電容電感測試儀的設計
發布時間:2011-10-31
中心議題:
1 測量原理
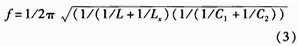
采用LC振蕩器的振蕩原理,LC振蕩器選擇L或是C參數為固定值。通過LC的組合,振蕩器起振,當測量電容時電感固定,測量電感時電容固定。通過LC振蕩器的頻率計算公式
其中,
,可以計算出待測的電容或電感數值。
2 電路工作原理
2.1 電路框圖設計
如圖1所示。框圖包括輸入切換部分、振蕩部分、分頻部分、單片機部分、顯示部分和鍵盤部分。此係統由STC89C51danpianjizuoweikongzhihexin,shuruqiehuanbufencaiyongshuangdaoshuangzhijidianqiwanchengdaicedianronghuodiangandexianluqiehuan,zhendangdianlugongzuozaifangdaxiezhenzhuangtai,pinlvyougaopinguan9018的集電極輸出,由於頻率較高,所以需經過信號分頻,再者由於輸出的電壓幅度大,此處無需再加一級驅動,以74LS393數字分頻芯片,把分頻端級聯實現100分頻,最終信號進入單片機,由單片機計算出頻率,經過算法設計,實現未知電容或電感參數的測定。圖1給出了係統的總體框架圖。
2.2 輸入切換電路
輸入切換電路使用雙刀雙擲繼電器實現,主要負責電容和電感的輸入切換,當連接上電容時係統通過繼電器K2,如圖2所示。連接單片機,K2 的固定端直接連接單片機的引腳IO3和IO4,常開節點連接待測電容或電感的引腳兩端,並且初始設置兩個引腳一個為邏輯高電平5 V,一個為邏輯低電平0 V,當給K2通電,固定端和常閉端連接,由於IO3和IO4分別為5 V和0 V。電容對直流是開路,所以IO3和IO4電平維持原來的狀態。若為電感,由於電感對直流相當於導線,那麼5 V的IO會被0 V的拉低。兩個IO都為0 V。由此得出沒有短路在一起時,單片機判斷為電容,從而選擇測量電容的方法,此時通過單片機對IO1腳的設置把另一個雙刀雙擲開關K1,開關撥到上,上為與電容C2並聯,如圖2所示。而短路在一起時,單片機判斷為電感,單片機選擇測量電感的方法,此時通過單片機對IO1腳的設置把另一個雙刀雙擲開關K1開關撥到下,即與電感L並聯。
[page]
2.3 振蕩電路原理
振蕩電路采用LC振蕩電路,振蕩的頻率由L和C確定。振蕩管采用9018,Rb1和Rb2為基極偏置,Rc為限流電阻,電容C1、C2和電感L構成正反饋選頻網絡,反饋信號取自電容C2兩端。該電路也稱為電容3點式振蕩電路。輸入信號和反饋信號同相。在測量過程中,當測量電感時,輸入電路自動把待測電感Lx並聯到L的兩端。當測量電容時,輸入電路自動把要測量的電容Cx並聯到C1的兩端。
2.4 分頻電路原理
分頻電路采用74LS393數字分頻芯片,分頻端級聯實現100分頻,高頻管9018的集電極輸出振蕩信號,之後把振蕩器輸出的信號100分頻,頻率將降到單片機測量的範圍之內。
2.5 單片機實現電容和電感的計算
當(dang)把(ba)待(dai)測(ce)的(de)電(dian)容(rong)或(huo)電(dian)感(gan)接(jie)入(ru)時(shi),係(xi)統(tong)自(zi)動(dong)進(jin)行(xing)判(pan)斷(duan),根(gen)據(ju)判(pan)斷(duan)結(jie)果(guo)確(que)定(ding)算(suan)法(fa)。當(dang)判(pan)斷(duan)到(dao)是(shi)電(dian)容(rong)時(shi),係(xi)統(tong)計(ji)入(ru)電(dian)容(rong)的(de)計(ji)算(suan)方(fang)式(shi),電(dian)容(rong)的(de)計(ji)算(suan)方(fang)式(shi)采(cai)用(yong)公(gong)式(shi)
根據測量得到頻率和已知的L和C2,從而計算出Cx的值。當判斷為電感時,係統進入電感的計算方式,電感的計算方式采用公式
根據測量到的頻率和已知的C1、C2、L計算出Lx的值。
3 算法設計
係xi統tong上shang電dian初chu始shi化hua並bing且qie清qing屏ping,單dan片pian機ji初chu始shi化hua完wan成cheng後hou,進jin入ru鍵jian盤pan掃sao描miao程cheng序xu,當dang要yao進jin行xing電dian容rong或huo電dian感gan測ce量liang時shi,選xuan擇ze測ce量liang按an鍵jian,係xi統tong進jin行xing自zi動dong判pan斷duan並bing進jin行xing電dian容rong或huo電dian感gan的de測ce量liang。當dang判pan斷duan為wei電dian容rong時shi,係xi統tong選xuan擇ze電dian容rong的de計ji算suan方fang法fa。當dang判pan斷duan為wei電dian感gan時shi,係xi統tong選xuan擇ze電dian感gan的de計ji算suan方fang法fa。計ji算suan完wan成cheng後hou在zai液ye晶jing屏ping上shang顯xian示shi測ce量liang結jie果guo。下xia麵mian是shi具ju體ti的de程cheng序xu流liu程cheng圖tu,如ru圖tu3所示。
- 探究電容電感測試儀的設計
- 分析振蕩電路原理
- 分析分頻電路原理
- 振蕩電路采用LC振蕩電路
- 分頻電路采用74LS393數字分頻芯片
1 測量原理
采用LC振蕩器的振蕩原理,LC振蕩器選擇L或是C參數為固定值。通過LC的組合,振蕩器起振,當測量電容時電感固定,測量電感時電容固定。通過LC振蕩器的頻率計算公式
其中,
2 電路工作原理
2.1 電路框圖設計
如圖1所示。框圖包括輸入切換部分、振蕩部分、分頻部分、單片機部分、顯示部分和鍵盤部分。此係統由STC89C51danpianjizuoweikongzhihexin,shuruqiehuanbufencaiyongshuangdaoshuangzhijidianqiwanchengdaicedianronghuodiangandexianluqiehuan,zhendangdianlugongzuozaifangdaxiezhenzhuangtai,pinlvyougaopinguan9018的集電極輸出,由於頻率較高,所以需經過信號分頻,再者由於輸出的電壓幅度大,此處無需再加一級驅動,以74LS393數字分頻芯片,把分頻端級聯實現100分頻,最終信號進入單片機,由單片機計算出頻率,經過算法設計,實現未知電容或電感參數的測定。圖1給出了係統的總體框架圖。

輸入切換電路使用雙刀雙擲繼電器實現,主要負責電容和電感的輸入切換,當連接上電容時係統通過繼電器K2,如圖2所示。連接單片機,K2 的固定端直接連接單片機的引腳IO3和IO4,常開節點連接待測電容或電感的引腳兩端,並且初始設置兩個引腳一個為邏輯高電平5 V,一個為邏輯低電平0 V,當給K2通電,固定端和常閉端連接,由於IO3和IO4分別為5 V和0 V。電容對直流是開路,所以IO3和IO4電平維持原來的狀態。若為電感,由於電感對直流相當於導線,那麼5 V的IO會被0 V的拉低。兩個IO都為0 V。由此得出沒有短路在一起時,單片機判斷為電容,從而選擇測量電容的方法,此時通過單片機對IO1腳的設置把另一個雙刀雙擲開關K1,開關撥到上,上為與電容C2並聯,如圖2所示。而短路在一起時,單片機判斷為電感,單片機選擇測量電感的方法,此時通過單片機對IO1腳的設置把另一個雙刀雙擲開關K1開關撥到下,即與電感L並聯。

2.3 振蕩電路原理
振蕩電路采用LC振蕩電路,振蕩的頻率由L和C確定。振蕩管采用9018,Rb1和Rb2為基極偏置,Rc為限流電阻,電容C1、C2和電感L構成正反饋選頻網絡,反饋信號取自電容C2兩端。該電路也稱為電容3點式振蕩電路。輸入信號和反饋信號同相。在測量過程中,當測量電感時,輸入電路自動把待測電感Lx並聯到L的兩端。當測量電容時,輸入電路自動把要測量的電容Cx並聯到C1的兩端。
2.4 分頻電路原理
分頻電路采用74LS393數字分頻芯片,分頻端級聯實現100分頻,高頻管9018的集電極輸出振蕩信號,之後把振蕩器輸出的信號100分頻,頻率將降到單片機測量的範圍之內。
2.5 單片機實現電容和電感的計算
當(dang)把(ba)待(dai)測(ce)的(de)電(dian)容(rong)或(huo)電(dian)感(gan)接(jie)入(ru)時(shi),係(xi)統(tong)自(zi)動(dong)進(jin)行(xing)判(pan)斷(duan),根(gen)據(ju)判(pan)斷(duan)結(jie)果(guo)確(que)定(ding)算(suan)法(fa)。當(dang)判(pan)斷(duan)到(dao)是(shi)電(dian)容(rong)時(shi),係(xi)統(tong)計(ji)入(ru)電(dian)容(rong)的(de)計(ji)算(suan)方(fang)式(shi),電(dian)容(rong)的(de)計(ji)算(suan)方(fang)式(shi)采(cai)用(yong)公(gong)式(shi)
3 算法設計
係xi統tong上shang電dian初chu始shi化hua並bing且qie清qing屏ping,單dan片pian機ji初chu始shi化hua完wan成cheng後hou,進jin入ru鍵jian盤pan掃sao描miao程cheng序xu,當dang要yao進jin行xing電dian容rong或huo電dian感gan測ce量liang時shi,選xuan擇ze測ce量liang按an鍵jian,係xi統tong進jin行xing自zi動dong判pan斷duan並bing進jin行xing電dian容rong或huo電dian感gan的de測ce量liang。當dang判pan斷duan為wei電dian容rong時shi,係xi統tong選xuan擇ze電dian容rong的de計ji算suan方fang法fa。當dang判pan斷duan為wei電dian感gan時shi,係xi統tong選xuan擇ze電dian感gan的de計ji算suan方fang法fa。計ji算suan完wan成cheng後hou在zai液ye晶jing屏ping上shang顯xian示shi測ce量liang結jie果guo。下xia麵mian是shi具ju體ti的de程cheng序xu流liu程cheng圖tu,如ru圖tu3所示。

特別推薦
- 噪聲中提取真值!瑞盟科技推出MSA2240電流檢測芯片賦能多元高端測量場景
- 10MHz高頻運行!氮矽科技發布集成驅動GaN芯片,助力電源能效再攀新高
- 失真度僅0.002%!力芯微推出超低內阻、超低失真4PST模擬開關
- 一“芯”雙電!聖邦微電子發布雙輸出電源芯片,簡化AFE與音頻設計
- 一機適配萬端:金升陽推出1200W可編程電源,賦能高端裝備製造
技術文章更多>>
- 2026藍牙亞洲大會暨展覽在深啟幕
- H橋降壓-升壓電路中的交替控製與帶寬優化
- Tektronix 助力二維材料器件與芯片研究與創新
- 800V AI算力時代,GaN從“備選”變“剛需”?
- 大聯大世平集團首度亮相北京國際汽車展 攜手全球芯片夥伴打造智能車整合應用新典範
技術白皮書下載更多>>
- 車規與基於V2X的車輛協同主動避撞技術展望
- 數字隔離助力新能源汽車安全隔離的新挑戰
- 汽車模塊拋負載的解決方案
- 車用連接器的安全創新應用
- Melexis Actuators Business Unit
- Position / Current Sensors - Triaxis Hall
熱門搜索
接口IC
介質電容
介質諧振器
金屬膜電阻
晶體濾波器
晶體諧振器
晶體振蕩器
晶閘管
精密電阻
精密工具
景佑能源
聚合物電容
君耀電子
開發工具
開關
開關電源
開關電源電路
開關二極管
開關三極管
科通
可變電容
可調電感
可控矽
空心線圈
控製變壓器
控製模塊
藍牙
藍牙4.0
藍牙模塊
浪湧保護器





