電機驅動模塊的電路設計與實現,全速運轉是關鍵
發布時間:2014-09-27 責任編輯:echolady
【導讀】驅動電路采用H型橋式PWM脈寬調製驅動形式,如圖1所示。電路主要由大功率三極管B772、D882、三極管8050和光電耦合器等元件組成。該驅動電路可控製電機的正轉、反轉和停止。
與單片機的接口電路采用光電耦合器隔離。用單片機的I/O口控製驅動電路的兩個控製端,當控製端PWM1為低電平,控製端PWM2為高電平時,左邊的光電耦合器導通,右邊的光電耦合器不導通,Q1、Q2、Q6、Q7全部深度飽和導通,而右邊的Q3、Q4、Q5、Q8全部截止,由於Q6、Q7深度飽和導通,所以其Vceo隻有約0.3伏,在驅動管上消耗的電壓很小,此時電機正轉。反之,當控製端PWM1為高電平,控製端PWM2為低電平時,電機反轉。當控製端PWM1和PWM2同時為高電平或低電平時,電機停止。

圖1:H型橋式PWM脈寬調製驅動電路
由於電機平均功率滿足如下關係:
其中, P為電機兩端的平均功率; Pmax為電機全速運轉時的功率; A為脈寬。可見,電機的平均功率與脈寬成正比。
設電機轉動後的平均功率為: P=fv,則 APmax=Af=fv。式中 v=Avmax,其中, f為拉力, vmax為電機全速運轉時的速度。可見電機的轉速與脈寬成正比。單片機發出的脈衝信號的占空比決定PWM放大器輸出的電壓平均值的大小。
電路部分參數的計算(以左支路為例進行分析):
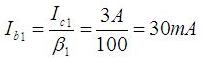
H橋路設計的關鍵是要讓四個功率管始終工作在飽和或者截止狀態下,因此在電路設計時,在功率管(如Q7)前加一級三極管(如Q2)驅動,使得當Q7工作時能處在飽和狀態,不工作時則處於截止狀態。當功率管Q7工作在深度飽和狀態(Ic1=3A電流時),查得B772與D882的電流放大倍數β1≈100 ,此時其基極電流:

因此驅動三極管Q2隻需要提供30mA的電流,由於Q2的放大倍數 β2≈100 ,Q2的基極電流:
由於光電耦合器導通時,接收管的導通電流有50mA 0.3mA,足以使Q2深度飽和。而當Q2不工作時,其Iceo很小,足以使Q7截止。在重負載導通時,功率管7c-e間的電壓隻有0.2V,即三極管處於深度飽和狀態,故該電路的實際效率很高。同理,右支路的參數分析以及工作狀態與左支路相同。
特別推薦
- 噪聲中提取真值!瑞盟科技推出MSA2240電流檢測芯片賦能多元高端測量場景
- 10MHz高頻運行!氮矽科技發布集成驅動GaN芯片,助力電源能效再攀新高
- 失真度僅0.002%!力芯微推出超低內阻、超低失真4PST模擬開關
- 一“芯”雙電!聖邦微電子發布雙輸出電源芯片,簡化AFE與音頻設計
- 一機適配萬端:金升陽推出1200W可編程電源,賦能高端裝備製造
技術文章更多>>
- 邊緣AI的發展為更智能、更可持續的技術鋪平道路
- 每台智能體PC,都是AI時代的新入口
- IAR作為Qt Group獨立BU攜兩項重磅汽車電子應用開發方案首秀北京車展
- 構建具有網絡彈性的嵌入式係統:來自行業領袖的洞見
- 數字化的線性穩壓器
技術白皮書下載更多>>
- 車規與基於V2X的車輛協同主動避撞技術展望
- 數字隔離助力新能源汽車安全隔離的新挑戰
- 汽車模塊拋負載的解決方案
- 車用連接器的安全創新應用
- Melexis Actuators Business Unit
- Position / Current Sensors - Triaxis Hall
熱門搜索
SATA連接器
SD連接器
SII
SIM卡連接器
SMT設備
SMU
SOC
SPANSION
SRAM
SSD
ST
ST-ERICSSON
Sunlord
SynQor
s端子線
Taiyo Yuden
TDK-EPC
TD-SCDMA功放
TD-SCDMA基帶
TE
Tektronix
Thunderbolt
TI
TOREX
TTI
TVS
UPS電源
USB3.0
USB 3.0主控芯片
USB傳輸速度




