從理論到實踐談談隨機噪聲對時序抖動的影響
發布時間:2016-12-19 責任編輯:wenwei
【導讀】shixudoudongheshixuzaoshengshuyurenmenlejieshenshaodegongchenggainian,ertamenyoushimonishejiheshuzishejizhongzuizhongyaodecanshu。youqishizaigaosutongxinxitongzhong,eliededoudongxingnenghuidaozhigenggaodewumalv,bingxianzhixitongsudu。shixudoudongyibandingyiweishuzixinhaozaimouyizhongyaoshikexiangduiyuqilixiangshijianweizhideduanshijianpianli。
引言
有若幹因素會影響隨機時序抖動,包括寬帶噪聲、相位噪聲、雜散信號、壓擺率、帶dai寬kuan。相xiang位wei噪zao聲sheng和he寬kuan帶dai噪zao聲sheng都dou是shi隨sui機ji的de,而er雜za散san信xin號hao是shi由you串chuan擾rao和he電dian源yuan耦ou合he等deng各ge種zhong可ke確que定ding的de幹gan擾rao信xin號hao導dao致zhi的de確que定ding性xing響xiang應ying。如ru同tong本ben文wen稍shao後hou提ti到dao的de那na樣yang,壓ya擺bai率lv和he帶dai寬kuan也ye影ying響xiang抖dou動dong。圖tu1描繪了一條非理想的正弦曲線,它包含了這三種噪聲源。圖2顯示了一個數字信號,伴隨的抖動隨時間而積累。
本文旨在解釋和論證時序抖動和這三種噪聲源之間的直接關係。

圖1. 對時序抖動產生影響的三個噪聲源。

圖2. 時鍾信號內的隨機噪聲與雜散信號導致的抖動。抖動會隨時間積累。
寬帶噪聲對時序抖動的影響
正弦波的抖動
所(suo)有(you)電(dian)子(zi)元(yuan)件(jian)都(dou)產(chan)生(sheng)寬(kuan)帶(dai)噪(zao)聲(sheng),尤(you)其(qi)是(shi)放(fang)大(da)器(qi)和(he)邏(luo)輯(ji)器(qi)件(jian)。寬(kuan)帶(dai)噪(zao)聲(sheng)也(ye)稱(cheng)作(zuo)噪(zao)聲(sheng)底(di),是(shi)散(san)粒(li)噪(zao)聲(sheng)和(he)熱(re)噪(zao)聲(sheng)的(de)結(jie)合(he)。散(san)粒(li)噪(zao)聲(sheng)在(zai)二(er)極(ji)管(guan)和(he)晶(jing)體(ti)管(guan)中(zhong)很(hen)常(chang)見(jian),是(shi)由(you)電(dian)荷(he)穿(chuan)越(yue)半(ban)導(dao)體(ti)結(jie)的(de)勢(shi)壘(lei)時(shi)的(de)隨(sui)機(ji)跳(tiao)躍(yue)導(dao)致(zhi)的(de)。另(ling)一(yi)方(fang)麵(mian),熱(re)噪(zao)聲(sheng)不(bu)受(shou)電(dian)流(liu)的(de)影(ying)響(xiang)。它(ta)是(shi)由(you)載(zai)波(bo)的(de)隨(sui)機(ji)熱(re)運(yun)動(dong)導(dao)致(zhi)的(de),例(li)如(ru)在(zai)MOSFET的柵極和通道阻抗範圍內。熱噪聲功率與阻抗和溫度成正比。
隨著現代元件的工作帶寬進入數千兆赫茲範圍,寬帶噪聲對時序抖動的影響變得相當突出。例如,一個寬帶放大器驅動器的帶寬是40GHz,噪聲係數是10dB,小信號增益是20dB,輸出功率是0dBm,則它產生的噪聲輸出是-38dBm (-174dBm + 10dB + 20dB + 10log10(40GHz))。這導致38dB的信噪比(SNR)。在這個SNR水平,寬帶噪聲就是時序抖動的重要影響因素。總均方根(RMS)噪聲電壓是噪聲底在頻帶內的積分。圖3說明了RMS噪聲是如何轉化為時序抖動的。

圖3. 噪聲電壓Δy穿越0V,使信號提前Δt達到閾值,從而產生了抖動。
從數學上來說,可以用下麵的公式表示包含寬帶白噪聲的正弦波:
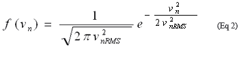
其中A為振幅,ω是角頻率,vn(t)為時刻t處的噪聲電壓。隨機噪聲vn(t)具有高斯(正態)分布。噪聲電壓ƒ(vn)的概率分布(vn)為:

其中(vnRMS)為RMS噪聲電壓。為了理解噪聲電壓是如何轉換為時序抖動的,可考慮把y(t)施加到抖動測量儀器(如帶直方圖功能的采樣示波器)的輸入端。每次y(t)穿越0V閾值時,直方圖上就增加一個數據點。正如圖3所示,在時間Δt內,存在噪聲信號Δy達到閾值的可能,因此抖動被加到直方圖中,時間比預期的采樣點早或晚Δt。概率密度為時序抖動Δt的函數,是通過在公式2中設置vn = Δy = Asin(2πƒΔt)來計算的。結果就是抖動分布函數,如直方圖所示。
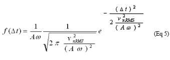
假設Δt相比正弦曲線周期而言很小,那麼可以對公式3進行簡化,得到:Asin(2πƒΔt ≅ A(2πƒΔt = AωΔt。

公式3可變為:

把公式4中各項的分子和分母同除以Aω,得到:

公式5為抖動分布函數,除比例因子1/Aω外,它與公式2中的高斯分布相似,因此,得到的RMS抖動為:
圖4所示的測試裝置用來驗證公式6。純(chun)正(zheng)弦(xian)波(bo)信(xin)號(hao)和(he)寬(kuan)帶(dai)噪(zao)聲(sheng)信(xin)號(hao)相(xiang)互(hu)疊(die)加(jia),然(ran)後(hou)輸(shu)入(ru)采(cai)樣(yang)示(shi)波(bo)器(qi),它(ta)在(zai)零(ling)交(jiao)叉(cha)處(chu)測(ce)量(liang)抖(dou)動(dong)。為(wei)了(le)確(que)保(bao)測(ce)試(shi)結(jie)果(guo)有(you)意(yi)義(yi),設(she)置(zhi)的(de)輸(shu)入(ru)寬(kuan)帶(dai)噪(zao)聲(sheng)要(yao)高(gao)於(yu)示(shi)波(bo)器(qi)的(de)噪(zao)聲(sheng)底(di)。圖(tu)5和圖6顯示了實驗結果。圖5表明在RMS噪聲恒定時,抖動是頻率的函數;圖6表明頻率恒定時,抖動是RMS噪聲的函數。測量得到的抖動曲線和計算得到的抖動曲線之間具有相似性,證明公式6可用來把寬帶噪聲轉化成時序抖動。

圖4. 抖動測試裝置#1:噪聲和純正弦波信號疊加。

圖5. 在RMS噪聲一定的情況下,抖動為頻率的函數。

圖6. 在頻率一定的情況下,抖動為RMS噪聲電壓的函數。
普通波形的抖動
經過稍微修改,公式6還能用於其他波形的抖動轉化。根據定義,公式6中的A項是0V閾值時的壓擺率S。隻要已知該閾值處的壓擺率,任何波形都可用於求出Δt與Δy之間的關係,這是因為vn = Δy = SΔt (圖3)。把它代入公式2得到公式7:

把公式7中各項的分子和分母同除以S,得到:

除比例因子1/S外,公式8與公式2中的高斯分布相似,因此,得到的RMS抖動為:
圖4所示的測試裝置再次用於驗證公式9。正弦波曲線用一個壓擺率可變的方波代替。在方波上升沿的50%處測量抖動。圖7所示結果表明公式9是正確的。

圖7. 在方波上升沿的50%處測量抖動。
圖7zhonggeichudexinxiyinchuleyigeyouqudexianxiang。sihuboxingdeyabailvyuekuai,chanshengdedoudongyuexiao。raner,jiaokuaideyabailvyaoqiujiaogaodegongzuodaikuan,zhezengjialexitongzhongdeRMS噪聲。因為RMS噪聲與帶寬成正比,因此係統設計者必須仔細選擇壓擺率和帶寬,來使抖動降到最低程度。
相位噪聲對時序抖動的影響
相(xiang)位(wei)噪(zao)聲(sheng)存(cun)在(zai)於(yu)任(ren)何(he)有(you)源(yuan)元(yuan)件(jian)和(he)無(wu)源(yuan)元(yuan)件(jian)中(zhong),但(dan)它(ta)在(zai)振(zhen)蕩(dang)器(qi)中(zhong)表(biao)現(xian)最(zui)為(wei)嚴(yan)重(zhong)。這(zhe)些(xie)振(zhen)蕩(dang)器(qi)包(bao)括(kuo)晶(jing)體(ti)自(zi)激(ji)振(zhen)蕩(dang)器(qi)和(he)時(shi)鍾(zhong)恢(hui)複(fu)應(ying)用(yong)中(zhong)的(de)鎖(suo)相(xiang)振(zhen)蕩(dang)器(qi)。相(xiang)位(wei)噪(zao)聲(sheng)是(shi)一(yi)種(zhong)描(miao)述(shu)頻(pin)譜(pu)純(chun)度(du)的(de)指(zhi)標(biao)。例(li)如(ru),理(li)想(xiang)情(qing)況(kuang)下(xia),振(zhen)蕩(dang)器(qi)輸(shu)出(chu)應(ying)該(gai)是(shi)一(yi)條(tiao)純(chun)正(zheng)弦(xian)曲(qu)線(xian),表(biao)示(shi)為(wei)頻(pin)域(yu)中(zhong)位(wei)於(yu)某(mou)個(ge)單(dan)一(yi)頻(pin)率(lv)的(de)垂(chui)線(xian)。然(ran)而(er),在(zai)現(xian)實(shi)情(qing)況(kuang)中(zhong),振(zhen)蕩(dang)器(qi)存(cun)在(zai)一(yi)些(xie)噪(zao)聲(sheng)源(yuan),它(ta)們(men)會(hui)導(dao)致(zhi)輸(shu)出(chu)頻(pin)率(lv)偏(pian)離(li)其(qi)理(li)想(xiang)位(wei)置(zhi),因(yin)此(ci)在(zai)載(zai)波(bo)(基波)頻率附近,產生了一個其他頻率的“裙邊”效應(圖8)。這(zhe)些(xie)頻(pin)率(lv)被(bei)稱(cheng)作(zuo)相(xiang)位(wei)噪(zao)聲(sheng),是(shi)由(you)對(dui)振(zhen)蕩(dang)器(qi)進(jin)行(xing)調(tiao)製(zhi)的(de)噪(zao)聲(sheng)源(yuan)引(yin)起(qi)的(de)。它(ta)們(men)的(de)電(dian)平(ping)通(tong)常(chang)比(bi)噪(zao)聲(sheng)底(di)高(gao),頻(pin)率(lv)接(jie)近(jin)載(zai)波(bo)頻(pin)率(lv)。相(xiang)位(wei)噪(zao)聲(sheng)通(tong)常(chang)被(bei)指(zhi)定(ding)為(wei)偏(pian)離(li)載(zai)波(bo)的(de)某(mou)個(ge)頻(pin)率(lv)處(chu)的(de)噪(zao)聲(sheng)功(gong)率(lv)與(yu)載(zai)波(bo)功(gong)率(lv)之(zhi)比(bi),在(zai)1Hz帶寬之內。由於相位噪聲來自於噪聲源對信號的頻率調製,因此相位噪聲不受壓擺率的影響。

圖8. 由於振蕩器的噪聲頻率調製,輸出頻譜中出現“裙邊”效應。
受shou大da多duo數shu抖dou動dong測ce量liang設she備bei能neng力li所suo限xian,與yu測ce量liang低di噪zao聲sheng信xin號hao在zai時shi域yu中zhong的de抖dou動dong相xiang比bi,通tong常chang更geng容rong易yi通tong過guo測ce量liang它ta在zai頻pin域yu中zhong的de相xiang位wei噪zao聲sheng來lai確que定ding其qi純chun度du。例li如ru,多duo數shu抖dou動dong測ce量liang示shi波bo器qi隻zhi能neng測ce量liang低di達da1psRMS的抖動。大多數實時示波器的帶寬僅為7GHz。而另一方麵,相位噪聲設備能獲得目前最佳的低噪聲示波器的噪聲測量水平(在時域中遠小於1ps),並提供高達40GHz的帶寬。
在早期的文章[1-2]中我們已經探討了相位噪聲和時序抖動的轉換問題。為了得到相位噪聲與抖動的關係式,可以考慮把公式10作為一個帶有相位噪聲的正弦曲線:
其中A是振幅, fo是額定頻率, Φ(t)為相位噪聲。通常在兩個或多個周期之間的0V交越處測量抖動。在0V交越處, 公式10括號內的各項為2πN:
其中t1為第一個零交越時刻,t2為第N個零交越時刻。兩個公式相減得出:
兩個交越點之間的時間為周期數量加上抖動:
TO為周期,即1/fO,Δt是N個周期後積累的抖動。把公式14代入公式13得:

重新整理公式15,並消去2πN項,得到抖動:

RMS抖動的平方為:

因為Φ(t)是個穩態過程,所以:

其中SΦ(ƒ)為Φ(t)的頻譜密度,f為偏移(傅立葉)頻率。公式17的中間項變為:
其中RΦ(τ)是Φ(ƒ)的自相關函數,是經過τ ≅ NTo個周期後的時間。經過N個周期後,在時刻RMS抖動的平方τ為:
利用代數公式1 - cos(2Φƒτ = 2sin²(Φƒτ)),並假設相位噪聲接近載波並且對稱(就是從-fOFFSET到0的積分等於0到+fOFFSET的積分),公式20可以重寫為:

SΦ(ƒ)近似等於相位噪聲L(ƒ) [3];也就是說,傅立葉頻偏比載波頻偏小得多: fOFFSET << fO。
為了驗證公式22,使用了一個相位調製電路[4],它是圖9所示測試裝置的一部分。相位調製電路可以非常方便地產生無雜散、可變相位噪聲信號。首先,利用采樣示波器針對時序抖動測量該電路的輸出,然後用頻譜分析儀(沒有畫出)針對相位噪聲測量其輸出。圖10顯示了該電路的相位噪聲圖。它類似於鎖相振蕩器的噪聲圖,在這種振蕩器中,相位噪聲在環路帶寬內是恒定的,並在帶外滾降。圖11給出了使用數值積分對公式22求積分後得到的相對於周期的累積抖動。圖11中的曲線證實了公式22的正確性。

圖9. 抖動測試裝置#2:使用相位調製器產生相位噪聲和抖動。

圖10. 相位調製電路的相位噪聲圖形。

圖11. 圖形顯示的是相對於周期的累積抖動,證實了公式22的正確性。
雜散噪聲對時序抖動的影響
雜散信號也對時序抖動有影響,尤其是在振蕩器中。雜散信號是由鎖相環基準的雜散信號、電源耦合、相鄰電路的串擾、噪聲源引起的。如圖1所示,這些雜散信號通常表現為載波頻率附近的小尖峰。公式22有助於建立雜散信號和時序抖動的關係。由於雜散隻發生在特定頻率,因此公式22中的積分函數可以用總和來代替:
同樣,τ ≅ NTo為經過N個周期的時間。由於公式23未假定雜散信號是對稱的,所以要乘的係數為4而不是8。在計算抖動時,載波兩側的雜散信號都必須包含在內。L(fn)為雜散信號相對於載波(預期信號)的振幅,通常以dBc為單位。fn為n次諧波的頻率偏移。圖12是公式23的波形圖,使用載波兩側的雜散信號,頻偏為100kHz,振幅為-40dBc。參考文獻1中驗證了公式23,方法是用一條正弦波調製一個壓控晶體振蕩器,產生載波兩側的雜散信號(沒有畫出)。

圖12. 公式23的曲線,顯示了載波兩側產生的雜散信號。
總抖動
如前所述,寬帶噪聲、相位噪聲、雜(za)散(san)信(xin)號(hao)是(shi)時(shi)序(xu)抖(dou)動(dong)的(de)三(san)個(ge)影(ying)響(xiang)因(yin)素(su)。寬(kuan)帶(dai)噪(zao)聲(sheng)是(shi)純(chun)粹(cui)隨(sui)機(ji)和(he)非(fei)相(xiang)幹(gan)的(de),因(yin)此(ci)它(ta)產(chan)生(sheng)的(de)抖(dou)動(dong)不(bu)累(lei)積(ji)。然(ran)而(er),後(hou)兩(liang)者(zhe)一(yi)般(ban)都(dou)產(chan)生(sheng)累(lei)積(ji)抖(dou)動(dong)。總(zong)時(shi)序(xu)抖(dou)動(dong)的(de)平(ping)方(fang)等(deng)於(yu)三(san)種(zhong)抖(dou)動(dong)的(de)平(ping)方(fang)和(he)。
結束語
實驗數據和計算數據之間的一致性證明了三種主要噪聲源和時序抖動之間的關係。高速係統的設計人員可以利用公式9、22和23把噪聲轉化成時序抖動。
附錄:計算RMS噪聲電壓
如果已知某種電子器件的一項或幾項常規噪聲規格,那麼可以通過多種方法來確定它的總RMS噪聲電壓。表1列出了一些元件製造商們通常提供的噪聲指標。

如果給定了噪聲密度,就可以通過在有效帶寬上對噪聲密度進行積分來估算總RMS噪聲,公式如下:

係統的典型負載阻抗ZO為50Ω,PRMS為RMS噪聲功率,BW為帶寬,NOISE-FLOOR是以dBm/Hz為單位的噪聲底密度。例如,一個放大器的帶寬為10GHz,輸出噪聲密度為-150dBm/Hz,則它產生的總RMS噪聲電壓為707µVRMS:

噪聲係數(NF)常用於描述低噪聲放大器和功率放大器噪聲性能。可以從噪聲係數推導出噪聲底密度,方法是把它與50Ω電阻的熱噪聲相加,再加上係統增益,公式如下:
例如,一個噪聲係數為10dB、小信號增益為20dB的放大器的噪聲底密度為-144dBm/Hz。
已知噪聲密度,就可以推出總噪聲電壓。
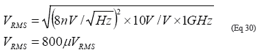
另一方麵,運算放大器噪聲特性的表現形式通常是輸入參考噪聲,單位為nV/
例如:一個輸入噪聲密度為8nV/

振蕩器的相位噪聲的單位通常為dBc/Hz。dBc單位表示輸出噪聲對期望信號功率的歸一化。下麵的公式可用於計算總RMS噪聲電壓:
其中PSIG為振蕩器的輸出功率。例如,某個振蕩器在50Ω產生的功率為10dBm,輸出相位噪聲底為-150dBc/Hz、有效帶寬為100MHz, 則輸出噪聲電壓為224mVRMS:

參考文獻
Ali Hajimiri et. al., "Jitter and Phase Noise in Ring Oscillators," IEEE Journal of Solid-State Circuits, Vol. 34, No. 6, pp. 790-804.
Boris Drakhlis, "Calculate Oscillator Jitter By Using Phase-Noise Analysis," Microwaves & RF, Jan. 2001 pp. 82-90 and p. 157.
W. F. Egan, Frequency Synthesis by Phase Lock. New York: Wilen, 1981.
Enrico Rubiola et. al., "The ±45° Correlation Interferometer as a Means to Measure Phase Noise of Parametric Origin" IEEE Transactions On Instrumentation and Measurement, Vol. 52, No. 1, pp. 182-188.
本文來源於Maxim。
推薦閱讀:
利用Snubber電路消除開關電源和Class D功放電路中的振鈴
與北鬥、GPS相比室內定位背後的微慣導技術有何不同?
盤點通信係統中的射頻技術,讓你一次就看懂!
一文讀懂光電傳感器工作原理、分類及特性
原來與物聯網最配的是這6大傳感器
特別推薦
- 噪聲中提取真值!瑞盟科技推出MSA2240電流檢測芯片賦能多元高端測量場景
- 10MHz高頻運行!氮矽科技發布集成驅動GaN芯片,助力電源能效再攀新高
- 失真度僅0.002%!力芯微推出超低內阻、超低失真4PST模擬開關
- 一“芯”雙電!聖邦微電子發布雙輸出電源芯片,簡化AFE與音頻設計
- 一機適配萬端:金升陽推出1200W可編程電源,賦能高端裝備製造
技術文章更多>>
- 三星上演罕見對峙:工會集會討薪,股東隔街抗議
- 摩爾線程實現DeepSeek-V4“Day-0”支持,國產GPU適配再提速
- 築牢安全防線:智能駕駛邁向規模化應用的關鍵挑戰與破局之道
- GPT-Image 2:99%文字準確率,AI生圖告別“鬼畫符”
- 機器人馬拉鬆的勝負手:藏在主板角落裏的“時鍾戰爭”
技術白皮書下載更多>>
- 車規與基於V2X的車輛協同主動避撞技術展望
- 數字隔離助力新能源汽車安全隔離的新挑戰
- 汽車模塊拋負載的解決方案
- 車用連接器的安全創新應用
- Melexis Actuators Business Unit
- Position / Current Sensors - Triaxis Hall
熱門搜索
NFC
NFC芯片
NOR
ntc熱敏電阻
OGS
OLED
OLED麵板
OmniVision
Omron
OnSemi
PI
PLC
Premier Farnell
Recom
RF
RF/微波IC
RFID
rfid
RF連接器
RF模塊
RS
Rubycon
SATA連接器
SD連接器
SII
SIM卡連接器
SMT設備
SMU
SOC
SPANSION

