PCB設計指導:如何改進高頻信號傳輸中的SMT焊盤設計?
發布時間:2015-03-26 責任編輯:echolady
【導讀】信(xin)號(hao)或(huo)電(dian)磁(ci)波(bo)在(zai)高(gao)頻(pin)領(ling)域(yu)必(bi)須(xu)沿(yan)著(zhe)均(jun)勻(yun)特(te)征(zheng)阻(zu)抗(kang)的(de)傳(chuan)輸(shu)途(tu)徑(jing)進(jin)行(xing)傳(chuan)播(bo)。但(dan)是(shi),一(yi)但(dan)遇(yu)到(dao)阻(zu)抗(kang)失(shi)配(pei)或(huo)不(bu)連(lian)續(xu)的(de)現(xian)象(xiang),就(jiu)會(hui)有(you)一(yi)部(bu)分(fen)信(xin)號(hao)被(bei)反(fan)射(she)回(hui)發(fa)送(song)端(duan),剩(sheng)餘(yu)部(bu)分(fen)電(dian)磁(ci)波(bo)則(ze)會(hui)繼(ji)續(xu)傳(chuan)輸(shu)到(dao)接(jie)收(shou)端(duan)。本(ben)文(wen)主(zhu)要(yao)講(jiang)解(jie)的(de)就(jiu)是(shi)在(zai)PCB設計過程中,如何改進高頻信號傳輸中的SMT焊盤的設計。
xinhaofansheheshuaijiandechengduqujueyuzukangbulianxudechengdu。dangshipeizukangfuduzengjiashi,gengdabufendexinhaohuibeifanshe,jieshouduanguanchadaodexinhaoshuaijianhuoliehuayejiugengduo。
阻抗失配現象在交流耦合(又稱隔直)電容的SMT焊盤、板到板連接器以及電纜到板連接器(如SMA)處經常會遇到。
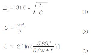
在如圖1所示的交流耦合電容SMT焊盤的案例中,沿著具有100Ω差分阻抗和5mil銅箔寬度的PCB走線傳播的信號,在到達具有更寬銅箔(如0603封裝的30mil寬)的SMT焊盤時將遇到阻抗不連續性。這種現象可以用式(1)和式(2)解釋。銅箔的橫截麵積或寬度的增加將增大條狀電容,進而給傳輸通道的特征阻抗帶來電容不連續性,即負的浪湧。



C =條狀電容(單位:pF);
L =條狀電感(單位:nH);
Zo =特征阻抗(單位:Ω);
ε=介電常數;
w =SMT焊盤寬度;
l =SMT焊盤長度;
d =SMT焊盤和下方參考平麵之間的距離;
t =SMT焊盤的厚度。
相同概念也可以應用於板到板(B2B)和電纜到板(C2B)連接器的SMT焊盤。
下麵將通過TDR和插損分析完成上述概念的驗證。分析是通過在EMPro軟件中建立SMT 焊盤3D 模型, 然後導入Keysight ADS中進行TDR和插損仿真完成的。
[page]
分析交流耦合電容的SMT焊盤效應
在EMPro中建立一個具有中等損耗基板的SMT的3D模型,其中一對微帶差分走線長2英寸、寬5mil,采用單端模式,與其參考平麵距離3.5mil,這對走線從30mil寬SMT焊盤的一端進入,並從另一端引出。


分析B2B連接器的SMT焊盤效應
在EMPro中建立一個B2B連接器的SMT焊盤的3D模型,其中連接器引腳間距是20mil,引腳寬度是6mil,焊盤連接到一對長5英寸、寬5mil,采用單端模式的微帶差分走線,走線距其參考平麵3.5mil。SMT焊盤的厚度是40mil,包括連接器引腳和焊錫在內的這個厚度幾乎是微帶PCB走線厚度的40倍。


結語
本文的分析證明,裁剪掉SMT焊盤正下方的參考平麵區域可以減小阻抗失配,增加傳輸線的帶寬。SMT焊盤與內部參考銅箔之間的距離取決於SMT焊盤的寬度以及包括連接器引腳和焊錫在內的SMT焊盤有效厚度。在PCB投產之前應先進行3D建模和仿真,確保構建的傳輸通道具有良好的信號完整性。
相關閱讀:
選擇PCB元件的技巧從何談起?那就從封裝開始吧
PCB電路板為什麼要做阻抗?意義何在
瞅準PCB市場時機,各廠商均"擴充糧草",你瞅準沒?
特別推薦
- 噪聲中提取真值!瑞盟科技推出MSA2240電流檢測芯片賦能多元高端測量場景
- 10MHz高頻運行!氮矽科技發布集成驅動GaN芯片,助力電源能效再攀新高
- 失真度僅0.002%!力芯微推出超低內阻、超低失真4PST模擬開關
- 一“芯”雙電!聖邦微電子發布雙輸出電源芯片,簡化AFE與音頻設計
- 一機適配萬端:金升陽推出1200W可編程電源,賦能高端裝備製造
技術文章更多>>
- 算力爆發遇上電源革新,大聯大世平集團攜手晶豐明源線上研討會解鎖應用落地
- 築基AI4S:摩爾線程全功能GPU加速中國生命科學自主生態
- 一秒檢測,成本降至萬分之一,光引科技把幾十萬的台式光譜儀“搬”到了手腕上
- AI服務器電源機櫃Power Rack HVDC MW級測試方案
- 突破工藝邊界,奎芯科技LPDDR5X IP矽驗證通過,速率達9600Mbps
技術白皮書下載更多>>
- 車規與基於V2X的車輛協同主動避撞技術展望
- 數字隔離助力新能源汽車安全隔離的新挑戰
- 汽車模塊拋負載的解決方案
- 車用連接器的安全創新應用
- Melexis Actuators Business Unit
- Position / Current Sensors - Triaxis Hall
熱門搜索
微波功率管
微波開關
微波連接器
微波器件
微波三極管
微波振蕩器
微電機
微調電容
微動開關
微蜂窩
位置傳感器
溫度保險絲
溫度傳感器
溫控開關
溫控可控矽
聞泰
穩壓電源
穩壓二極管
穩壓管
無焊端子
無線充電
無線監控
無源濾波器
五金工具
物聯網
顯示模塊
顯微鏡結構
線圈
線繞電位器
線繞電阻




