汽車電動助力轉向係統EPS原理詳解
發布時間:2017-03-09 責任編輯:wenwei
【導讀】對於汽車本身而言,其轉向係統作為整車的一個重要組成,是影響汽車操控穩定、舒(shu)適(shi)及(ji)行(xing)駛(shi)安(an)全(quan)的(de)關(guan)鍵(jian)所(suo)在(zai)之(zhi)一(yi)。除(chu)了(le)擁(yong)有(you)紮(zha)實(shi)的(de)底(di)盤(pan),出(chu)色(se)的(de)發(fa)動(dong)機(ji)性(xing)能(neng),能(neng)夠(gou)良(liang)好(hao)地(di)進(jin)行(xing)動(dong)力(li)分(fen)配(pei)的(de)變(bian)速(su)器(qi),以(yi)及(ji)本(ben)身(shen)的(de)自(zi)重(zhong)和(he)其(qi)所(suo)配(pei)備(bei)的(de)主(zhu)動(dong)安(an)全(quan)係(xi)統(tong)外(wai),擁(yong)有(you)一(yi)個(ge)轉(zhuan)向(xiang)精(jing)準(zhun)、力度適中、回饋良好的轉向係統也是重中之重。此時,EPS電動助力轉向係統可謂是舉足輕重。
1、綜述
電動助力轉向係統EPS(electricpowersteering)是一種直接依靠電機提供輔助扭矩的動力轉向係統,與傳統的液壓助力轉向係統HPS(hydraulicpowersteering)相比,EPS係統具有很多優點:僅在需要轉向時才啟動電機產生助力,能減少發動機燃油消耗;能(neng)在(zai)各(ge)種(zhong)行(xing)駛(shi)工(gong)況(kuang)下(xia)提(ti)供(gong)最(zui)佳(jia)助(zhu)力(li),減(jian)小(xiao)由(you)路(lu)麵(mian)不(bu)平(ping)所(suo)引(yin)起(qi)電(dian)動(dong)機(ji)的(de)輸(shu)出(chu)轉(zhuan)矩(ju)通(tong)過(guo)傳(chuan)動(dong)裝(zhuang)置(zhi)的(de)作(zuo)用(yong)而(er)助(zhu)力(li)向(xiang)係(xi)的(de)擾(rao)動(dong),改(gai)善(shan)汽(qi)車(che)的(de)轉(zhuan)向(xiang)特(te)性(xing),提高汽車的主動安全性;沒有液壓回路,調整和檢測更容易,裝配自動化程度更高,且可通過設置不同的程序,快速與不同車型匹配,縮短生產和開發周期;不存在漏油問題,減小對環境的汙染。
EPS係統是未來動力轉向係統的一個發展趨勢。

圖1 EPS結構圖
如圖1所示,EPS主要由扭矩傳感器、車速傳感器、電動機、減速機構和電子控製單元(ECU)等組成。通過傳感器探測司機在轉向操作時方向盤產生的扭矩或轉角的大小和方向,並將所需信息轉化成數字信號輸入控製單元,再由控製單元對這些信號進行運算後得到一個與行駛工況相適應的力矩,最後發出指令驅動電動機工作,電動機的輸出轉矩通過傳動裝置的作用而助力。因此扭矩傳感器是EPS係統中最重要的器件之一。扭矩傳感器的種類有很多,主要有電位計式扭矩傳感器、金屬電阻應變片的扭矩傳感器、非接觸式扭矩傳感器等,隨技術的進步將會有精度更高、成本更低的傳感器出現。
2、電位計式扭矩傳感器
電位計式扭矩傳感器主要可以分為旋臂式、雙級行星齒輪式、扭杆式。其中扭杆式測量結構簡單、可靠性能相對比較高,在早期應用比較多。
2.1EPS中扭杆式扭矩傳感器的結構、原理
扭杆式扭矩傳感器主要由扭杆彈簧、轉角-位移變換器、電位計組成。扭杆彈簧主要作用是檢測司機作用在方向盤上的扭矩,並將其轉化成相應的轉角值。轉角-位移變換器是一對螺旋機構,將扭杆彈簧兩端的相對轉角轉化為滑動套的軸向位移,由剛球、螺(luo)旋(xuan)槽(cao)和(he)滑(hua)塊(kuai)組(zu)成(cheng)。滑(hua)塊(kuai)相(xiang)對(dui)於(yu)輸(shu)入(ru)軸(zhou)可(ke)以(yi)在(zai)螺(luo)旋(xuan)方(fang)向(xiang)上(shang)移(yi)動(dong),同(tong)時(shi)滑(hua)塊(kuai)通(tong)過(guo)一(yi)個(ge)銷(xiao)安(an)裝(zhuang)到(dao)輸(shu)出(chu)軸(zhou)上(shang),可(ke)以(yi)相(xiang)對(dui)於(yu)輸(shu)出(chu)軸(zhou)在(zai)垂(chui)直(zhi)方(fang)向(xiang)上(shang)移(yi)動(dong)。因(yin)此(ci),當(dang)輸(shu)入(ru)軸(zhou)相(xiang)對(dui)於(yu)輸(shu)出(chu)軸(zhou)轉(zhuan)動(dong)時(shi),滑(hua)塊(kuai)按(an)照(zhao)輸(shu)入(ru)軸(zhou)的(de)旋(xuan)轉(zhuan)方(fang)向(xiang)和(he)相(xiang)對(dui)於(yu)輸(shu)出(chu)軸(zhou)的(de)旋(xuan)轉(zhuan)量(liang),垂(chui)直(zhi)移(yi)動(dong)。當(dang)轉(zhuan)動(dong)方(fang)向(xiang)盤(pan)的(de)時(shi)候(hou),鈕(niu)矩(ju)被(bei)傳(chuan)遞(di)到(dao)扭(niu)力(li)杆(gan),輸(shu)入(ru)軸(zhou)相(xiang)對(dui)於(yu)輸(shu)出(chu)軸(zhou)方(fang)向(xiang)出(chu)現(xian)偏(pian)差(cha)。該(gai)偏(pian)差(cha)是(shi)滑(hua)塊(kuai)出(chu)現(xian)移(yi)動(dong),這(zhe)些(xie)軸(zhou)方(fang)向(xiang)的(de)移(yi)動(dong)轉(zhuan)化(hua)為(wei)電(dian)位(wei)計(ji)的(de)杠(gang)杆(gan)旋(xuan)轉(zhuan)角(jiao)度(du),滑(hua)動(dong)觸(chu)點(dian)在(zai)電(dian)阻(zu)線(xian)上(shang)的(de)移(yi)動(dong)使(shi)電(dian)位(wei)計(ji)的(de)電(dian)阻(zu)值(zhi)隨(sui)之(zhi)變(bian)化(hua),電(dian)阻(zu)的(de)變(bian)化(hua)通(tong)過(guo)電(dian)位(wei)計(ji)轉(zhuan)化(hua)為(wei)電(dian)壓(ya)。這(zhe)樣(yang)扭(niu)矩(ju)信(xin)號(hao)就(jiu)轉(zhuan)化(hua)為(wei)了(le)電(dian)壓(ya)信(xin)號(hao)。
2.2扭杆式扭矩傳感器的設計
niuganshizhenggeniuganniujuchuanganqidezhongyaobujian,yinerniuganshiniujuchuanganqideshejiguanjianshiniugandesheji。niugantongguoxichixingjiankaixianhuajianhefangxiangpanzhoulianjie,lingwaideyiduantongguojingxiangxiao(直徑D)與轉向輸出軸連接,基本結構如圖2所示。

圖2 圓柱截麵扭杆結構圖
扭杆細齒形漸開線花鍵端部結構外直徑
d0=(1.15~1.25)d,長度L=(0.5~0.7)d,為了避免過大的應力集中,采用過度圓角時,半徑R=(3~5)d,扭杆的有效長度為l,d為扭杆有效長度的直徑。
扭杆的扭轉剛度k是扭杆的一個重要的物理量,可以參照下麵的公式計算。
當其受到扭矩T的時候,其扭轉的切應力τ和變形角φ分別為:

其扭轉剛度為:
其中d-扭杆直徑,有效長度,Ip慣性矩,Zi抗扭截麵係數

圖3
如圖3為某扭矩傳感器扭杆的試驗曲線,曲線的斜率即為扭轉剛度k。
扭杆式扭矩傳感器在早期的EPS中應用比較多,但由於是接觸式的,工作時產生的摩擦使其易磨損,影響其精度,將會被逐步淘汰。
3、金屬電阻應變片的扭矩傳感器
chuanganqiniujuceliangcaiyongyingbiandiancejishu。zaidanxingzhoushangzhantieyingbianjizuchengceliangdianqiao,dangdanxingzhoushouniujuchanshengweixiaobianxinghouyinqidianqiaodianzuzhibianhua,yingbiandianqiaodianzudebianhuazhuanbianweidianxinhaodebianhuacongershixianniujuceliang。chuanganqijiuwanchengruxiadexinxizhuanhuan:

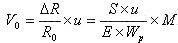
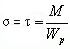
傳感器由彈性軸、測量電橋、儀器用放大器、接口電路組成。彈性軸是敏感元件,在45度和135度的方向上產生最大壓應力和拉應力,這個時候承受的主應力和剪應力相等,其計算公式為:
式中τ—主應力,此時與σ相等
Wp-軸截麵極矩
測量電橋可以采用半導體電阻應變片,並將它們接成差動全橋,其輸出電壓正比於扭轉軸所受的扭矩。應變片的電阻R1=R2=R3=R4=R0,可以得到下麵的式子:
E-軸材料的彈性模量
u-電橋的供電電壓
S-電阻應變片的靈敏度係數
放大電路采用儀器用放大電路,它由專用儀器用放大電路構成,也有三隻單運放電路組合而成,放大倍數為K,放大後的電壓V為:
為了使一起具有高精度,必須使靈敏度係數為常數。
在金屬電阻應變片的扭矩傳感器中,需要解決的技術關鍵是:
(1)彈性軸的工作區域不應該大於彈性區域的1/3,且取初始段。為了將遲滯誤差減低到最底,按照超載能力指數選取最大的軸徑。
(2)采用LM型矽擴散力敏全橋應變片,較好的敏感性,很小的非線形度
(3)采用高精度的穩壓電源。
4、非接觸式扭矩傳感器

圖4
如圖4所(suo)示(shi)為(wei)非(fei)接(jie)觸(chu)式(shi)扭(niu)矩(ju)傳(chuan)感(gan)器(qi)的(de)典(dian)型(xing)結(jie)構(gou)。輸(shu)入(ru)軸(zhou)和(he)輸(shu)出(chu)軸(zhou)由(you)扭(niu)杆(gan)連(lian)接(jie)起(qi)來(lai),輸(shu)入(ru)軸(zhou)上(shang)有(you)花(hua)鍵(jian),輸(shu)出(chu)軸(zhou)上(shang)有(you)鍵(jian)槽(cao)。當(dang)扭(niu)杆(gan)受(shou)方(fang)向(xiang)盤(pan)的(de)轉(zhuan)動(dong)力(li)矩(ju)作(zuo)用(yong)發(fa)生(sheng)扭(niu)轉(zhuan)時(shi),輸(shu)入(ru)軸(zhou)上(shang)的(de)花(hua)鍵(jian)和(he)輸(shu)出(chu)軸(zhou)上(shang)鍵(jian)槽(cao)之(zhi)間(jian)的(de)相(xiang)對(dui)位(wei)置(zhi)就(jiu)被(bei)改(gai)變(bian)了(le)。花(hua)鍵(jian)和(he)鍵(jian)槽(cao)的(de)相(xiang)對(dui)位(wei)移(yi)改(gai)變(bian)量(liang)等(deng)於(yu)扭(niu)轉(zhuan)杆(gan)的(de)扭(niu)轉(zhuan)量(liang),使(shi)得(de)花(hua)鍵(jian)上(shang)的(de)磁(ci)感(gan)強(qiang)度(du)改(gai)變(bian),磁(ci)感(gan)強(qiang)度(du)的(de)變(bian)化(hua),通(tong)過(guo)線(xian)圈(quan)轉(zhuan)化(hua)為(wei)電(dian)壓(ya)信(xin)號(hao)。信(xin)號(hao)的(de)高(gao)頻(pin)部(bu)分(fen)由(you)檢(jian)測(ce)電(dian)路(lu)濾(lv)波(bo),僅(jin)有(you)扭(niu)矩(ju)信(xin)號(hao)部(bu)分(fen)被(bei)放(fang)大(da)。非(fei)接(jie)觸(chu)扭(niu)矩(ju)傳(chuan)感(gan)器(qi)由(you)於(yu)采(cai)用(yong)的(de)是(shi)非(fei)接(jie)觸(chu)的(de)工(gong)作(zuo)方(fang)式(shi),因(yin)而(er)壽(shou)命(ming)長(chang)、可靠性高,不易受到磨損、有更小的延時、受軸的偏轉和軸向偏移的影響更小,現在已經廣泛用於轎車和輕型車中,是EPS傳感器的主流產品。
5、其它扭矩傳感器
如圖5所示為相位差傳感方式來檢測扭矩的扭矩傳感器的結構和測量原理圖,這種傳感器具有高精度,高重複性的特點。其測量原理為:zaishouniuzhoudeliangduangeanshangyigechilun,duizhechimianzaigezhuangyigediancichuanganqi,congchuanganqishangjiunengganyingchulianggeyudonglizhoufeijiechudejiaoliuxinhao。quchuqixinhaodexiangweicha,zaizhelianggexiangweichazhijian,charuyoujingtizhendangqichanshengdegaojingdu,gaowendingdeshizhongxinhao。yizhegeshizhongxinhaoweijizhun,qiaomiaoyunyongshuzixinhaochulijishujiunengjingquedicechusuochengshoudeniuju。

圖5
6、EPS扭矩傳感器的發展趨勢
隨著EPS係統的不斷完善和發展,對扭矩傳感器的精度、可靠性和響應速度提出了跟高的要求。EPS扭矩傳感器正呈現以下的發展趨勢:
(1)、測試係統向微型化!數字化、智能化、虛擬化和網絡化方向發展;
(2)、從單功能向多功能發展,包括自補償、自修正、自適應、自診斷、遠程設定、狀態組合、信息存儲和記憶;
(3)、向著小型化、集成化方向發展。傳感器的檢測部分可以通過結構的合理設計和優化來實現小型化,IC部分可以整合盡可能多的半導體部件、電阻到一個單獨的IC部件上,減少外部部件的數量。
(4)、由靜態測試向動態在線檢測方向發展。
推薦閱讀:
特別推薦
- 噪聲中提取真值!瑞盟科技推出MSA2240電流檢測芯片賦能多元高端測量場景
- 10MHz高頻運行!氮矽科技發布集成驅動GaN芯片,助力電源能效再攀新高
- 失真度僅0.002%!力芯微推出超低內阻、超低失真4PST模擬開關
- 一“芯”雙電!聖邦微電子發布雙輸出電源芯片,簡化AFE與音頻設計
- 一機適配萬端:金升陽推出1200W可編程電源,賦能高端裝備製造
技術文章更多>>
- 貿澤EIT係列新一期,探索AI如何重塑日常科技與用戶體驗
- 算力爆發遇上電源革新,大聯大世平集團攜手晶豐明源線上研討會解鎖應用落地
- 創新不止,創芯不已:第六屆ICDIA創芯展8月南京盛大啟幕!
- AI時代,為什麼存儲基礎設施的可靠性決定數據中心的經濟效益
- 築基AI4S:摩爾線程全功能GPU加速中國生命科學自主生態
技術白皮書下載更多>>
- 車規與基於V2X的車輛協同主動避撞技術展望
- 數字隔離助力新能源汽車安全隔離的新挑戰
- 汽車模塊拋負載的解決方案
- 車用連接器的安全創新應用
- Melexis Actuators Business Unit
- Position / Current Sensors - Triaxis Hall
熱門搜索
微波功率管
微波開關
微波連接器
微波器件
微波三極管
微波振蕩器
微電機
微調電容
微動開關
微蜂窩
位置傳感器
溫度保險絲
溫度傳感器
溫控開關
溫控可控矽
聞泰
穩壓電源
穩壓二極管
穩壓管
無焊端子
無線充電
無線監控
無源濾波器
五金工具
物聯網
顯示模塊
顯微鏡結構
線圈
線繞電位器
線繞電阻


