高壓變頻器的散熱與通風設計
發布時間:2012-02-21
中心議題:
- 高壓變頻器功率器件的散熱設計
- 高壓變頻器功率單元的散熱冷卻設計
- 高壓變頻器整機的散熱與通風設計
1 引言
在電力、化工、煤礦、冶(ye)金(jin)等(deng)工(gong)業(ye)生(sheng)產(chan)領(ling)域(yu)要(yao)求(qiu)高(gao)壓(ya)變(bian)頻(pin)器(qi)有(you)極(ji)高(gao)的(de)可(ke)靠(kao)性(xing)。影(ying)響(xiang)高(gao)壓(ya)變(bian)頻(pin)器(qi)的(de)可(ke)靠(kao)性(xing)指(zhi)標(biao)有(you)多(duo)項(xiang),其(qi)中(zhong)在(zai)設(she)計(ji)過(guo)程(cheng)中(zhong)其(qi)散(san)熱(re)與(yu)通(tong)風(feng)是(shi)一(yi)個(ge)至(zhi)關(guan)重(zhong)要(yao)的(de)環(huan)節(jie)。目(mu)前(qian)高(gao)壓(ya)變(bian)頻(pin)器(qi)有(you)高(gao)-低-高式、元件直接串聯式、中點箝位多電平式、單元級聯式等多種方式,一般來講,上述各種方式的高壓變頻器,其效率一般可達95~97%;但由於設備功率大,一般為mw級(ji),在(zai)正(zheng)常(chang)工(gong)作(zuo)時(shi),仍(reng)要(yao)產(chan)生(sheng)大(da)量(liang)的(de)熱(re)量(liang)。為(wei)保(bao)證(zheng)設(she)備(bei)的(de)正(zheng)常(chang)工(gong)作(zuo),把(ba)大(da)量(liang)的(de)熱(re)量(liang)散(san)發(fa)出(chu)去(qu),優(you)化(hua)散(san)熱(re)與(yu)通(tong)風(feng)方(fang)案(an),進(jin)行(xing)合(he)理(li)的(de)設(she)計(ji)與(yu)計(ji)算(suan),實(shi)現(xian)設(she)備(bei)的(de)高(gao)效(xiao)散(san)熱(re),對(dui)於(yu)提(ti)高(gao)設(she)備(bei)的(de)可(ke)靠(kao)性(xing)是(shi)十(shi)分(fen)必(bi)要(yao)的(de)。
高壓變頻器在正常工作時,熱量來源主要是隔離變壓器、電抗器、功率單元、控製係統等,其中作為主電路電子開關的功率器件的散熱、功率單元的散熱設計、及功率櫃的散熱與通風設計最為重要。
2 功率器件的散熱設計
通常對igbt或igct模塊來說,其pn結不得超過125℃,封裝外殼為85℃。有研究表明,元器件溫度波動超過±20℃,其失效率會增大8倍。功率器件散熱設計關乎整個設備的運行安全。
2.1 在進行功率器件散熱設計時應注意的事項
(1)選用耐熱性和熱穩定性好的元器件和材料,以提高其允許的工作溫度;
(2)減小設備(器件)內部的發熱量。為此,應多選用微功耗器件,如低耗損型igbt,並在電路設計中盡量減少發熱元器件的數量,同時要優化器件的開關頻率以減少發熱量;
(3)采用適當的散熱方式與用適當的冷卻方法,降低環境溫度,加快散熱速度。
以目前最常見的單元級聯式高壓變頻器為例,對其中一個功率單元為例進行熱設計。功率器件采用igbt,其電路如圖1所示。

圖1 功率單元電路圖
2.2 損耗功率的估算
在設備穩態運行時,功率單元內整流二極管、igbt、續流二極管總的功率損耗即為散熱器的耗散功率。因此熱設計的第一步就是對上述器件的總功耗進行估算。
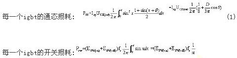
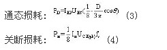
(1)igbt的功率損耗一般包括通態損耗、斷態損耗、開通損耗、關斷損耗和驅動損耗,在估算時主要考慮通態損耗、開通損耗與關斷損耗;

(2)對續流二極管來講,主要估算它的通態損耗與關斷損耗;

(3)整流二極管在低頻情況下的損耗功率
主要為通態損耗,確定其通態功耗的簡便方法是從製造廠給出的通態損耗功率與通態平均電流關係曲線直接查出。
上述功率單元總的功耗為:p=(pss+psw)×4+pd×6 (5)
[page]
2.3 穩態下的結溫計算
結溫的計算是建立在如圖2所示的簡化熱阻等效電路的基礎上的。上述功率單元的簡化熱阻等效電路如圖2所示。

圖2 igbt的熱阻等效電路圖
圖2中:rθ(j-c)是器件結到管殼基準點穩態熱阻,由製造廠家提供,一般在數據表中給出上限值或給出瞬態熱阻曲線取t→∞的穩態值;rθ(c-a)是管殼未通過散熱器直接到空氣的熱阻,通常不考慮;rθ(c-s)是管殼到散熱器的觸熱阻,通常由製造廠家在數據表中給出;rθ(c-a)是散熱器基準點到環境基準點的熱阻,其值由散熱器形式、尺寸和冷卻方式決定;ta是環境溫度。
(1)靜態熱阻
![]()
(2) 瞬態熱阻
由(you)於(yu)電(dian)力(li)電(dian)子(zi)器(qi)件(jian)工(gong)作(zuo)在(zai)周(zhou)期(qi)性(xing)的(de)開(kai)關(guan)狀(zhuang)態(tai),就(jiu)需(xu)考(kao)慮(lv)其(qi)瞬(shun)態(tai)熱(re)阻(zu)所(suo)造(zao)成(cheng)的(de)結(jie)溫(wen)波(bo)動(dong)是(shi)否(fou)超(chao)過(guo)最(zui)大(da)結(jie)溫(wen)。瞬(shun)態(tai)熱(re)阻(zu)反(fan)映(ying)散(san)熱(re)途(tu)徑(jing)中(zhong)熱(re)載(zai)體(ti)的(de)熱(re)阻(zu)和(he)熱(re)容(rong)量(liang)的(de)綜(zong)合(he)效(xiao)果(guo)。瞬(shun)態(tai)熱(re)阻(zu)抗(kang)可(ke)由(you)下(xia)式(shi)求(qiu)得(de):
![]()
通常處於周期性脈衝功耗負載下的平均和最大結溫可以參考廠家所給出的瞬態熱阻曲線來計算。如圖3示出了eupc型號為bsm400ga120dlc的igbt模塊瞬態熱阻曲線zthjc=f(t)。

圖3 igbt模塊瞬態熱阻曲線
(3) 穩態下的結溫計算
通過上述方法分析得到整個功率單元所有的功率損耗,然後按照下式計算電力電子器件的結溫或計算散熱器的熱阻。
![]()
同時在計算熱阻時,應考慮到損耗功率的波動與負載的波動;即在考慮結溫的平均值的同時,應考慮到其波動的幅度。通常情況下,需保證在給定條件下所出現的最高結溫不大於其最大定額150℃,計算穩態結溫時考慮留出5℃的裕度。
[page]
3 功率單元的散熱冷卻設計
功率單元中的元器件主要包括整流二極管、igbt(或igct)模塊、電容、快速熔斷器、母線開關器件驅動電路以及其它一些保護電路。除二極管整流模塊與igbt模塊(igct)外(wai),其(qi)餘(yu)元(yuan)器(qi)件(jian)由(you)於(yu)在(zai)功(gong)率(lv)單(dan)元(yuan)中(zhong)通(tong)過(guo)支(zhi)架(jia)等(deng)方(fang)式(shi)安(an)裝(zhuang),在(zai)保(bao)證(zheng)足(zu)夠(gou)的(de)空(kong)間(jian)距(ju)離(li)與(yu)必(bi)要(yao)輕(qing)微(wei)空(kong)氣(qi)的(de)對(dui)流(liu)的(de)條(tiao)件(jian),已(yi)滿(man)足(zu)其(qi)散(san)熱(re)要(yao)求(qiu)。因(yin)此(ci)功(gong)率(lv)單(dan)元(yuan)的(de)冷(leng)卻(que)設(she)計(ji)主(zhu)要(yao)考(kao)慮(lv)二(er)極(ji)管(guan)整(zheng)流(liu)模(mo)塊(kuai)與(yu)igbt模塊(igct)的散熱要求。
功率器件的耗散功率所產生的溫升需由散熱器來降低,通過散熱器增加功率器件的導熱和輻射麵積、擴張熱流以及緩衝導熱過渡過程,直接傳導或借助於導熱介質將熱量傳遞到冷卻介質中,如空氣、水或水的混合液等。目前在高壓變頻器中常用到的冷卻方式為強製空氣冷卻、循環水冷卻、熱管散熱器冷卻。
3.1 強製空氣冷卻
強製空氣冷卻用的散熱器通常是一塊帶有很多葉片的良導熱體,散熱器熱阻(r(s-a))估算公式:

式(9)中:k為散熱器熱導率;d和a分別是散熱器的厚度和麵積,分別以cm和cm2表示;c是一個與散熱器表麵和安裝角度有關的修正因子。此式在空氣溫度不超過45℃時成立。
值得注意的是,散熱器的製造工藝會影響到其導熱係數,如鑄造鋁合金、擠壓成型或釺焊散熱器應區分考慮。同時在選配散熱器時應考慮:散熱器根部厚度應滿足熱的傳導;翼片的數目與波紋在保證最大散熱麵積的前提下不至於產生太大的流體阻力;翼片的高度與厚度之間的比例要合理。如要保證散熱有較大的裕量,增大散熱器的長度是一個較好的選擇。
3.2 循環水冷卻
gaoyabianpinqicaiyongxunhuanshuilengquefangshikeyidadatigaosanrexiaolv,shidedanweigonglvdetijixiao,kejidadejianxiaozhengjidechicun。yuqiangzhikongqilengquexiangbi,sanreqibiaomianyuliutidewenchabijiaoxiao,yifangmiankeyitigaogonglv,lingyifangmiankeyijiangdixinpiandewendu,tigaoqishouming。dancaiyongxunhuanshuilengquefangshixuyaoyoushuixunhuanyuchulishebei,zengjialeshebeidefuzachengdu。caiyonggaifangshishi,yingzhuyiweifangzhichunshuihuiyinqishengxiuyujiedong,yibancaiyongshuiyuchunhunhe。hunhebilihuiyingxiangdaolengqueyederezu,danghunhebiliwei50%時,其熱阻一般增大50%。正常情況下應保證水的流速不小於8升/分。
在(zai)高(gao)溫(wen)濕(shi)熱(re)的(de)環(huan)境(jing)中(zhong),由(you)於(yu)空(kong)氣(qi)中(zhong)的(de)相(xiang)對(dui)濕(shi)度(du)比(bi)較(jiao)高(gao),當(dang)冷(leng)卻(que)表(biao)麵(mian)的(de)溫(wen)度(du)低(di)於(yu)露(lu)點(dian)時(shi),水(shui)冷(leng)散(san)熱(re)器(qi)會(hui)引(yin)起(qi)凝(ning)露(lu)現(xian)象(xiang),由(you)此(ci)可(ke)能(neng)造(zao)成(cheng)器(qi)件(jian)的(de)絕(jue)緣(yuan)破(po)壞(huai)。因(yin)此(ci)水(shui)冷(leng)式(shi)高(gao)壓(ya)變(bian)頻(pin)器(qi)對(dui)環(huan)境(jing)要(yao)求(qiu)要(yao)高(gao)一(yi)些(xie)。通(tong)常(chang)水(shui)的(de)凝(ning)固(gu)點(dian)為(wei)0℃,根據標準要求,額定溫差為5℃,因此工作溫度不應低於5℃;同時相對濕度≤90%(25℃),相對濕度變化率應≤5%/h。
3.3 熱管散熱器
熱(re)管(guan)散(san)熱(re)器(qi)是(shi)采(cai)用(yong)水(shui)或(huo)其(qi)它(ta)傳(chuan)熱(re)流(liu)體(ti)為(wei)冷(leng)卻(que)介(jie)質(zhi),密(mi)封(feng)在(zai)具(ju)有(you)毛(mao)細(xi)結(jie)構(gou)的(de)銅(tong)管(guan)內(nei)的(de)沸(fei)騰(teng)散(san)熱(re)器(qi)。功(gong)率(lv)器(qi)件(jian)產(chan)生(sheng)的(de)熱(re)量(liang)通(tong)過(guo)散(san)熱(re)器(qi)傳(chuan)導(dao)給(gei)流(liu)體(ti),流(liu)體(ti)汽(qi)化(hua)後(hou)擴(kuo)散(san)至(zhi)整(zheng)個(ge)銅(tong)管(guan),以(yi)散(san)熱(re)片(pian)散(san)熱(re)冷(leng)卻(que)成(cheng)水(shui)後(hou)回(hui)流(liu)到(dao)吸(xi)熱(re)麵(mian)。熱(re)管(guan)散(san)熱(re)器(qi)具(ju)有(you)傳(chuan)熱(re)能(neng)力(li)強(qiang)、均溫能力優良、熱密度可變、無外加設備、工作可靠、結構簡單,重量輕、不用維護等優點,一般適用於大功率、分立元件的場合;在一些特殊的生產工況如粉塵比較多的地方(煤礦、焦化廠、部分化工廠)可以采用熱管散熱器,因為可以做到整個功率變換部分的密閉性。
國內的電力電子變換器行業多年前已采用熱管散熱器。如df4型電傳動內燃機車的電力整流櫃改用熱管替換原有的純鋁散熱器;上海威特力焊接設備製造有限公司在400a以上的逆變焊機中每台都用熱管散熱器為igbt和二極管散熱。但目前還未見到采用熱管散熱的高壓變頻器。考慮到上述幾種散熱方式,熱管散熱應是首選的考慮。
3.4 其它注意事項
高壓變頻器無論采用何種冷卻方式,器件在散熱器上安裝時應注意其安裝位置。器件在散熱器上的布局應注意以下幾點:
(1)散熱器的中心位置熱阻最小;
(2)在zai同tong一yi個ge散san熱re器qi上shang安an裝zhuang多duo個ge功gong率lv器qi件jian時shi,在zai考kao慮lv各ge個ge器qi件jian發fa生sheng的de損sun耗hao情qing況kuang的de基ji礎chu上shang,決jue定ding安an裝zhuang的de位wei置zhi,對dui產chan生sheng大da損sun耗hao的de器qi件jian應ying給gei予yu最zui大da的de麵mian積ji;
(3)安裝模塊的散熱器表麵,應注意螺釘位置間的平麵度控製在100以內,表麵粗糙度控製在10以下,表麵如有凹陷會直接導致接觸熱阻的增加;
(4)為(wei)使(shi)接(jie)觸(chu)熱(re)阻(zu)變(bian)小(xiao),在(zai)散(san)熱(re)器(qi)與(yu)功(gong)率(lv)元(yuan)件(jian)的(de)安(an)裝(zhuang)麵(mian)之(zhi)間(jian)應(ying)均(jun)勻(yun)塗(tu)敷(fu)散(san)熱(re)絕(jue)緣(yuan)混(hun)合(he)劑(ji),並(bing)施(shi)加(jia)合(he)適(shi)的(de)緊(jin)固(gu)力(li)矩(ju),使(shi)器(qi)件(jian)外(wai)殼(ke)對(dui)散(san)熱(re)器(qi)的(de)接(jie)觸(chu)熱(re)阻(zu)不(bu)超(chao)過(guo)數(shu)據(ju)手(shou)冊(ce)要(yao)求(qiu)的(de)值(zhi)。
4 整機的散熱與通風設計
高壓變頻器常風的冷卻方式主要為散熱器強製風冷、循(xun)環(huan)水(shui)冷(leng)卻(que)和(he)熱(re)管(guan)冷(leng)卻(que)等(deng)。因(yin)強(qiang)製(zhi)風(feng)冷(leng)方(fang)式(shi)簡(jian)單(dan),不(bu)存(cun)在(zai)水(shui)冷(leng)時(shi)的(de)凝(ning)露(lu)問(wen)題(ti),以(yi)及(ji)熱(re)管(guan)散(san)熱(re)器(qi)設(she)計(ji)的(de)複(fu)雜(za)性(xing),在(zai)確(que)定(ding)合(he)適(shi)的(de)通(tong)風(feng)結(jie)構(gou)的(de)情(qing)況(kuang)下(xia),一(yi)般(ban)采(cai)用(yong)此(ci)種(zhong)方(fang)式(shi)。采(cai)用(yong)強(qiang)製(zhi)風(feng)冷(leng)方(fang)式(shi)需(xu)要(yao)在(zai)結(jie)構(gou)設(she)計(ji)時(shi)考(kao)慮(lv)散(san)熱(re)風(feng)道(dao)。散(san)熱(re)風(feng)道(dao)的(de)設(she)計(ji)應(ying)在(zai)充(chong)分(fen)考(kao)慮(lv)單(dan)元(yuan)散(san)熱(re)的(de)要(yao)求(qiu)下(xia),應(ying)盡(jin)量(liang)優(you)化(hua)。常(chang)見(jian)的(de)多(duo)電(dian)平(ping)串(chuan)聯(lian)方(fang)式(shi)的(de)高(gao)壓(ya)變(bian)頻(pin)器(qi),從(cong)結(jie)構(gou)上(shang)分(fen)為(wei)功(gong)率(lv)櫃(gui)體(ti)、變壓器櫃、控製櫃。功率櫃風道設計通常有兩種方式:串聯風道和並聯風道。
4.1 串聯風道
串(chuan)聯(lian)風(feng)道(dao)是(shi)由(you)每(mei)個(ge)功(gong)率(lv)的(de)散(san)熱(re)器(qi)上(shang)下(xia)相(xiang)對(dui),形(xing)成(cheng)上(shang)下(xia)對(dui)應(ying)的(de)風(feng)道(dao),其(qi)特(te)點(dian)由(you)上(shang)下(xia)多(duo)個(ge)功(gong)率(lv)單(dan)元(yuan)形(xing)成(cheng)串(chuan)聯(lian)的(de)通(tong)路(lu),結(jie)構(gou)簡(jian)單(dan),風(feng)道(dao)垂(chui)直(zhi)使(shi)得(de)風(feng)阻(zu)小(xiao);但由於空氣從下到上存在依次加熱的問題,造成上麵的功率單元環境溫差小,散熱效果差。其結構如圖4所示。

圖4 功率櫃風道結構圖
[page]
4.2 並聯風道
並bing聯lian風feng道dao中zhong從cong每mei個ge功gong率lv單dan元yuan的de前qian麵mian進jin風feng,對dui應ying的de進jin風feng口kou並bing聯lian排pai列lie,在zai後hou麵mian的de風feng倉cang中zhong彙hui總zong後hou由you風feng機ji抽chou出chu,同tong時shi整zheng個ge功gong率lv櫃gui一yi般ban采cai用yong冗rong餘yu的de方fang法fa,有you多duo個ge風feng機ji並bing聯lian運yun行xing,整zheng體ti散san熱re效xiao果guo好hao,並bing提ti高gao了le設she備bei的de可ke靠kao性xing。但dan櫃gui體ti後hou麵mian要yao形xing成cheng風feng倉cang,增zeng大da了le設she備bei的de體ti積ji,同tong時shi由you於yu各ge個ge功gong率lv單dan元yuan後hou端duan到dao風feng機ji的de距ju離li不bu同tong,使shi得de每mei個ge功gong率lv單dan元yuan的de風feng流liu量liang不bu一yi致zhi,在zai設she計ji時shi應ying加jia以yi考kao慮lv。
4.3 散熱風機的選擇
整(zheng)個(ge)功(gong)率(lv)部(bu)分(fen)采(cai)用(yong)強(qiang)製(zhi)風(feng)冷(leng)的(de)方(fang)式(shi),需(xu)保(bao)證(zheng)有(you)足(zu)夠(gou)的(de)具(ju)有(you)環(huan)境(jing)溫(wen)度(du)的(de)空(kong)氣(qi)源(yuan)源(yuan)不(bu)斷(duan)地(di)流(liu)經(jing)散(san)熱(re)器(qi)的(de)表(biao)麵(mian),使(shi)散(san)熱(re)係(xi)統(tong)達(da)到(dao)某(mou)種(zhong)溫(wen)度(du)值(zhi)的(de)熱(re)平(ping)衡(heng)。在(zai)穩(wen)定(ding)的(de)平(ping)衡(heng)狀(zhuang)態(tai)下(xia),根(gen)據(ju)公(gong)式(shi):p=h×a×△t,在已確定係統耗散功率p、散熱器有效表麵積a與散熱器表麵溫度與環境溫度差值△t的前提下,吸熱介質的對流換熱係數h可以求出。美國、日本規定風機噪音不得大於65db,所以他們規定的風速為2~4m/s。因此在考慮風機選擇時,應保證電力半導體器件風冷散熱器3~6m/s的風速,一般即可保證h能達到要求。
5 結束語
目前高壓變頻器多采用強製風冷方式,但由於水冷方式和熱管散熱有體積小、效率高、meiyouwurandengyoudian,yinggengxinshejilinian,dalituiguang。zongzhi,kaifahexuanzexinxinggaoxiaosanrejishuduigaoyabianpinqijinxinglengque,shitigaoshebeikekaoxinghesuoxiaoshebeitijideyigezhongyaocuoshi。
- 噪聲中提取真值!瑞盟科技推出MSA2240電流檢測芯片賦能多元高端測量場景
- 10MHz高頻運行!氮矽科技發布集成驅動GaN芯片,助力電源能效再攀新高
- 失真度僅0.002%!力芯微推出超低內阻、超低失真4PST模擬開關
- 一“芯”雙電!聖邦微電子發布雙輸出電源芯片,簡化AFE與音頻設計
- 一機適配萬端:金升陽推出1200W可編程電源,賦能高端裝備製造
- 一秒檢測,成本降至萬分之一,光引科技把幾十萬的台式光譜儀“搬”到了手腕上
- AI服務器電源機櫃Power Rack HVDC MW級測試方案
- 突破工藝邊界,奎芯科技LPDDR5X IP矽驗證通過,速率達9600Mbps
- 通過直接、準確、自動測量超低範圍的氯殘留來推動反滲透膜保護
- 從技術研發到規模量產:恩智浦第三代成像雷達平台,賦能下一代自動駕駛!
- 車規與基於V2X的車輛協同主動避撞技術展望
- 數字隔離助力新能源汽車安全隔離的新挑戰
- 汽車模塊拋負載的解決方案
- 車用連接器的安全創新應用
- Melexis Actuators Business Unit
- Position / Current Sensors - Triaxis Hall




