模擬正交調製器失衡的數字校正
發布時間:2013-02-21 責任編輯:abbywang
【導讀】寬帶寬無線發射器常用模擬正交調製器(AQM)把複合(I + j*Q)基帶信號轉換為射頻。AQM內含一個本機振蕩器(LO)輸入、一個生成兩個LO 90度異相的分相器、兩個混頻器(每個混頻器將基帶信號混頻為射頻)以及一個組合兩個信號的加法器。

圖1:模擬正交調製器係統結構圖
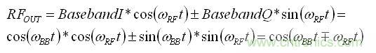
就一個完美匹配I和Q通路的理想AQM而言,基帶信號的BB頻率複頻為:

根據基帶Q的不同符號,得到BB - RF或者BB + RF RF輸出的單頻

但是,實際狀況不見得理想,有三種可能出現的誤差:
基帶DC偏差
I和Q分支之間的增益錯配
LO相位誤差
圖2數學方法表示。

圖2 :有偏差、增益及相位誤差的AQM的數學表示
DC 偏移會與 LO 混頻,產生 LO 饋通,即LO的頻率。I和Q分支的DC偏移加入正交,形成以下的LO饋通振幅:

[page]
通過在基帶信號中添加一個反向偏差,可對LO饋通進行校正。許多雙高速DAC或集成發射器解決方案,例如:TI的AFE7071等,都包括生成校正用基帶偏差的數字電路。找到I和Q基帶信號最佳DC偏差值的一種簡單方法是,監測LO饋通振幅,並反複地改變首個I DC偏差,然後再改變Q DC偏差,最終找到最小LO饋通(圖3)。在pass 1期間,Q DC偏差保持不變,而對I DC偏差進行掃描,直到找到最小LO饋通為止。在pass 2期間,I DC偏差值維持在最低限度,而對Q DC偏差進行掃描,直到找到最小LO饋通為止。在理想情況下,每個I和Q僅需要一個pass,但首批2個pass期間LO饋通最小值所產生的測量誤差,通常亦意味需要3個或者4個pass。

圖3:本機振蕩器饋通校正過程
增益和相位誤差會導致無用混頻器抵銷不完全的結果—剩餘量稱作邊帶抑製(SBS)。上下邊帶振幅以基帶Q輸入的增益誤差G和I分支混頻器LO的相位誤差(弧度)作為開始,其為:

在這種情況下,低邊帶主導,而邊帶抑製為一個比率:

或者也可以用dBc表示:

圖4顯示dBc和相位及振幅誤差表示邊帶抑製的比較情況。

圖4:邊帶抑製(dBc)對比相位及振幅誤差
使用上述類似方法求解LO饋通時,通過改變基帶信號的增益和相位來抵消AQM的增益和相位誤差,可以校正邊帶抑製(SBS)。如TI的DAC34SH84等高速插值數模轉換器(DAC),包含了一些生成DC偏差、基帶信號增益和相位變化的數字電路,從而可以輕鬆修正AQM的缺陷。
盡管LO饋通和SBS均可在任何狀態下獲得完美的校正,但最佳校正值會隨電源電壓、溫度、RF和基帶頻率、LO功率等而變化。通常,僅在製造期間進行一次校正,之後,在係統起動時,再對這些值進行存儲和編程。在一次性校正以後,LO饋通和SBS的溫度、電壓和LO功率差異通常會在AQM數據表曲線圖中標明(參見TI TRF3705數據表圖33-44)。LO饋通和SBS通常會好於–50 dBc(比未校正值好10-15 dB)。
- 噪聲中提取真值!瑞盟科技推出MSA2240電流檢測芯片賦能多元高端測量場景
- 10MHz高頻運行!氮矽科技發布集成驅動GaN芯片,助力電源能效再攀新高
- 失真度僅0.002%!力芯微推出超低內阻、超低失真4PST模擬開關
- 一“芯”雙電!聖邦微電子發布雙輸出電源芯片,簡化AFE與音頻設計
- 一機適配萬端:金升陽推出1200W可編程電源,賦能高端裝備製造
- 邊緣AI的發展為更智能、更可持續的技術鋪平道路
- 每台智能體PC,都是AI時代的新入口
- IAR作為Qt Group獨立BU攜兩項重磅汽車電子應用開發方案首秀北京車展
- 構建具有網絡彈性的嵌入式係統:來自行業領袖的洞見
- 數字化的線性穩壓器
- 車規與基於V2X的車輛協同主動避撞技術展望
- 數字隔離助力新能源汽車安全隔離的新挑戰
- 汽車模塊拋負載的解決方案
- 車用連接器的安全創新應用
- Melexis Actuators Business Unit
- Position / Current Sensors - Triaxis Hall




