音頻放大器的額定功率
發布時間:2010-03-11
中心議題:
關於音頻放大器額定功率的定義,目前已有多種標準。美國聯邦貿易委員會(FTC)針對家庭音頻放大器額定功率建立了公平合理的廣告國際慣例,詳情請參見FTC文檔63FR37233,16CFR,Chapter1,Part432的描述。另一個標準為美國電子工業協會(EIA)製定的SE-101-A。在汽車音頻領域,一些製造商則采用消費電子協會的CEA-2006-A標準,該標準定義了如何對放大器功率以及信號失真進行測試。
如何區分額定功率參數定義的優劣呢?對於一個好的額定功率參數來說,其所有規定參考點都應該是可測量的。
歐姆定律表明了電壓、電流以及負載之間的關係,V=I×R,其中V為電壓;I為電流,單位為安培;R為負載電阻,單位為歐姆。
功率是單位時間內所做的功,表達式為:
P=V×I=V2/R=I2×R。
對於音頻信號,其電壓采用Vrms(均方根)表示,計算功率時,通常采用1000Hz的基準頻率,負載采用阻性負載,因此計算得到的功率為放大器所能承受的平均功率。
FFC的標準更加嚴格,要求放大器須采用頻率為1000Hz的正弦波作為輸入信號,先以1/8總額定輸出功率,預熱1小時(多輸出係統,所有通道都處於開啟狀態),然後在周圍環境空氣溫度不低於25℃、持續時間大於5分鍾的條件下,讓其工作在最大額定功率下,觀測輸入為20Hz至20000Hz的音頻信號時兩通道的功率頻譜。
還有一些製造商則采用額定平均功率,但是在將原始輸入信號放大到一定值時,會產生削波,從而導致較高的失真率。THD+N為10%時,其額定平均功率要比THD+N為1%時大的多。TI公司PurePathDigital功率級器件數據資料中給出了未出現削波和出現削波兩種情況下測得的額定功率值。
1.2額定功率參數的擴展
PMPO表示峰值音樂輸出功率或峰值瞬時性能輸出,這兩種名稱可以相互替換,含義也基本相同。PMPO沒有明確定義測量標準,PMPO額定功率測量無參考點,通常不能用於高保真音頻的性能測試。實際上,製造商提供的PMPO通常是理論上的數值。AB類音頻放大器的電源與數字音頻放大器的電源存在較大差別。對於AB類音頻功率放大器而言,由於模擬元件的物理特性,其PMPO要比數字音頻放大器的高的多。AB類音頻放大器啟動時,電源往往會產生瞬時高壓,從而導致較大的電源毛刺。通常所說的PMPO就是基於這一瞬時啟動電壓定義的。由於客戶總是期望音頻放大器兼具較高的額定功率和較低的價格,因此PMPO也成為一個非常好的賣點。
利li用yong峰feng值zhi電dian壓ya可ke計ji算suan出chu額e定ding峰feng值zhi功gong率lv。額e定ding峰feng值zhi功gong率lv有you時shi指zhi音yin樂le功gong率lv。音yin樂le功gong率lv是shi當dang輸shu入ru動dong態tai範fan圍wei大da的de音yin樂le信xin號hao時shi,音yin頻pin功gong率lv放fang大da器qi對dui音yin樂le信xin號hao的de瞬shun間jian最zui大da輸shu出chu功gong率lv。
[page]
如果音頻放大器的動態餘量規定為3dB,則放大器的峰值功率為平均功率的2倍。例如,如果放大器的額定平均功率為200W,峰值功率為400W。某些高端音頻放大器由於采用性能良好的電源,因此其動態餘量較低,能對任意動態輸入音樂信號提供較高且幾乎相等的輸出功率。
下(xia)麵(mian)介(jie)紹(shao)兩(liang)種(zhong)額(e)定(ding)功(gong)率(lv)的(de)定(ding)義(yi),分(fen)別(bie)為(wei)峰(feng)值(zhi)功(gong)率(lv)和(he)瞬(shun)時(shi)峰(feng)值(zhi)功(gong)率(lv)。為(wei)了(le)促(cu)進(jin)某(mou)些(xie)放(fang)大(da)器(qi)產(chan)品(pin)在(zai)特(te)定(ding)市(shi)場(chang)或(huo)領(ling)域(yu)的(de)推(tui)廣(guang),要(yao)求(qiu)額(e)定(ding)功(gong)率(lv)大(da)於(yu)標(biao)準(zhun)均(jun)方(fang)根(gen)功(gong)率(lv),這(zhe)時(shi)可(ke)用(yong)峰(feng)值(zhi)功(gong)率(lv)和(he)瞬(shun)時(shi)峰(feng)值(zhi)功(gong)率(lv)來(lai)表(biao)示(shi)PMPO。相對於更側重理論定義的PMPO,這兩種額定功率在實際硬件上都是可測量的。下麵以TexasInstruments公司的3款功率級器件TAS5142、TAS5152和TAS5186為例來闡述用於攻略測量的測試設備連接、測試過程。
2測試設備
采用的儀器如下:
AudioPrecisionTM的TwoTM-2322音頻測試係統(AP);
實驗室電源-HP6024A、HPE3610A、HPE3616A以及SorensenDLM60-10;
示波器-TektronixTDS784A;
電流探頭-TektronixTCP202;
電壓探頭-TektronixP6139A;
負載-額定功率為200W的DALE各種阻值的電阻;
參考設計電路板-DAVREF635和DAVREF636。
測試設備連接框圖如圖1所示,並按以下步驟連接;

將電源連接至參考設計電路板;
將阻性負載連接至被測功率級器件的輸出端;
將電流探頭連接至被測功率級器件的輸出端;
將電壓探頭連接至被測功率級器件的輸出端;
將AP連接至被測功率級器件的輸出端。
3功率測試
3.1RMS功率
測試步驟如下:
1)將PVDD電壓(MOSFET電壓)設置為各器件數據資料中所規定的工作電壓典型值。
2)用AP產生一個0dBFS的1kHz連續正弦波。
3)負載阻抗取各數據資料中規定的典型值。
4)調製器增益設置為0dB。
5)用電流探頭捕獲輸出電流的波形。
6)用電壓探頭捕獲輸出電壓的波形。
討論:
根據引言部分給出的功率公式可計算出平均功率:

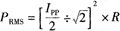
采用示波器捕獲的電壓或電流曲線中的參數(參見表1),可以得出:

其中,IPP為電流峰值,R為負載阻抗。
注意:上述公式適用於0dB(正常)輸入,不適用於發生削波(THS+N為10%)時的情況。
在相同的測試條件下,計算結果與采用AP捕獲的功率測量值相關。在給定的負載阻抗下,AP利用高精度儀表可以捕獲Vrms值,然後用APWin-dowsTM軟件將處理而得的功率值繪製成圖形。[page]

TexasInstruments還提供具有數字增益控製功能的RMS功率測量方式,使THD+N≤10%。利用TI公司的TAS5508或TAS5086型調製器,可以實現數字增益。THD+N為10%時的平均功率要高於正常FTC的THD+N<1%時的額定功率。表2列出了THD+N為10%時的平均功率。

3.2峰值功率
測試步驟如下:
1)將PVDD電壓(MOSFET電壓)設置為各器件數據資料中所規定的工作電壓典型值。
2)用AP產生一個0dBFS的連續1kHz正弦波。
3)負載阻抗取各器件數據資料中規定的典型值。
4)調製器增益設置為0dB。
5)用電流探頭捕獲輸出電流的波形。
6)用電壓探頭捕獲輸出電壓的波形。
測量負載阻抗上的最大電流或最大電壓,算出峰值功率。根據功率計算公式,又可推導出以下的峰值功率計算公式:

采用示波器捕獲的電壓或電流曲線中的參數(參見表3):

其中,IPP為峰峰電流,R為負載電阻。需要說明的是TI在數據資料中未公布PurePathDigital功率級器件的峰值功率。

3.3瞬時峰值功率
測試步驟:
1)將PVDD電壓(MOSFET電壓)設置為各器件數據資料中所規定的工作電壓典型值,例如:TAS5142=34V;TAS5152=37V;TAS5186=39V。
2)用AP產生0dBFS的1kHz正弦波。
3)阻性負載取不同的阻值,並按照以下步驟確定器件關斷之前的最低負載值。
4)在zai器qi件jian自zi身shen不bu發fa生sheng關guan斷duan之zhi前qian,把ba器qi件jian的de數shu字zi增zeng益yi設she置zhi到dao最zui大da,該gai步bu驟zhou與yu上shang一yi步bu驟zhou一yi起qi執zhi行xing。調tiao節jie增zeng益yi直zhi到dao示shi波bo器qi捕bu獲huo一yi個ge完wan整zheng的de正zheng弦xian波bo。
5)用電流探頭捕獲電阻上的峰峰值電流波形。
6)用電壓探頭捕獲峰峰值電壓波形。
同樣在TI的數據資料中也沒有給出PurePathDigital功率級器件的瞬時峰值功率。可以看出,瞬時峰值功率無任何標準。瞬時峰值功率主要取決於係統和測試裝置架構。
TexasInstruments(TI)的PurePathDigital音頻器件性能卓越。TI一直為提高產品的標準和集成度而努力,其中包括為用戶提供全麵的支持文檔如數據資料、應用筆記等等。在測試TI功率級器件時采用正確的工程技術,可以獲得精確的測量結果。資料中提供的音頻性能是通過AP測試設備采集的。所獲得的性能參數(包括額定功率)都是可通過TI評估板追溯和再次驗證的。所有功率級器件數據資料中的額定功率都指的是能連續提供的平均功率。
FTC規定了美國市場產品的額定功率,其他國家不受此要求限製。因此,TI客戶可以為其產品自由選擇顧客接受的額定功率。
- 額定功率基準和基本定義
- 額定功率參數的擴展
- 額定功率測試設備
- 將PVDD電壓(MOSFET電壓)設置為各器件數據資料中所規定的工作電壓典型值
- 用AP產生一個0dBFS的1kHz連續正弦波
- 負載阻抗取各數據資料中規定的典型值
- 調製器增益設置為0dB
- 用電壓探頭捕獲輸出電壓的波形
關於音頻放大器額定功率的定義,目前已有多種標準。美國聯邦貿易委員會(FTC)針對家庭音頻放大器額定功率建立了公平合理的廣告國際慣例,詳情請參見FTC文檔63FR37233,16CFR,Chapter1,Part432的描述。另一個標準為美國電子工業協會(EIA)製定的SE-101-A。在汽車音頻領域,一些製造商則采用消費電子協會的CEA-2006-A標準,該標準定義了如何對放大器功率以及信號失真進行測試。
如何區分額定功率參數定義的優劣呢?對於一個好的額定功率參數來說,其所有規定參考點都應該是可測量的。
歐姆定律表明了電壓、電流以及負載之間的關係,V=I×R,其中V為電壓;I為電流,單位為安培;R為負載電阻,單位為歐姆。
功率是單位時間內所做的功,表達式為:
P=V×I=V2/R=I2×R。
對於音頻信號,其電壓采用Vrms(均方根)表示,計算功率時,通常采用1000Hz的基準頻率,負載采用阻性負載,因此計算得到的功率為放大器所能承受的平均功率。
FFC的標準更加嚴格,要求放大器須采用頻率為1000Hz的正弦波作為輸入信號,先以1/8總額定輸出功率,預熱1小時(多輸出係統,所有通道都處於開啟狀態),然後在周圍環境空氣溫度不低於25℃、持續時間大於5分鍾的條件下,讓其工作在最大額定功率下,觀測輸入為20Hz至20000Hz的音頻信號時兩通道的功率頻譜。
還有一些製造商則采用額定平均功率,但是在將原始輸入信號放大到一定值時,會產生削波,從而導致較高的失真率。THD+N為10%時,其額定平均功率要比THD+N為1%時大的多。TI公司PurePathDigital功率級器件數據資料中給出了未出現削波和出現削波兩種情況下測得的額定功率值。
1.2額定功率參數的擴展
PMPO表示峰值音樂輸出功率或峰值瞬時性能輸出,這兩種名稱可以相互替換,含義也基本相同。PMPO沒有明確定義測量標準,PMPO額定功率測量無參考點,通常不能用於高保真音頻的性能測試。實際上,製造商提供的PMPO通常是理論上的數值。AB類音頻放大器的電源與數字音頻放大器的電源存在較大差別。對於AB類音頻功率放大器而言,由於模擬元件的物理特性,其PMPO要比數字音頻放大器的高的多。AB類音頻放大器啟動時,電源往往會產生瞬時高壓,從而導致較大的電源毛刺。通常所說的PMPO就是基於這一瞬時啟動電壓定義的。由於客戶總是期望音頻放大器兼具較高的額定功率和較低的價格,因此PMPO也成為一個非常好的賣點。
利li用yong峰feng值zhi電dian壓ya可ke計ji算suan出chu額e定ding峰feng值zhi功gong率lv。額e定ding峰feng值zhi功gong率lv有you時shi指zhi音yin樂le功gong率lv。音yin樂le功gong率lv是shi當dang輸shu入ru動dong態tai範fan圍wei大da的de音yin樂le信xin號hao時shi,音yin頻pin功gong率lv放fang大da器qi對dui音yin樂le信xin號hao的de瞬shun間jian最zui大da輸shu出chu功gong率lv。
[page]
如果音頻放大器的動態餘量規定為3dB,則放大器的峰值功率為平均功率的2倍。例如,如果放大器的額定平均功率為200W,峰值功率為400W。某些高端音頻放大器由於采用性能良好的電源,因此其動態餘量較低,能對任意動態輸入音樂信號提供較高且幾乎相等的輸出功率。
下(xia)麵(mian)介(jie)紹(shao)兩(liang)種(zhong)額(e)定(ding)功(gong)率(lv)的(de)定(ding)義(yi),分(fen)別(bie)為(wei)峰(feng)值(zhi)功(gong)率(lv)和(he)瞬(shun)時(shi)峰(feng)值(zhi)功(gong)率(lv)。為(wei)了(le)促(cu)進(jin)某(mou)些(xie)放(fang)大(da)器(qi)產(chan)品(pin)在(zai)特(te)定(ding)市(shi)場(chang)或(huo)領(ling)域(yu)的(de)推(tui)廣(guang),要(yao)求(qiu)額(e)定(ding)功(gong)率(lv)大(da)於(yu)標(biao)準(zhun)均(jun)方(fang)根(gen)功(gong)率(lv),這(zhe)時(shi)可(ke)用(yong)峰(feng)值(zhi)功(gong)率(lv)和(he)瞬(shun)時(shi)峰(feng)值(zhi)功(gong)率(lv)來(lai)表(biao)示(shi)PMPO。相對於更側重理論定義的PMPO,這兩種額定功率在實際硬件上都是可測量的。下麵以TexasInstruments公司的3款功率級器件TAS5142、TAS5152和TAS5186為例來闡述用於攻略測量的測試設備連接、測試過程。
2測試設備
采用的儀器如下:
AudioPrecisionTM的TwoTM-2322音頻測試係統(AP);
實驗室電源-HP6024A、HPE3610A、HPE3616A以及SorensenDLM60-10;
示波器-TektronixTDS784A;
電流探頭-TektronixTCP202;
電壓探頭-TektronixP6139A;
負載-額定功率為200W的DALE各種阻值的電阻;
參考設計電路板-DAVREF635和DAVREF636。
測試設備連接框圖如圖1所示,並按以下步驟連接;

將電源連接至參考設計電路板;
將阻性負載連接至被測功率級器件的輸出端;
將電流探頭連接至被測功率級器件的輸出端;
將電壓探頭連接至被測功率級器件的輸出端;
將AP連接至被測功率級器件的輸出端。
3功率測試
3.1RMS功率
測試步驟如下:
1)將PVDD電壓(MOSFET電壓)設置為各器件數據資料中所規定的工作電壓典型值。
2)用AP產生一個0dBFS的1kHz連續正弦波。
3)負載阻抗取各數據資料中規定的典型值。
4)調製器增益設置為0dB。
5)用電流探頭捕獲輸出電流的波形。
6)用電壓探頭捕獲輸出電壓的波形。
討論:
根據引言部分給出的功率公式可計算出平均功率:
采用示波器捕獲的電壓或電流曲線中的參數(參見表1),可以得出:
其中,IPP為電流峰值,R為負載阻抗。
注意:上述公式適用於0dB(正常)輸入,不適用於發生削波(THS+N為10%)時的情況。
在相同的測試條件下,計算結果與采用AP捕獲的功率測量值相關。在給定的負載阻抗下,AP利用高精度儀表可以捕獲Vrms值,然後用APWin-dowsTM軟件將處理而得的功率值繪製成圖形。[page]

TexasInstruments還提供具有數字增益控製功能的RMS功率測量方式,使THD+N≤10%。利用TI公司的TAS5508或TAS5086型調製器,可以實現數字增益。THD+N為10%時的平均功率要高於正常FTC的THD+N<1%時的額定功率。表2列出了THD+N為10%時的平均功率。

3.2峰值功率
測試步驟如下:
1)將PVDD電壓(MOSFET電壓)設置為各器件數據資料中所規定的工作電壓典型值。
2)用AP產生一個0dBFS的連續1kHz正弦波。
3)負載阻抗取各器件數據資料中規定的典型值。
4)調製器增益設置為0dB。
5)用電流探頭捕獲輸出電流的波形。
6)用電壓探頭捕獲輸出電壓的波形。
測量負載阻抗上的最大電流或最大電壓,算出峰值功率。根據功率計算公式,又可推導出以下的峰值功率計算公式:
采用示波器捕獲的電壓或電流曲線中的參數(參見表3):
其中,IPP為峰峰電流,R為負載電阻。需要說明的是TI在數據資料中未公布PurePathDigital功率級器件的峰值功率。

3.3瞬時峰值功率
測試步驟:
1)將PVDD電壓(MOSFET電壓)設置為各器件數據資料中所規定的工作電壓典型值,例如:TAS5142=34V;TAS5152=37V;TAS5186=39V。
2)用AP產生0dBFS的1kHz正弦波。
3)阻性負載取不同的阻值,並按照以下步驟確定器件關斷之前的最低負載值。
4)在zai器qi件jian自zi身shen不bu發fa生sheng關guan斷duan之zhi前qian,把ba器qi件jian的de數shu字zi增zeng益yi設she置zhi到dao最zui大da,該gai步bu驟zhou與yu上shang一yi步bu驟zhou一yi起qi執zhi行xing。調tiao節jie增zeng益yi直zhi到dao示shi波bo器qi捕bu獲huo一yi個ge完wan整zheng的de正zheng弦xian波bo。
5)用電流探頭捕獲電阻上的峰峰值電流波形。
6)用電壓探頭捕獲峰峰值電壓波形。
同樣在TI的數據資料中也沒有給出PurePathDigital功率級器件的瞬時峰值功率。可以看出,瞬時峰值功率無任何標準。瞬時峰值功率主要取決於係統和測試裝置架構。
TexasInstruments(TI)的PurePathDigital音頻器件性能卓越。TI一直為提高產品的標準和集成度而努力,其中包括為用戶提供全麵的支持文檔如數據資料、應用筆記等等。在測試TI功率級器件時采用正確的工程技術,可以獲得精確的測量結果。資料中提供的音頻性能是通過AP測試設備采集的。所獲得的性能參數(包括額定功率)都是可通過TI評估板追溯和再次驗證的。所有功率級器件數據資料中的額定功率都指的是能連續提供的平均功率。
FTC規定了美國市場產品的額定功率,其他國家不受此要求限製。因此,TI客戶可以為其產品自由選擇顧客接受的額定功率。
特別推薦
- 噪聲中提取真值!瑞盟科技推出MSA2240電流檢測芯片賦能多元高端測量場景
- 10MHz高頻運行!氮矽科技發布集成驅動GaN芯片,助力電源能效再攀新高
- 失真度僅0.002%!力芯微推出超低內阻、超低失真4PST模擬開關
- 一“芯”雙電!聖邦微電子發布雙輸出電源芯片,簡化AFE與音頻設計
- 一機適配萬端:金升陽推出1200W可編程電源,賦能高端裝備製造
技術文章更多>>
- e絡盟與Same Sky簽署全球分銷協議,拓展高性能元器件版圖
- 告別“偏色”煩惱:光譜傳感器如何重塑手機攝影的真實色彩
- 從“掃描”到“洞察”:Hyperlux ID iToF技術如何攻克30米測距極限
- 解鎖算力芯片的“速度密碼”:SmartDV全棧IP方案深度解析
- 發燒友福音!XMOS推出32段EQ調節與一鍵升頻功能
技術白皮書下載更多>>
- 車規與基於V2X的車輛協同主動避撞技術展望
- 數字隔離助力新能源汽車安全隔離的新挑戰
- 汽車模塊拋負載的解決方案
- 車用連接器的安全創新應用
- Melexis Actuators Business Unit
- Position / Current Sensors - Triaxis Hall
熱門搜索
光電顯示
光繼電器
光控可控矽
光敏電阻
光敏器件
光敏三極管
光收發器
光通訊器件
光纖連接器
軌道交通
國防航空
過流保護器
過熱保護
過壓保護
焊接設備
焊錫焊膏
恒溫振蕩器
恒壓變壓器
恒壓穩壓器
紅外收發器
紅外線加熱
厚膜電阻
互連技術
滑動分壓器
滑動開關
輝曄
混合保護器
混合動力汽車
混頻器
霍爾傳感器




