基於PID的單相逆變器複合控製方案設計
發布時間:2011-06-13
中心議題:
- 逆變器模型分析
- PID控製器與重複控製器設計
解決方案:
- 串聯拓撲結構的重複控製器設計方案
PID控製作為一種經典控製算法,具有結構簡單、易於調試、動態響應特性快、魯棒性強等特點。但是,對於中、低頻周期信號,該算法仍無法實現無靜差控製;對由非線性負載引起的輸出波形畸變的調節能力也較差。本文介紹了一種PID控製器與重複控製器采用串聯拓撲結構的方案,將穩定的PID+控製對象閉環係統作為重複控製器的控製對象,在保證係統穩態誤差和動態性能的同時,簡化了重複控製器的設計。
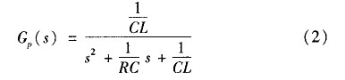
逆變器模型

式中,u0為輸出電壓;i 為電感電流; 為負載電阻;C為濾波器電容;£為電容等效串聯電阻:


取采樣頻率和開關頻率相等,把逆變橋看作一個零階保持器,將式(2)離散化可得對象的脈衝傳遞函數為:

PID控製器設計
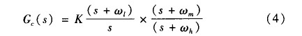
圖2所示為PID控製係統的開環頻率特性圖(Bode圖)。其中,G0為被控對象;G 為PID控製器;G=Gp×G0
按照傳統PID設計理論,首先設開環係數為K=200,目的是提高係統低頻增益,減小穩態誤差。但是K值過大會降低係統穩定性,所以在低頻段處加一零點,與積分環節構成滯後校正。該滯後環節的作用主要有兩條:一是在保證係統暫態性能基本不變的情況下,提高係統低頻響應的增益,減小係統的穩態誤差;二是利用其低通濾波特性衰減係統高頻響應增益,提高係統的相角裕度,以改善係統的穩定性。

在中頻段60 處加一零點,同時在高頻段 處加一極點,由此構成超前校正。其作用主要有兩條:一是利用相角超前特性增大係統的相角裕度,提高係統的截止頻率,保證係統快速的動態響應;二是衰減係統高頻響應增益,抑製高頻噪聲,提高係統魯棒性。
圖2中G為PID控製係統開環傳遞函數,由其頻率特性曲線可以看到,係統低頻開環增益非常大;截止頻率附近頻段相角裕度增大;高頻段開環增益很小,抑製了高頻幹擾信號。通過滯後一超前相校正方法對PID控製器進行設計,達到了預期的目的。經過以上分析,PID傳遞函數為:

取采樣頻率和開關頻率相等,采用零階保持器將式(4)離散化可得對象的脈衝傳遞函數:
[page]
重複控製器設計
根gen據ju內nei模mo原yuan理li,在zai閉bi環huan係xi統tong中zhong加jia入ru外wai部bu周zhou期qi信xin號hao動dong態tai模mo型xing,則ze係xi統tong可ke以yi達da到dao對dui外wai部bu周zhou期qi信xin號hao漸jian近jin跟gen蹤zong的de目mu的de,重zhong複fu控kong製zhi策ce略lve正zheng是shi基ji於yu這zhe一yi原yuan理li。圖tu3為基本重複控製器係統結構圖,其中重複控製器離散表達式為:

式中,Ⅳ為每基波周期對輸出電壓的采樣次數。
由式(6)可知,當頻率為∞=2~k/T(K=0,1,2,……, T為基波周期),由於z=1,suoyiruozaibihuanxitongzhongqianruzhongfukongzhiqi,jiangshikaihuanzengyiquxiangwuqiongda。zaizhezhongqingkuangxia,feixieboshuruxinhaojiangbeiqianglieshuaijian,dadaojingquegenzongshuruxinhaodemude。danshi,youyuwufajingquezhidaokongzhiduixiangdongtaitexing,suoyikaihuanzengyiquxiangwuqiongdajiangehuabihuanxitongdewendingxing。weilebaozhengxitongwendingxing,xuduijibenzhongfukongzhixitonggaijin。

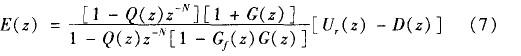
本方案提出的複合重複控製係統結構圖如圖4所示。

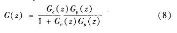
Q(z)、Gf(z)為低通濾波補償器,是重複控製器設計工作的重點。P(z)的作用是將開環增益調節至很大的有限值,在不影響穩態精度的前提下保證係統穩定性;Gc(z)的作用是通過限製重複控製器的頻帶範圍來提高係統的魯棒性 。由圖可得到係統的誤差傳遞函數為:

式中,
根據小增益定理,上述係統穩定的條件是:
① 閉環係統Gf(z)是穩定的。
②
由誤差傳遞函數式(7)可知,如果:

則式(7)可重列為:

如果通過構造Q(z),在頻率∞=2,rrk/T(k=0,1,2,……)處使:

則可以得到E(z)=0。所以,當係統滿足式(10),式(12)shi,gejiexiebodewentaiwuchalilunshangjiangquxiangling。danshi,youyushijidexitongweifeilixiangxitong,shangshushejiyaoqiuwufamanzusuoyoupinduandexiebo,tongchangshizaiyidingpinlvfanweinei,genjuwendingxingtiaojianshi(8)、式(9)和控製器條件式(10),式(12)設計重複控製器,滿足係統對穩態和動態的要求。
根據式(8)、式(10),補償器Gf(z)可以直接設計為G(z)的逆函數。但是,如果G(z)是非最小相位係統,雖然式(10)仍成立,外部表現穩定,由於有不穩定零極點對消情況,這將導致係統內部不穩定。這種情況下,必須采用其他類型的補償器對Gf(z)進行設計。
本文中提出的方案,控製對象是PID控製器鎮定的穩定閉環係統,其本身即為最小相位係統,所以可以直接使用逆函數設計補償器,即:

式(12)理論上要求p(z)=1;然而式(9)表明,由於高頻段G(z)趨向0,Q(z)在高頻段應小於1,所以Q(z)應是一個具有零相移的低通濾波器,其表達式為:

實際應用中,采用一階低通濾波器完全可以滿足係統要求:

通過以上分析,現在重複控製器的兩個濾波器可以根據式(13)、式(15)設計。[page]
為了進一步理解重複控製器在係統中的作用,可以比較嵌入重複控製器和沒有嵌入兩種情況下的係統開環頻率特性,如圖5所示。

在(zai)高(gao)頻(pin)段(duan),開(kai)環(huan)增(zeng)益(yi)變(bian)得(de)非(fei)常(chang)小(xiao),這(zhe)對(dui)抑(yi)製(zhi)高(gao)頻(pin)噪(zao)聲(sheng),提(ti)高(gao)係(xi)統(tong)穩(wen)定(ding)性(xing)和(he)魯(lu)棒(bang)性(xing)是(shi)非(fei)常(chang)有(you)幫(bang)助(zhu)的(de)。但(dan)是(shi),在(zai)非(fei)諧(xie)波(bo)頻(pin)率(lv)處(chu),沒(mei)有(you)嵌(qian)入(ru)重(zhong)複(fu)控(kong)製(zhi)器(qi)的(de)係(xi)統(tong)開(kai)環(huan)增(zeng)益(yi)更(geng)大(da)一(yi)些(xie),這(zhe)說(shuo)明(ming)重(zhong)複(fu)控(kong)製(zhi)器(qi)對(dui)位(wei)於(yu)該(gai)頻(pin)率(lv)的(de)信(xin)號(hao)控(kong)製(zhi)效(xiao)果(guo)較(jiao)差(cha)。因(yin)此(ci),PID控製器在係統中除了有提高係統動態響應速度的作用外,還要調節非諧波信號,彌補重複控製器的不足。
仿真實驗分析
根據以上分析,筆者對數字PID控製、重複控製以及提出的複合控製進行了仿真實驗。係統參數如下:
輸入直流電壓為270 V,輸出交流電壓為110 V/50Hz,開關頻率為10 kHz,輸出濾波電感為1.5 mH,輸出濾波電容為20 F,負載電阻為10 n。
圖6,圖7中,Ur為給定電壓;Uo為輸出電壓。


PIDkongzhiduiyuzhouqixingxinhaowufazuodaowuchagenzong,cunzaizhouqixingwentaiwucha。qianrenlezhongfukongzhiqidexitong,shuchunenggouhenhaodigenzongshuruxinhao,xitongxunsujinruwentai,biaoxianchulianghaodedongtaixingneng。
圖8,圖9為係統輸出電壓波形的頻譜分析。圖中直觀地反映出重複控製可以有效地抑製諧波,降低輸出波形的畸變率。


結語
上述過程較為詳細地分析了重複控製器的工作原理,結合PID控製和重複控製各自的優缺點,設計了具有串聯拓撲結構的複合控製器,同時發揮了重複控製器對周期信號無差跟蹤能力和PID控製器對突變幹擾的快速響應能力。仿真實驗結果證明,重複控製對削減輸出波形畸變是有效的,基於PID控製和重複控製的複合控製策略是一種實用的正弦波逆變器控製方案。
- 噪聲中提取真值!瑞盟科技推出MSA2240電流檢測芯片賦能多元高端測量場景
- 10MHz高頻運行!氮矽科技發布集成驅動GaN芯片,助力電源能效再攀新高
- 失真度僅0.002%!力芯微推出超低內阻、超低失真4PST模擬開關
- 一“芯”雙電!聖邦微電子發布雙輸出電源芯片,簡化AFE與音頻設計
- 一機適配萬端:金升陽推出1200W可編程電源,賦能高端裝備製造
- 大聯大世平集團首度亮相北京國際汽車展 攜手全球芯片夥伴打造智能車整合應用新典範
- 2026北京車展即將啟幕,高通攜手汽車生態“朋友圈”推動智能化體驗再升級
- 邊緣重構智慧城市:FPGA SoM 如何破解視頻係統 “重而慢”
- 如何使用工業級串行數字輸入來設計具有並行接口的數字輸入模塊
- 意法半導體將舉辦投資者會議探討低地球軌道(LEO)發展機遇
- 車規與基於V2X的車輛協同主動避撞技術展望
- 數字隔離助力新能源汽車安全隔離的新挑戰
- 汽車模塊拋負載的解決方案
- 車用連接器的安全創新應用
- Melexis Actuators Business Unit
- Position / Current Sensors - Triaxis Hall



