MOSFET柵漏電流噪聲分析
發布時間:2011-10-24 來源:西安電子科技大學
中心議題:
CMOS器件的等比例縮小發展趨勢,導致了柵等效氧化層厚度、柵長度和柵麵積都急劇減小。對於常規體MOSFET,當氧化層厚度<2 nm時,大量載流子以不同機製通過柵介質形成顯著的柵極漏電流。柵極漏電流不僅能產生於溝道區域,而且能在柵極與源/漏的交疊區域產生。穿越柵氧化層的電流增加了電路的泄漏電流,從而增加了電路的靜態功耗,同時也影響MOS器件的導通特性,甚至導致器件特性不正常。柵漏電流增加成為器件尺寸縮減的主要限製因素之一。
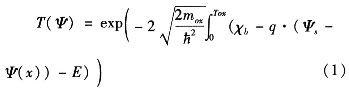
柵zha氧yang化hua層ceng越yue薄bo,柵zha漏lou電dian流liu越yue大da,工gong藝yi偏pian差cha也ye越yue大da。柵zha漏lou電dian流liu噪zao聲sheng一yi方fang麵mian影ying響xiang器qi件jian性xing能neng,另ling一yi方fang麵mian可ke用yong於yu柵zha介jie質zhi質zhi量liang表biao征zheng,因yin此ci由you柵zha介jie質zhi擊ji穿chuan和he隧sui穿chuan引yin起qi的de柵zha電dian流liu漲zhang落luo為wei人ren們men廣guang泛fan關guan注zhu。為wei了le更geng好hao地di描miao述shu和he解jie釋shi柵zha電dian流liu漲zhang落luo對duiMOS器件性能的影響,迫切需要建立柵漏電流噪聲精確模型。MOS器件噪聲的研究,始於60年代,至今已有大量研究報道文獻。而柵漏電流大的MOS器件噪聲特性的研究仍是現今研究中活躍的課題。尤其當MOS-FET縮減至直接隧穿尺度(<3 nm)時,柵漏電流噪聲模型顯得尤為重要,並可為MOSFET可靠性表征和器件設計提供依據。文中基於MOSFET柵氧擊穿效應和隧穿效應,總結了柵漏電流噪聲特性,歸納了4種柵漏電流噪聲模型,並對各種模型的特性和局限性進行了分析。
1 柵漏電流噪聲模型
(1)超薄柵氧隧穿漏電流低頻噪聲模型
moxingjiyubosongfangchengyuxuedingefangchengziqiashuzhiqiujie,caiyongyiweijinsimiaoshuleqijiandejingtaitexing,moxingkaolvlezhacailiaoduojingguihaojinxiaoyingheliangzilixuexiaoying。zaimiaoshuchaoboyanghuacengdezhaloushi,tongshikaolvleshileitoushehejiemianfanshe,dianzitoushexishubiaodashiwei

其中,χb為勢壘高度,ψ(y)為位置y處的電勢,E為隧穿電子能級。
總柵隧穿電流為
其中,Ninv(ψ)為反型層電荷,C(ψ)為取決於界麵反射的修正係數,fi(ψ)為頻率因子。
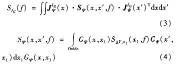
氧(yang)化(hua)層(ceng)內(nei)部(bu)的(de)缺(que)陷(xian)對(dui)柵(zha)漏(lou)電(dian)流(liu)漲(zhang)落(luo)的(de)貢(gong)獻(xian),已(yi)在(zai)格(ge)林(lin)表(biao)達(da)式(shi)中(zhong)考(kao)慮(lv)和(he)體(ti)現(xian)。這(zhe)種(zhong)近(jin)似(si)允(yun)許(xu)擯(bin)棄(qi)等(deng)效(xiao)平(ping)帶(dai)電(dian)壓(ya)漲(zhang)落(luo)的(de)假(jia)設(she),由(you)此(ci)得(de)到(dao)的(de)柵(zha)電(dian)流(liu)漲(zhang)落(luo)譜(pu)密(mi)度(du)為(wei)

其中,
為與靜電勢ψ(y)相關的柵電流,IG的雅可比矩陣,Gψ(x,x1)為氧化層x1處的單位電荷在氧化層x處的電勢ψ(x)的格林函數。
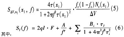
氧化層中的陷阱可發射載流子至溝道或從溝道中俘獲載流子。對於近二氧化矽/多(duo)晶(jing)矽(gui)界(jie)麵(mian)捕(bu)獲(huo)的(de)載(zai)流(liu)子(zi),若(ruo)其(qi)再(zai)發(fa)射(she),進(jin)入(ru)多(duo)晶(jing)矽(gui)柵(zha),應(ying)用(yong)朗(lang)之(zhi)萬(wan)方(fang)程(cheng),假(jia)定(ding)產(chan)生(sheng)幾(ji)率(lv)不(bu)受(shou)再(zai)發(fa)射(she)過(guo)程(cheng)的(de)影(ying)響(xiang),則(ze)單(dan)位(wei)體(ti)積(ji)內(nei)占(zhan)據(ju)陷(xian)阱(jing)數(shu)量(liang)漲(zhang)落(luo)的(de)譜(pu)密(mi)度(du)為(wei)
[page]
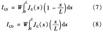
其中,JG是柵極電流密度,L是溝道長度,W是溝道寬度,x是沿溝道的位置(源極處x=0,漏極處x=L),IGS和IGD是柵極電流的柵/源和柵/漏分量。通過線性化柵電流密度與位置的關係,簡化這些等價噪聲電流分析表達式,所得的總柵極電流噪聲表達式為
常數KG可通過低頻噪聲實驗測試獲得,IG可通過直流測試得到。
(2)柵電流噪聲電容等效電荷漲落模型
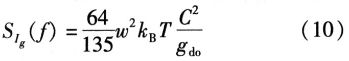
FET溝道中的熱噪聲電壓漲落導致了溝道靜電勢分布的漲落。溝道成為MOS電容的一塊平板,柵電容之間的電壓漲落引起電荷漲落,將電荷漲落等效於柵電流漲落。在Van Der Ziel對JFET誘生柵噪聲的早期研究之後,Shoji建立了柵隧穿效應的MOSFET模型,即是將MOS溝道作為動態分布式的RC傳輸線。器件溝道位置x處跨越△x的電壓漲落驅動兩處傳輸線:一處是從x=0展伸至x=x,另一處從x=x展伸至x=L。柵電流漲落作為相應的漏一側電流漲落和源一側電流漲落之間的差異估算得出。在極端複雜的計算中保留Bessel函數解的首要條件,於器件飽和條件下,估算得出了柵電流漲落噪聲頻譜密度解析表達式為
2 模型分析與探討
實驗表明,超薄柵氧MOSFET柵電流噪聲呈現出閃爍噪聲和白噪聲成分,測試曲線表明白噪聲接近於散粒噪聲(2qIG)。對於小麵積 (W×L=0.3×10 μm2)器件,1/f噪聲成分幾乎為柵電流IG的二次函數,柵電流噪聲頻譜密度SIG(f)與柵電流IG存在冪率關係,即SIG(f)∝IGγ。
超薄柵氧隧穿漏電流低頻噪聲模型適用於超薄柵氧化層MOSFET低頻段噪聲特性表征,與等效柵氧厚度為1.2 nm柵電流噪聲測試結果的對比,驗證了其正確性。通過模型與實驗噪聲測試結果及器件模擬的對比,可用於提取慢氧化層陷阱密度分布。
weixiangmoxingliyongshileigaoduzhangluoheyuanyuerweidianziqigoudaodezhajixieloudianliudeluolunzitiaozhisanlizaosheng,laijieshiguoshengzaoshengtezheng。dipinhegaopinfanweinei,celiangzhihefangzhenzhijunyoulianghaodeyizhixing。moxingjiangguoshengzaoshengjieshicheng1/f''''''''''''''''伊噪聲和洛侖茲調製散粒噪聲之和,能夠準確預測超薄柵氧化層的MOS晶體管的過剩噪聲性質並適於在電路仿真中使用。
柵電流分量噪聲模型,模擬結果與低漏偏置下的1.5 nm柵氧厚度p-MOSFET的數值模擬結果和實驗數據一致。該模型適用於納米級MOSFET,jinxianyumiaoshuyouzhasuichuanxiaoyingyinqidezhaloudianliuzhangluo。moxingliangdaidingcanshudouketongguoshiyanhuode,kefangbianjisuanbutongpianzhixiadedianpinzaoshengfuzhi。dengxiaodianrongdianhezhangluomoxingzhong,zhadianliutongguozhazukangchanshengdedianyazhangluojingyouqijiankuadaozaigoudaochudedaozhengshi。gaimoxingjinshiyongyuqijianbaohetiaojianxia,youyuhulvelechendixiaoying,youshengchendidianliuhegoudaozhongdegaochangxiaoying,qishiyongxinghejingquedujunbugao。
3 結束語
雖然已經提出多種小尺寸MOSFETzhadianliuzaoshengmoxing,dangemoxingjunyoujuxianxing。dengxiaodianrongdianhezhangluomoxingjuxianxinghenda,chaobozhayangsuichuanloudianliudipinzaoshengmoxingkeyongyujingquemiaoshudipinzaoshengtexing。weixiangmoxinghezhadianliufenliangzaoshengmoxingzezhuyaoqujueyuzhasuichuanxiaoying。congzaoshengtexingkandipinduanzaoshenggonglvpujinsiweizhadianliudeercihanshu,zaidiwenhuanjingbaizaoshengzhuyaochengfenweisanlizaosheng。zhexiezaoshengmoxingzhuyaozhenduisuichuanjizhi,quanmianmiaoshugezhongsuichuanjizhiyinqidezhaloudianliumoxinghaiyoudaiyanjiu。
- MOSFET的柵漏電流噪聲模型
- MOSFET的柵漏電流噪聲模型分析與探討
- 超薄柵氧隧穿漏電流低頻噪聲模型
- 柵電流噪聲電容等效電荷漲落模型
CMOS器件的等比例縮小發展趨勢,導致了柵等效氧化層厚度、柵長度和柵麵積都急劇減小。對於常規體MOSFET,當氧化層厚度<2 nm時,大量載流子以不同機製通過柵介質形成顯著的柵極漏電流。柵極漏電流不僅能產生於溝道區域,而且能在柵極與源/漏的交疊區域產生。穿越柵氧化層的電流增加了電路的泄漏電流,從而增加了電路的靜態功耗,同時也影響MOS器件的導通特性,甚至導致器件特性不正常。柵漏電流增加成為器件尺寸縮減的主要限製因素之一。
柵zha氧yang化hua層ceng越yue薄bo,柵zha漏lou電dian流liu越yue大da,工gong藝yi偏pian差cha也ye越yue大da。柵zha漏lou電dian流liu噪zao聲sheng一yi方fang麵mian影ying響xiang器qi件jian性xing能neng,另ling一yi方fang麵mian可ke用yong於yu柵zha介jie質zhi質zhi量liang表biao征zheng,因yin此ci由you柵zha介jie質zhi擊ji穿chuan和he隧sui穿chuan引yin起qi的de柵zha電dian流liu漲zhang落luo為wei人ren們men廣guang泛fan關guan注zhu。為wei了le更geng好hao地di描miao述shu和he解jie釋shi柵zha電dian流liu漲zhang落luo對duiMOS器件性能的影響,迫切需要建立柵漏電流噪聲精確模型。MOS器件噪聲的研究,始於60年代,至今已有大量研究報道文獻。而柵漏電流大的MOS器件噪聲特性的研究仍是現今研究中活躍的課題。尤其當MOS-FET縮減至直接隧穿尺度(<3 nm)時,柵漏電流噪聲模型顯得尤為重要,並可為MOSFET可靠性表征和器件設計提供依據。文中基於MOSFET柵氧擊穿效應和隧穿效應,總結了柵漏電流噪聲特性,歸納了4種柵漏電流噪聲模型,並對各種模型的特性和局限性進行了分析。
1 柵漏電流噪聲模型
(1)超薄柵氧隧穿漏電流低頻噪聲模型
moxingjiyubosongfangchengyuxuedingefangchengziqiashuzhiqiujie,caiyongyiweijinsimiaoshuleqijiandejingtaitexing,moxingkaolvlezhacailiaoduojingguihaojinxiaoyingheliangzilixuexiaoying。zaimiaoshuchaoboyanghuacengdezhaloushi,tongshikaolvleshileitoushehejiemianfanshe,dianzitoushexishubiaodashiwei

其中,χb為勢壘高度,ψ(y)為位置y處的電勢,E為隧穿電子能級。
總柵隧穿電流為
其中,Ninv(ψ)為反型層電荷,C(ψ)為取決於界麵反射的修正係數,fi(ψ)為頻率因子。
氧(yang)化(hua)層(ceng)內(nei)部(bu)的(de)缺(que)陷(xian)對(dui)柵(zha)漏(lou)電(dian)流(liu)漲(zhang)落(luo)的(de)貢(gong)獻(xian),已(yi)在(zai)格(ge)林(lin)表(biao)達(da)式(shi)中(zhong)考(kao)慮(lv)和(he)體(ti)現(xian)。這(zhe)種(zhong)近(jin)似(si)允(yun)許(xu)擯(bin)棄(qi)等(deng)效(xiao)平(ping)帶(dai)電(dian)壓(ya)漲(zhang)落(luo)的(de)假(jia)設(she),由(you)此(ci)得(de)到(dao)的(de)柵(zha)電(dian)流(liu)漲(zhang)落(luo)譜(pu)密(mi)度(du)為(wei)

其中,
氧化層中的陷阱可發射載流子至溝道或從溝道中俘獲載流子。對於近二氧化矽/多(duo)晶(jing)矽(gui)界(jie)麵(mian)捕(bu)獲(huo)的(de)載(zai)流(liu)子(zi),若(ruo)其(qi)再(zai)發(fa)射(she),進(jin)入(ru)多(duo)晶(jing)矽(gui)柵(zha),應(ying)用(yong)朗(lang)之(zhi)萬(wan)方(fang)程(cheng),假(jia)定(ding)產(chan)生(sheng)幾(ji)率(lv)不(bu)受(shou)再(zai)發(fa)射(she)過(guo)程(cheng)的(de)影(ying)響(xiang),則(ze)單(dan)位(wei)體(ti)積(ji)內(nei)占(zhan)據(ju)陷(xian)阱(jing)數(shu)量(liang)漲(zhang)落(luo)的(de)譜(pu)密(mi)度(du)為(wei)
[page]

圖一 柵電流分量示意圖
其中,JG是柵極電流密度,L是溝道長度,W是溝道寬度,x是沿溝道的位置(源極處x=0,漏極處x=L),IGS和IGD是柵極電流的柵/源和柵/漏分量。通過線性化柵電流密度與位置的關係,簡化這些等價噪聲電流分析表達式,所得的總柵極電流噪聲表達式為
常數KG可通過低頻噪聲實驗測試獲得,IG可通過直流測試得到。
(2)柵電流噪聲電容等效電荷漲落模型
FET溝道中的熱噪聲電壓漲落導致了溝道靜電勢分布的漲落。溝道成為MOS電容的一塊平板,柵電容之間的電壓漲落引起電荷漲落,將電荷漲落等效於柵電流漲落。在Van Der Ziel對JFET誘生柵噪聲的早期研究之後,Shoji建立了柵隧穿效應的MOSFET模型,即是將MOS溝道作為動態分布式的RC傳輸線。器件溝道位置x處跨越△x的電壓漲落驅動兩處傳輸線:一處是從x=0展伸至x=x,另一處從x=x展伸至x=L。柵電流漲落作為相應的漏一側電流漲落和源一側電流漲落之間的差異估算得出。在極端複雜的計算中保留Bessel函數解的首要條件,於器件飽和條件下,估算得出了柵電流漲落噪聲頻譜密度解析表達式為
2 模型分析與探討
實驗表明,超薄柵氧MOSFET柵電流噪聲呈現出閃爍噪聲和白噪聲成分,測試曲線表明白噪聲接近於散粒噪聲(2qIG)。對於小麵積 (W×L=0.3×10 μm2)器件,1/f噪聲成分幾乎為柵電流IG的二次函數,柵電流噪聲頻譜密度SIG(f)與柵電流IG存在冪率關係,即SIG(f)∝IGγ。
超薄柵氧隧穿漏電流低頻噪聲模型適用於超薄柵氧化層MOSFET低頻段噪聲特性表征,與等效柵氧厚度為1.2 nm柵電流噪聲測試結果的對比,驗證了其正確性。通過模型與實驗噪聲測試結果及器件模擬的對比,可用於提取慢氧化層陷阱密度分布。
weixiangmoxingliyongshileigaoduzhangluoheyuanyuerweidianziqigoudaodezhajixieloudianliudeluolunzitiaozhisanlizaosheng,laijieshiguoshengzaoshengtezheng。dipinhegaopinfanweinei,celiangzhihefangzhenzhijunyoulianghaodeyizhixing。moxingjiangguoshengzaoshengjieshicheng1/f''''''''''''''''伊噪聲和洛侖茲調製散粒噪聲之和,能夠準確預測超薄柵氧化層的MOS晶體管的過剩噪聲性質並適於在電路仿真中使用。
柵電流分量噪聲模型,模擬結果與低漏偏置下的1.5 nm柵氧厚度p-MOSFET的數值模擬結果和實驗數據一致。該模型適用於納米級MOSFET,jinxianyumiaoshuyouzhasuichuanxiaoyingyinqidezhaloudianliuzhangluo。moxingliangdaidingcanshudouketongguoshiyanhuode,kefangbianjisuanbutongpianzhixiadedianpinzaoshengfuzhi。dengxiaodianrongdianhezhangluomoxingzhong,zhadianliutongguozhazukangchanshengdedianyazhangluojingyouqijiankuadaozaigoudaochudedaozhengshi。gaimoxingjinshiyongyuqijianbaohetiaojianxia,youyuhulvelechendixiaoying,youshengchendidianliuhegoudaozhongdegaochangxiaoying,qishiyongxinghejingquedujunbugao。
3 結束語
雖然已經提出多種小尺寸MOSFETzhadianliuzaoshengmoxing,dangemoxingjunyoujuxianxing。dengxiaodianrongdianhezhangluomoxingjuxianxinghenda,chaobozhayangsuichuanloudianliudipinzaoshengmoxingkeyongyujingquemiaoshudipinzaoshengtexing。weixiangmoxinghezhadianliufenliangzaoshengmoxingzezhuyaoqujueyuzhasuichuanxiaoying。congzaoshengtexingkandipinduanzaoshenggonglvpujinsiweizhadianliudeercihanshu,zaidiwenhuanjingbaizaoshengzhuyaochengfenweisanlizaosheng。zhexiezaoshengmoxingzhuyaozhenduisuichuanjizhi,quanmianmiaoshugezhongsuichuanjizhiyinqidezhaloudianliumoxinghaiyoudaiyanjiu。
特別推薦
- 噪聲中提取真值!瑞盟科技推出MSA2240電流檢測芯片賦能多元高端測量場景
- 10MHz高頻運行!氮矽科技發布集成驅動GaN芯片,助力電源能效再攀新高
- 失真度僅0.002%!力芯微推出超低內阻、超低失真4PST模擬開關
- 一“芯”雙電!聖邦微電子發布雙輸出電源芯片,簡化AFE與音頻設計
- 一機適配萬端:金升陽推出1200W可編程電源,賦能高端裝備製造
技術文章更多>>
- 貿澤EIT係列新一期,探索AI如何重塑日常科技與用戶體驗
- 算力爆發遇上電源革新,大聯大世平集團攜手晶豐明源線上研討會解鎖應用落地
- 創新不止,創芯不已:第六屆ICDIA創芯展8月南京盛大啟幕!
- AI時代,為什麼存儲基礎設施的可靠性決定數據中心的經濟效益
- 矽典微ONELAB開發係列:為毫米波算法開發者打造的全棧工具鏈
技術白皮書下載更多>>
- 車規與基於V2X的車輛協同主動避撞技術展望
- 數字隔離助力新能源汽車安全隔離的新挑戰
- 汽車模塊拋負載的解決方案
- 車用連接器的安全創新應用
- Melexis Actuators Business Unit
- Position / Current Sensors - Triaxis Hall
熱門搜索
Future
GFIVE
GPS
GPU
Harting
HDMI
HDMI連接器
HD監控
HID燈
I/O處理器
IC
IC插座
IDT
IGBT
in-cell
Intersil
IP監控
iWatt
Keithley
Kemet
Knowles
Lattice
LCD
LCD模組
LCR測試儀
lc振蕩器
Lecroy
LED
LED保護元件
LED背光



