)的(de)是(shi)陀(tuo)螺(luo)儀(yi)相(xiang)對(dui)於(yu)外(wai)部(bu)機(ji)械(xie)基(ji)準(zhun)的(de)方(fang)位(wei),而(er)軸(zhou)到(dao)軸(zhou)對(dui)準(zhun)誤(wu)差(cha)參(can)數(shu)描(miao)述(shu)的(de)是(shi)各(ge)陀(tuo)螺(luo)儀(yi)相(xiang)對(dui)於(yu)另(ling)外(wai)兩(liang)個(ge)陀(tuo)螺(luo)儀(yi)的(de)方(fang)位(wei)。多(duo)數(shu)情(qing)況(kuang)下(xia),MEMS IMU中三個陀螺儀的理想方位是彼此成90?,因此軸到軸對準誤差與此行為的另一個常見參數(跨軸靈敏度)相關。利用公式7作為參考,軸到軸對準誤差代表這三個關係的最大值:


圖7:軸到軸對準誤差。
zhidingdianziduizhunliuchengshi,zhoudaozhouduizhunwuchacanshuquedingdeshijiashechuanganqiwanquanzhengjiaoduizhunshidewucha。shiyongwanquanzhengjiaozheyijiashetiaojian,jinxuanzhuanliangzhoubiankeduizhunsuoyousanzhou。liru,raoy軸和z軸旋轉便可直接觀測到M12 、M13、M22、M23、M32和M33。假設完全正交對準並應用三角函數,便可利用以上6個元素和以下關係式計算其他三個元素(M11、M21和M31):

以上等式可將係統模型更新如下,其中M矩陣中的所有9個元素用從y軸和z軸旋轉得來的6個元素表示。
結論
慣性MEMS技術在過去幾年已經取得長足進步,為係統開發商在複雜權衡範圍內提供了廣泛的選項,包括尺寸、功耗、單位成本、集成成本和性能。對於首次利用MEMS IMU開發運動控製係統的人員,為了選擇合適的IMU並準備利用該IMU來支持關鍵係統需求,會有很多東西需要了解。對準精度對性能、chengbenhejihuafangmiandeguanjianmubiaohuiyouzhongdayingxiang,bixuyuyirenzhenkaolv。zaigainianhejiagoushejijieduan,jishihenjiandandefenxigongjuyenengbangzhuzhaochuqianzaidefengxian,yinciyingdangchenzhehaiyoushijianyingxiangqijianxuanze、機械設計、安裝後校準(電子對準)、初步成本預測和關鍵計劃節點的時候,多做些工作。更進一步說,識別MEMS IMU的關鍵指標和機會,用係統中提供的自然運動代替三軸慣性測試設備以最大限度地發揮係統的價值(性能和總開發成本),將是非常有益的。
【推薦閱讀】
特別推薦
- 噪聲中提取真值!瑞盟科技推出MSA2240電流檢測芯片賦能多元高端測量場景
- 10MHz高頻運行!氮矽科技發布集成驅動GaN芯片,助力電源能效再攀新高
- 失真度僅0.002%!力芯微推出超低內阻、超低失真4PST模擬開關
- 一“芯”雙電!聖邦微電子發布雙輸出電源芯片,簡化AFE與音頻設計
- 一機適配萬端:金升陽推出1200W可編程電源,賦能高端裝備製造
技術文章更多>>
- 三星上演罕見對峙:工會集會討薪,股東隔街抗議
- 摩爾線程實現DeepSeek-V4“Day-0”支持,國產GPU適配再提速
- 築牢安全防線:智能駕駛邁向規模化應用的關鍵挑戰與破局之道
- GPT-Image 2:99%文字準確率,AI生圖告別“鬼畫符”
- 機器人馬拉鬆的勝負手:藏在主板角落裏的“時鍾戰爭”
技術白皮書下載更多>>
- 車規與基於V2X的車輛協同主動避撞技術展望
- 數字隔離助力新能源汽車安全隔離的新挑戰
- 汽車模塊拋負載的解決方案
- 車用連接器的安全創新應用
- Melexis Actuators Business Unit
- Position / Current Sensors - Triaxis Hall
熱門搜索
NFC
NFC芯片
NOR
ntc熱敏電阻
OGS
OLED
OLED麵板
OmniVision
Omron
OnSemi
PI
PLC
Premier Farnell
Recom
RF
RF/微波IC
RFID
rfid
RF連接器
RF模塊
RS
Rubycon
SATA連接器
SD連接器
SII
SIM卡連接器
SMT設備
SMU
SOC
SPANSION

