采用可編程模擬器件實現直流伺服電機的調速係統
發布時間:2014-12-27 責任編輯:echolady
【導讀】benwencaiyongkebianchengmoniqijianshixianmonitiaosuxitong,zhezhongsudukongzhijieyumonitiaosuheshuzitiaosuzhijian,tongguoruanjiantiaozhengxitongdianlucanshu,bingjianlixitongmoxingfangzhen。benwensuoshudefangfanenggouduiyuanyoudezhiliutiaosuqijinxinggaijin,shejichugengjiadexiaoguo。
直流伺服電機具有響應快、低速平穩性好、調速範圍寬等特點,因而常常用於實現精密調速和位置控製的隨動係統中,在工業、國防和民用等領域內得到廣泛應用,特別是在火炮穩定係統、艦載平台、雷達天線、機器人控製等場合。盡管交流伺服電機的發展相當迅速,但在這些領域內還難以取代直流伺服電機。
傳統的直流調速係統包含2個反饋環路,即速度環和電流環,采用測速機、電流傳感器(霍爾器件)及模擬電子線路實現速度的閉環控製。現代數字直流伺服控製則采用高速數字信號處理器(DSP),直接對速度和電流信號進行采樣,通過軟件實現數字比較、數字調節運算(數字濾波)、數字脈寬調製等各種功能,從而實現對速度的精確控製。二者相比,模擬調速係統結構簡單、成本低、可靠性高,但調試較複雜,因為其電路參數的修改往往需要硬件上的改動;而數字調速係統結構複雜、成本高,但是調速精度很高、調試過程也較容易,調速係統的性能可以由軟件進行控製。
模擬直流調速係統的組成和工作原理
模擬調速係統一般是由2個閉環構成的,既速度閉環和電流閉環,為使二者能夠相互協調、發揮作用,在係統中設置了2個調節器,分別調節轉速和電流。2個反饋閉環在結構上采用一環套一環的嵌套結構,這就是所謂的雙閉環調速係統,他具有動態響應快、抗幹擾能力強等優點,因而得到廣泛地應用。圖1是係統的結構框圖,其中ASR,ACR分別是速度和電流調節器,通常是由模擬運放構成PI或PID電路;信號調理主要是對反饋信號進行濾波、放大。考慮到直流電機的數學模型,模擬調速係統動態傳遞函數關係如圖2所示。



這樣:
即調節器的傳遞函數等於反饋網絡與輸入網絡複數阻抗之比。所以,改變Zf(S)和Zin(S),就可以獲得所需要的傳遞函數,以滿足係統動態校正的需要。圖3(b)所示的PI調節器,其動態結構如圖4所示。

在模擬調速係統的調試過程中,因電機的參數或負載的機械特性與理論值有較大差異,往往需要頻繁更換R,C等(deng)元(yuan)件(jian)來(lai)改(gai)變(bian)電(dian)路(lu)參(can)數(shu),以(yi)獲(huo)得(de)預(yu)期(qi)的(de)動(dong)態(tai)性(xing)能(neng)指(zhi)標(biao),這(zhe)樣(yang)做(zuo)起(qi)來(lai)非(fei)常(chang)麻(ma)煩(fan),如(ru)果(guo)采(cai)用(yong)可(ke)編(bian)程(cheng)模(mo)擬(ni)器(qi)件(jian)構(gou)成(cheng)調(tiao)節(jie)器(qi)電(dian)路(lu),係(xi)統(tong)參(can)數(shu)如(ru)增(zeng)益(yi)、帶寬甚至電路結構都可以通過軟件進行修改,調試起來就非常方便了。下麵以圖3所示PI調節器為例,說明如何應用可編程模擬器件-ispQAC10實現模擬調節器電路。
實現方法
ispPAC10簡介
ispPAC10是Lattice公司生產的一種在係統可編程模擬器件,采用非易失性E2CMOS工藝,其內部的模擬部件塊“PACblocks”無需外接電阻、電容等元件,便可代替傳統的模擬電路,如運算放大器、濾波器等;通過軟件編程,可實現電路的設計和修改,極大地縮短了開發、調試周期,具有很高的性能價格比。Lattice公司為開發ispPAC10而提供的集成軟件包PACDesigner功能強大、易學易用,可以在網上下載。ispPAC10內部包含4個模擬部件塊-內部結構如圖5所示。

圖5

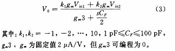
其傳遞函數關係如下:

這樣,式(3)還可以寫成如下形式:

通過式(4)、式(5)以及圖6(b),可以看出PACblock模塊具有比例、求和、積分、濾波等基本運算功能,而1片ispPAC10包含4個PACblock模塊,每個模塊都有2組差動輸入、1路差動輸出。
將這4部分適當地連接,便可形成較複雜的模擬電路。
ispPAC10實現調節器電路
以圖(3)所示具體電路為例,設R0=10 kΩ,C0=0.15μF,Rf=40 kΩ,Cf=0.5μF,其傳遞函數如圖7所示。



特別推薦
- 噪聲中提取真值!瑞盟科技推出MSA2240電流檢測芯片賦能多元高端測量場景
- 10MHz高頻運行!氮矽科技發布集成驅動GaN芯片,助力電源能效再攀新高
- 失真度僅0.002%!力芯微推出超低內阻、超低失真4PST模擬開關
- 一“芯”雙電!聖邦微電子發布雙輸出電源芯片,簡化AFE與音頻設計
- 一機適配萬端:金升陽推出1200W可編程電源,賦能高端裝備製造
技術文章更多>>
- 博世半導體亮相北京車展:以技術創新驅動智能出行
- 超低功耗微控製器模塊為工程師帶來新的機遇——第1部分:Eclipse項目設置
- 英偉達吳新宙北京車展解讀:以五層架構與開放生態,加速汽車駛向L4
- 三星上演罕見對峙:工會集會討薪,股東隔街抗議
- 摩爾線程實現DeepSeek-V4“Day-0”支持,國產GPU適配再提速
技術白皮書下載更多>>
- 車規與基於V2X的車輛協同主動避撞技術展望
- 數字隔離助力新能源汽車安全隔離的新挑戰
- 汽車模塊拋負載的解決方案
- 車用連接器的安全創新應用
- Melexis Actuators Business Unit
- Position / Current Sensors - Triaxis Hall
熱門搜索
鑒頻器
江蘇商絡
交流電機
腳踏開關
接觸器接線
接近開關
接口IC
介質電容
介質諧振器
金屬膜電阻
晶體濾波器
晶體諧振器
晶體振蕩器
晶閘管
精密電阻
精密工具
景佑能源
聚合物電容
君耀電子
開發工具
開關
開關電源
開關電源電路
開關二極管
開關三極管
科通
可變電容
可調電感
可控矽
空心線圈

