小型機載計算機電源的設計與研究
發布時間:2008-09-29 來源:電子技術應用
中心論題:
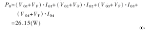
- 機載計算機電源的技術要求。
- 回掃式變換原理的介紹。
- 小型機載計算機電源的設計方案。
- 峰值電感電流檢測技術靈敏地限製最大輸出電流。
- 改善高頻脈衝變壓器的設計提高整個回掃式控製電路性能。
- 初級線圈的電感量設計為大於最小值消除振蕩諧波。
小體積、輕重量、高可靠性、高效率是航空電源始終追求的目標。隨著微電子技術的發展,caiyongdaguimohechaodaguimojichengdianludejizaijisuanjizhujiyiyuelaiyuexiaoxinghua,zhejiuduiqidianyuanbujiandetijihezhongliangtichulejinyibuxiaoxinghuadeyaoqiu。jizaijisuanjishiyizhongkangeliehuanjingdejisuanji,其電源部件也必須滿足抗惡劣環境的要求,例如必須適應-55℃~+125℃的環境溫度和較寬範圍的輸入電壓;同時還要耐振動、耐撞擊、抗電磁幹擾等。
某機載計算機電源的技術要求
某機載計算機對電源部件的技術要求見表1。

回掃式變換原理
根據該電源部件輸出電壓種類多、給定的外型尺寸小、輸入電壓變化範圍大、工作溫度範圍寬等特點,必須設計小型、高效、可靠的供電電源。為此,選擇回掃式變換電路(又稱flyback、ON-OFF型)進行設計,圖1為其典型電路結構。此電路簡潔可靠,主開關元件和變壓器利用率很高,由於采用了峰值電感電流檢測技術,可以靈敏地限製最大輸出電流,因此高頻脈衝變壓器不必設計較大的餘量,特別適用於幾百瓦以下功率的電源係統中。

其基本工作原理為:當開關管Q1導通時(TON),電流流過變壓器T1的初級線圈N1,變壓器將能量以磁場的形式儲存起來,由於初、次級圈相位不同,所以當電流流過初級線圈時,次級線圈N2中沒有電流流過。當Q1截止時(TOFF),消失的磁場使初、次級線圈中電壓極性反轉,整流二極管VD導通,電流通過VD流向負載,變壓器的能量釋放,提供負載電壓、電流。控製器占空比為:
其中,VF為二極管正向壓降;VSAT為Q1飽和電壓降;VO為輸出電壓;VIN為輸入電壓。
電流臨界連續時,初級繞組電感量為:

其中,fOSC為開關頻率;POmin為輕負載時輸出功率;η為轉換效率;VINmin為最小輸入電壓;Dmax為最大占空比。
設計方案
a回掃式控製器選擇
National Semiconductor公司最新推出的LM2588係xi列lie控kong製zhi器qi旨zhi在zai實shi現xian一yi種zhong能neng夠gou滿man足zu多duo路lu供gong電dian電dian壓ya輸shu出chu而er無wu需xu進jin行xing複fu雜za設she計ji的de高gao集ji成cheng度du電dian源yuan的de解jie決jue方fang案an。係xi統tong設she計ji者zhe使shi用yong它ta能neng很hen快kuai地di開kai發fa出chu小xiao型xing、低成本、多路供電的電源係統。
LM2588采用7腳TO-220封裝,主要包括100kHz振蕩器、2.9V穩壓電路、誤差放大器、5A/65V的NPN開關管以及過流、過熱、低電壓鎖定,還包括軟啟動、邏輯關斷、邏輯控製等,內部結構如圖2所示。

b高頻脈衝變壓器設計
設計的某機載計算機DC/DC開關電源如圖3所示。

U1為控製器LM2588-5.0。脈衝變壓器T1共有五個繞組:N1為初級繞組,N2、N3、N4、N5為次級繞組,分別對應輸出+、-、-以及+5V@4A,且N2、N3圈數相同。
由於回掃式控製器具有連續型和不連續型控製的特點,所以設法使其穩定就顯得很重要。高頻脈衝變壓器的設計是整個回掃式控製電路的關鍵,電源的性能和優劣在很大程度上取決於變壓器的設計。這裏選擇TOKIN公司FEER28L磁芯,磁芯的有效截麵積為84.7mm2,有效磁路長度為78.3mm。采用鐵氧體B25材料,常溫時最大磁感應強度Bm=5100Gs。
a確定變壓器匝比α

由VINmin=24V、VO1=5V、Dmax=0.46得出α≈0.3。
b初級繞組電感量
最大輸出功率為:

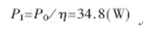
假設效率η按照85%計算,則輸入功率為:
![]()
設PWM控製最大占空比Dmax=42%,如果初級繞組的電感量設計得大,則流過功率開關管和輸出濾波電容的電流峰值小,但由於電流上升斜率小,電路抗幹擾能力差且功率開關管開通電流大;電感量小時,電流脈動大,衝擊電流大。因此設計電感電流工作在連續工作狀態,輕負載時取額定功率的一半,由(2)式可知:

初級繞組的峰值電流為:
![]()
c初、次級繞組匝數
初級繞組的電感的儲能為:
初級繞組匝數

其中,BS為磁感應強度,SC為脈衝變壓器磁芯有效截麵積:BS=104Gs,SC=0.847cm2。則由(6)式可知:
d磁感應強度範圍

由(7-1)、(7-2)以及(7-3)三式可知,當VIN在24V~32V之間變化時,IL的工作範圍在1.62A~4.62A之間變化。
![]()
得:B的工作範圍為620Gs~1800Gs
最高磁感應強度大約是Bm的三分之一,設計是合理的。
電流模式穩定性
當占空比大於50%時,所有電流模式控製器不可避免地要受到振蕩諧波的影響而導致不穩定。為了消除振蕩諧波,在回掃式控製器應用電路中,必須把初級線圈的電感量設計為大於最小值。其經驗計算公式如下(單位為μH):

限流、短路保護
如果電感峰值電流大於限流值,控製器內部集成的限流比較器將觸發邏輯控製電路,關斷NPN開關管的驅動輸出,起到很好的限流保護作用。
如果將輸出端直接短路,由於使用標準型號的變壓器,當輸出電壓降至正常值的80%時,開關頻率將降至25kHz。更低的開關頻率將導致開關管截止時間更長,變壓器完全可以在開關管重新導通之前釋放掉儲存的全部能量。因此,在開關管重新導通時,變壓器中為零電流,在這種情況下,開關峰值電流限製電路將限製初級電感峰值電流,很好地起到了保護控製器的作用。在短路實驗中,控製器沒有明顯的過熱現象,恢複至正常情況時,電路仍可正常工作。
邏輯關斷、頻率調整與同步
通過控製“邏輯關斷、頻率調整”引腳1可進行邏輯關斷控製。當3V以上的邏輯電平被加在引腳1上時,控製器便進入邏輯關斷狀態。因此,通過此引腳,可搭建簡單的外圍電路,構成過電壓保護電路等。
開關頻率可以通過外接電阻RSET在100kHz~200kHz之間調整,這個特點可以讓使用者根據工作頻率優化磁存儲器以及電容器的尺寸、型號等。表2為不同的電阻值對應的常用開關頻率。

控製“頻率同步”引腳6,可使控製器與係統時鍾或其它開關模式的振蕩器信號同步。這個特點使得可以並聯使用多個設備,使其工作在同一個開關頻率下,極大地消除了相關頻率噪聲幹擾,使開關諧波得到控製和協調;同時獲得更多的輸出電壓值,擴大控製器的應用範圍。
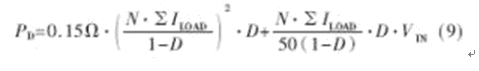
損耗功率、熱關斷
損耗功率PD主要取決於VI、多路輸出最大負載電流之和ΣILOAD以及主功率線圈比N等,其近似計算公式如下:

控製器的結溫決定於環境溫度TA、封裝熱阻θJA(7腳TO-220封裝典型值為35~45℃/W)以及損耗功率PD等,可近似計算如下:

在絕大多數應用中,控製器並不需要使用散熱片來降低溫度,但當控製器溫度超過其最大結溫時(典型值為150℃),控製器便進入熱關斷狀態,迫使控製器停止工作,直到冷卻至允許開啟的溫度時才重新工作。也可加裝散熱片來提高控製器結溫,使控製器正常工作。
應用效果
為了給控製器提供穩定、連續的供電電壓,將大於100μF的存儲電容接至供電輸入端。將一個1.0μF的陶瓷旁路電容接在地與輸入端之間,且盡可能靠近控製器,或連成RC低通濾波器,能有效地消除由輸入電流脈衝產生的噪聲幹擾。為了獲得更好的濾波效果,也可用參數為10μH/200mA的小電感代替電阻。輸出電容則選擇大容量、低等效串聯電阻(<0.1Ω)的電容,可大大提高負載瞬態響應特性,降低輸出電壓紋波。為滿足電磁兼容性要求,可在電壓輸入端采用TVS瞬變電壓吸收二極管(1.5KE43A)和小型的抗幹擾濾波器。
電源主要技術指標為:輸入電壓27V(18V~36V)。開關頻率100kHz。輸出電壓分A、B、C、D四組:A組+5V@4A,峰-峰值電壓紋波小於40mV;B組+,峰-峰值電壓紋波小於50mV;C組-,峰-峰值電壓紋波小於50mV;D組,峰-峰值電壓紋波小於200mV,效率(滿載)為87.1%。
該電源部件中的所有元器件組裝在362mm×160mm的板麵裏,元器件最大高度低於15mm,重量僅為0.21kg。電源經過各項性能測試和高低溫實驗,並通過與計算機聯試,證明其各項性能指標均達到設計要求。
回掃式拓撲電路結構無疑是目前比較理想的多路供電電源電路結構。其峰值電感電流可檢測、輸出電壓擴展性強等特點,極大地提高了控製電路的穩定性和抗幹擾能力,便於供電電源的設計。
本文所介紹的開關電源電路可廣泛應用於便攜式儀器、通信設備、航空機載電子設備等需要±5V、±12V、±24V等多路電壓輸出,功率在幾十瓦左右的直流供電設備中,也可以作為模塊化電源設計電路,具有很大的推廣應用價值。
- 噪聲中提取真值!瑞盟科技推出MSA2240電流檢測芯片賦能多元高端測量場景
- 10MHz高頻運行!氮矽科技發布集成驅動GaN芯片,助力電源能效再攀新高
- 失真度僅0.002%!力芯微推出超低內阻、超低失真4PST模擬開關
- 一“芯”雙電!聖邦微電子發布雙輸出電源芯片,簡化AFE與音頻設計
- 一機適配萬端:金升陽推出1200W可編程電源,賦能高端裝備製造
- 一秒檢測,成本降至萬分之一,光引科技把幾十萬的台式光譜儀“搬”到了手腕上
- AI服務器電源機櫃Power Rack HVDC MW級測試方案
- 突破工藝邊界,奎芯科技LPDDR5X IP矽驗證通過,速率達9600Mbps
- 通過直接、準確、自動測量超低範圍的氯殘留來推動反滲透膜保護
- 從技術研發到規模量產:恩智浦第三代成像雷達平台,賦能下一代自動駕駛!
- 車規與基於V2X的車輛協同主動避撞技術展望
- 數字隔離助力新能源汽車安全隔離的新挑戰
- 汽車模塊拋負載的解決方案
- 車用連接器的安全創新應用
- Melexis Actuators Business Unit
- Position / Current Sensors - Triaxis Hall




