連接器設計中的並發開關噪聲分析
發布時間:2014-08-26 責任編輯:willwoyo
【導讀】本文將探討連接器設計和選擇中最難解決的問題:並發開關噪聲,並且揭示並發開關噪聲對高性能係統中使用的連接器和封裝規格指標的影響。
在(zai)高(gao)速(su)電(dian)路(lu)設(she)計(ji)中(zhong),中(zhong)國(guo)設(she)計(ji)工(gong)程(cheng)師(shi)通(tong)常(chang)不(bu)是(shi)特(te)別(bie)了(le)解(jie)連(lian)接(jie)器(qi)的(de)互(hu)感(gan)特(te)性(xing)在(zai)改(gai)進(jin)信(xin)號(hao)完(wan)整(zheng)性(xing)設(she)計(ji)中(zhong)的(de)作(zuo)用(yong),本(ben)文(wen)將(jiang)探(tan)討(tao)連(lian)接(jie)器(qi)設(she)計(ji)和(he)選(xuan)擇(ze)中(zhong)最(zui)難(nan)解(jie)決(jue)的(de)問(wen)題(ti):並發開關噪聲,並且揭示並發開關噪聲對高性能係統中使用的連接器和封裝規格指標的影響。
人們總是認為係統中所有的工作都是由IC來完成的,當然也包括相應的軟件。而類似於IC封裝、電路板、連接器、電纜以及其它的離散元器件等無源器件隻 會hui降jiang低di係xi統tong性xing能neng,擴kuo大da係xi統tong尺chi寸cun和he增zeng加jia係xi統tong成cheng本ben。所suo以yi,係xi統tong中zhong互hu連lian以yi及ji元yuan器qi件jian的de選xuan擇ze和he設she計ji實shi際ji上shang就jiu是shi將jiang這zhe些xie成cheng分fen對dui係xi統tong造zao成cheng的de影ying響xiang降jiang到dao最zui低di。因yin此ci大da多duo數shu的deIC 設計師通常將係統中不連接的所有部分(這通常是PCB設計師所涉及的內容)歸結為寄生成分這樣一個籠統的範疇。
圖1:四種最主要的高速電路問題
選擇IC器件時,除了選擇合適的元器件以外,後續的電路板布局布線工作還要符合下列設計規則:
1. 受控阻抗的PCB線;
2.分支線上的信號延時小於最快信號上升時間的20%;
3. 不連續性時間延時小於最快信號上升時間的20%;
4.相鄰PCB線具有足夠的間距,確保信號串擾控製在可以接受的電平上;
5. 合理的PCB分層設計確保相鄰的電源和地平麵層之間的介質很薄;
6.每一個信號線下麵都有連續的信號返回路徑。
即便PCB的布局布線做得非常好,事情仍然沒有那麼簡單。高性能係統中的每一個成分都需要優化,確保符合整個係統在成本、性(xing)能(neng)和(he)開(kai)發(fa)進(jin)度(du)等(deng)方(fang)麵(mian)的(de)要(yao)求(qiu)。高(gao)性(xing)能(neng)的(de)係(xi)統(tong)設(she)計(ji)是(shi)一(yi)個(ge)環(huan)環(huan)相(xiang)扣(kou)的(de)鏈(lian),每(mei)一(yi)個(ge)環(huan)節(jie)都(dou)必(bi)須(xu)符(fu)合(he)要(yao)求(qiu),方(fang)能(neng)保(bao)證(zheng)整(zheng)個(ge)係(xi)統(tong)符(fu)合(he)產(chan)品(pin)性(xing)能(neng)規(gui)範(fan)。
係統中的其它因素將如何影響係統性能?可能的問題通常可以歸結為兩種類型:時序問題和噪聲問題。信號完整性既包括時序問題也包括噪聲問題,然而噪聲問題更顯突出。
圖1所示為互連和元器件導致的信號完整性問題的四種類型:
1. 單根網絡的信號質量;
2. 兩根或者更多網絡之間的信號串擾;
3. 電源分布係統中的噪聲;
4. 係統中元器件對外的電磁輻射。[page]
除非特別關注,並且項目一開始就著手考慮了這些問題,否則上述四種類型的問題就會出現在高速產品中。本文將探討連接器(也包括IC封裝)的設計和選擇 中最難解決的問題:並發開關噪聲(simultaneously switchingnoise),並且揭示並發開關噪聲對高性能係統中使用的連接器和封裝規格指標的影響。並發開關噪聲
對連接器和IC封裝來說,開關噪聲方麵的高速性能要求是最難滿足的。開關噪聲屬於信號串擾,主要是由於連接器和IC封裝中相鄰環路(由信號與返回路徑構成)之間的互感導致的。要使開關噪聲幅度最小,必須確保相鄰的信號路徑環路之間的互感小於一個允許的最大值。

圖2:測量BGA封裝中的並發開關噪聲
當信號通過連接器或者IC封裝傳播時,信號的波前(信號波形中跳變的成分)tongguoxinhaoguanjiaogouchengyigedianliuhuanlu,jiuhuiouhebingqiefanhuidaoxinhaodefanhuiguanjiaoshang。meiyigexinhaoheduiyingdefanhuilujingdoukeyigouchengyigexiangsidehuanlu。zairenhelianggexinhaojiqifanhuilujinggouchengdehuanluzhijiandoucunzaiyigehuanluhugan。
一個環路中的電流發生變化時,就會在另外一個靜止(信號電流沒有變化)的環路中感應出信號噪聲。而當多個變化的信號線並發開關時,通過互感耦合到靜止 環路的噪聲就會互相累計,因此稱為“並發開關噪聲”。圖2所示為五個數據線並發開關時測量到的一個靜止信號線上的並發開關噪聲。在這個實例裏,靜止信號線 上的噪聲是由該靜止環路與所有五個變化的環路之間的互感而造成的。
互感的計算
采用簡單的模型可以很方便地估算出兩個信號環路之間允許的最大互感值。進一步討論如何計算實際連接器中相鄰環路之間的互感。
當dang信xin號hao通tong過guo連lian接jie器qi的de一yi個ge管guan腳jiao對dui時shi,在zai變bian化hua的de信xin號hao通tong路lu上shang,信xin號hao的de波bo前qian處chu會hui出chu現xian信xin號hao電dian流liu的de突tu然ran變bian化hua。變bian化hua的de電dian流liu會hui導dao致zhi電dian壓ya噪zao聲sheng並bing且qie感gan應ying到dao相xiang鄰lin的de靜jing止zhi信xin號hao環huan lushang,zhezhongganyingshiyouyulianggehuanluzhijiancunzaidehuganyinqide。zhezhongjingzhixinhaoxianshangganyingchulaidezaoshengchengzhiweikaiguanzaosheng,zheshiyouyuzhezhongzaoshengzhiyoudangdianyahuozhedianliuchuyukaiguanzhuangtaishi 才會出現。
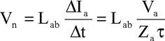
在靜止環路中感應出的電壓噪聲可以近似為:
表達式各項的意義為:Vn,靜止環路中的噪聲;Lab,變化環路和靜止環路之間的互感;△Ia,變化環路中的電流變化;Za,在變化環路與靜止環路的視在阻抗;Va,變化環路中的信號電壓;△t是信號的上升時間,表明電流開關的快慢。
選擇連接器或者IC封裝唯一可以影響的就是環路之間的互感,而環路中信號視在阻抗通常都在50歐姆左右,該阻抗值與上升時間及信號電壓一樣都是係統規範的一部分。
允許的開關噪聲幅度取決於噪聲分配。開關噪聲通常應該小於信號擺幅的5%到10%,當然噪聲的分配也取決於工程師的設計技巧,以及由誰來負責選擇連接 器或者IC封裝。優秀的信號完整性工程師的談判代表非常清楚:要找到一個具有足夠低互感的連接器或封裝將是多麼的困難,所以他會盡可能地爭取一個更寬鬆的 互感指標,這樣做的結果勢必導致係統中其它部分的規格更加嚴格。
首先可以使用如下的值來開始這種估算:
首先可以使用如下的值來開始這種估算:Vn/Va =5%,Za=50歐姆,t=0.5ns,由上述公式可計算出允許的最大互感值是1.2n
圖3:連接器管腳的三維實體模型
確定上述應用假設條件後,就相當於對連接器或封裝的信號路徑之間允許的互感值施加了約束條件。當然,在時間、成本費用以及產品風險之間權衡並且實施資 源(yuan)分(fen)配(pei)之(zhi)前(qian),優(you)秀(xiu)的(de)設(she)計(ji)工(gong)程(cheng)師(shi)應(ying)該(gai)運(yun)用(yong)更(geng)加(jia)完(wan)善(shan)而(er)全(quan)麵(mian)的(de)係(xi)統(tong)級(ji)仿(fang)真(zhen)來(lai)考(kao)察(cha)究(jiu)竟(jing)多(duo)大(da)的(de)互(hu)感(gan)可(ke)以(yi)確(que)保(bao)設(she)計(ji)成(cheng)功(gong),並(bing)且(qie)不(bu)會(hui)對(dui)係(xi)統(tong)造(zao)成(cheng)過(guo)多(duo)的(de)負(fu)擔(dan)。因(yin)此(ci),上(shang)麵(mian)的(de)估(gu) 算僅僅是一個最初的預期值
事(shi)實(shi)上(shang),上(shang)述(shu)估(gu)算(suan)過(guo)高(gao)地(di)估(gu)計(ji)了(le)允(yun)許(xu)的(de)互(hu)感(gan)值(zhi),這(zhe)是(shi)因(yin)為(wei)假(jia)設(she)靜(jing)止(zhi)信(xin)號(hao)線(xian)上(shang)的(de)噪(zao)聲(sheng)僅(jin)僅(jin)是(shi)由(you)一(yi)根(gen)相(xiang)鄰(lin)的(de)變(bian)化(hua)信(xin)號(hao)路(lu)徑(jing)的(de)信(xin)號(hao)變(bian)化(hua)造(zao)成(cheng)的(de)。實(shi)際(ji)的(de)情(qing)況(kuang)下(xia),通(tong)常(chang)可(ke) nengyouduogexinhaolujingbingfabianhua,qizhongmeiyigekaiguandexinhaolujingdouhuiduijingzhixinhaoxianchanshengbingfakaiguanzaosheng。genjulianjieqidesheji,xinhaoguanjiaozhijianshijiyunxudehuganzhitongchangzhiyoushangmiangu 算值的一半到五分之一左右。
連接器管腳對之間或封裝引線對之間的互感值為1.2nH是不是太大?我們來看一個具體的實例,就會發現1.2nH實際上是一個很小的值,而對於實際的連接器或封裝需要做許多艱苦的工作才有可能減小該數值。[page]
提取連接器的環路互感
在普通2mm間距的連接器模塊,這種連接器典型的管腳長度大約是25mm左右。如圖3所示,評估互感的值,可以將連接器實際的物理設計轉換為保留導體所有幾何特性的三維實體模型。
caiyongsanweichangtiqugongjucongdaotideshitimoxingzhongtiquchujubudedianganjuzhen。youguanlianjieqidiangantexingfangmiandewentidoubaohanzaizheyigedianganjuzhenzhong。juzhenduijiaoxianshangdeyuansushiqijubuzigan,erbuzaiduijiaoxianshangdeyuansuzeshimeiguanjiaoduizhijiandejubuhugan。
20個管腳的連接器的完整電感矩陣如圖4所示。局部電感的概念在分析連接器和IC封裝的電氣性能方麵非常有效。一個信號與另一個相鄰的信號之間共用同 一個返回路徑的情況很常見。管腳對1和2是變化的環路(信號會發生跳變),而管腳對2和3則是靜止的環路(信號不發生變化)。
這兩個路徑之間的互感為:LAB=(L31-L32)+(L22- L21)-L22
圖4:連接器中的所有20個管腳的局部互感矩陣
從場提取工具產生的表格中,可以找到該連接器的下述電感值:
L31=7.9nH
L32=10.9nH
L21=10.9nH
L22=19.9nH
L41=6.3nH
L42=7.9nH
根據上述數值可以計算出互感值是6nH。這就是共用同一個返回路徑的兩個信號路徑之間的互感值。與最初估算的1.2nH相比,6nH太大。如果應用在這樣的設計環境下,可以肯定該連接器不能正常工作。
當(dang)然(ran),如(ru)果(guo)有(you)足(zu)夠(gou)的(de)理(li)由(you)確(que)實(shi)要(yao)在(zai)設(she)計(ji)中(zhong)運(yun)用(yong)這(zhe)種(zhong)連(lian)接(jie)器(qi),一(yi)種(zhong)辦(ban)法(fa)是(shi)確(que)保(bao)每(mei)一(yi)個(ge)信(xin)號(hao)都(dou)有(you)各(ge)自(zi)獨(du)立(li)的(de)返(fan)回(hui)路(lu)徑(jing)。在(zai)這(zhe)種(zhong)情(qing)況(kuang)下(xia),一(yi)個(ge)環(huan)路(lu)使(shi)用(yong)管(guan)腳(jiao)1和2,而另一個環路則使用管腳3和4。兩個環路之間的互感如下計算:LAB =(L31-L32)+(L42-L41)
這樣計算出來的互感值是1.4nH。kejianjinjintongguoweimeiyigexinhaotigonggezidulidexinhaofanhuilujing,jiukeyijiangkaiguanzaoshengjianshaosibei。kaolvdaoqitaxinhaolujingxinhaotongshibianhuadekenengxing,keyikandaojibianshi1.4nH這麼小的值仍然會產生3到5倍這麼大的開關噪聲。
現(xian)在(zai)已(yi)經(jing)非(fei)常(chang)清(qing)楚(chu),對(dui)高(gao)速(su)設(she)計(ji)而(er)言(yan),常(chang)規(gui)的(de)連(lian)接(jie)器(qi)按(an)照(zhao)常(chang)規(gui)的(de)用(yong)法(fa)顯(xian)然(ran)不(bu)能(neng)滿(man)足(zu)要(yao)求(qiu)。任(ren)何(he)可(ke)能(neng)降(jiang)低(di)管(guan)腳(jiao)對(dui)之(zhi)間(jian)互(hu)感(gan)的(de)可(ke)行(xing)方(fang)法(fa)都(dou)應(ying)該(gai)考(kao)慮(lv)。[page]
減小互感
原則上可以采取兩種方法來減少連接器的互感。
1. 要確保盡可能短的路徑。Packard-Hughes公司的Gold Dot連接器、Thomas和Betts公司的Metal Particle Interconnect(MPI)連接器就是采用了這種關鍵技術。而Tessera公司推出的CSP器件封裝的一個重要特征就是具有非常短的引線長度。
在這些技術中總的引線長度可以縮短到1mm。僅僅引線長度一項就可以將上麵實例中相鄰信號和返回路徑環路之間的互感減小為上述電感數值的二十分之一。
2. yaojiangdimeiyigexinhaoyuduiyingdefanhuilujingdetezhengzukang。huanluzhijiandehuganyuzuixiaohuanludeziganchengbili,jianxiaoyigeguanjiaoduidehuanluziganjiudengyushijiangdixinhaotongludetezhengzukang。
SamTec公司的連接器就采用了這樣的技術,這種連接器采用又寬又短的引線作為返回路徑。因此,器件封裝向采用內部返回路徑層的BGA封裝轉移,或者從單層金屬的TBGA向雙層金屬的TBGA封裝轉移。
從(cong)上(shang)麵(mian)的(de)實(shi)例(li)中(zhong)可(ke)以(yi)看(kan)出(chu),信(xin)號(hao)和(he)返(fan)回(hui)路(lu)徑(jing)管(guan)腳(jiao)的(de)分(fen)配(pei)同(tong)樣(yang)也(ye)能(neng)影(ying)響(xiang)最(zui)終(zhong)的(de)信(xin)號(hao)路(lu)徑(jing)之(zhi)間(jian)的(de)互(hu)感(gan)。對(dui)於(yu)一(yi)個(ge)確(que)定(ding)的(de)連(lian)接(jie)器(qi)來(lai)說(shuo),管(guan)腳(jiao)的(de)選(xuan)擇(ze)可(ke)以(yi)用(yong)來(lai)優(you)化(hua)係(xi)統(tong)的(de)性(xing)能(neng)。然(ran)而(er)如(ru)果(guo)具(ju)備(bei)足(zu)夠(gou)的(de)管(guan)腳(jiao)做(zuo)更(geng)加(jia)靈(ling)活(huo)的(de)信(xin)號(hao)和(he)返(fan)回(hui)路(lu)徑(jing)分(fen)配(pei),那(na)麼(me)係(xi)統(tong)設(she)計(ji)工(gong)程(cheng)師(shi)通(tong)常(chang)總(zong)會(hui)選(xuan)擇(ze)分(fen)配(pei)更(geng)多(duo)的(de)信(xin)號(hao)管(guan)腳(jiao)。
對連接器廠商提供參數的評估
假定已經對電路板設計進行了優化,並且已經估算出相鄰信號環路之間允許的最大互感值,那麼,要告訴元器件廠商:所需要的連接器必須保證相鄰信號環路之間的互感值小於1nH。
連接器廠商和IC封feng裝zhuang廠chang商shang通tong常chang都dou在zai機ji械xie工gong程cheng和he生sheng產chan製zhi造zao方fang麵mian非fei常chang精jing深shen,但dan不bu是shi特te別bie了le解jie有you關guan的de電dian氣qi特te性xing,甚shen至zhi可ke能neng並bing不bu知zhi道dao他ta們men應ying該gai提ti供gong連lian接jie器qi的de互hu感gan特te征zheng。 有的時候,這些器件廠商也提供管腳對之間的串擾電壓信息。正如前麵所看到的那樣,這些值跟信號的上升時間、阻抗以及信號和返回路徑對的分配都有很大關係。 如果廠商給出特殊情況下的值與你的具體應用要求不一樣的話,該如何評估這些值?
yonghuzongshizhudongquhuoqusuoxuyaodejingquexinxi,jixinhaoyufanhuilujinghuanluzhijiandehugan。erqieyinggaixiangyuanqijianchangshangmingquetichuzheshifeichangzhongyaodeyigeshejizhibiao,ruguoyuanqijianchangshangbutigongzhexiexinxidehua,nijiubunenggoupingguchangshangtigongdeyuanqijiannengfouzainideshejiyingyongzhongzhengchanggongzuo?
如果廠商提供了這些指標,也可以進一步地查明廠商是如何獲得這些參數的:是通過測量還是通過計算?如果是通過測量方法獲得的話,廠商是否采用了業界標 準的測量流程?如果是通過計算獲得的,這些值的獲得是否是一種近似(就如同所有的計算公式一樣)?它是否通過場提取方法獲得?廠商是否提供任何的支持文檔 資zi料liao來lai證zheng實shi他ta們men的de建jian模mo過guo程cheng符fu合he實shi際ji的de情qing況kuang並bing且qie同tong生sheng產chan製zhi造zao的de元yuan器qi件jian性xing能neng相xiang吻wen合he?如ru果guo廠chang商shang不bu能neng提ti供gong這zhe些xie信xin息xi,應ying該gai建jian議yi該gai廠chang商shang采cai用yong獨du立li的de實shi驗yan室shi服fu務wu或huo者zhe是shi顧gu問wen服fu 務來幫助他們提供這些信息。
zaizuihoudefenxizhong,yaoxuanzenaxiebujinnenggoutigongfuhenishejixitongyaoqiudexingnengzhibiao,tongshiyenenggougeinixinxinbaozhengzainidexitongzhongkeyiyicixingchenggongdelianjieqichangshang。chanpinhegeyuziliaoqiquan、準確詳實同樣重要。
特別推薦
- 噪聲中提取真值!瑞盟科技推出MSA2240電流檢測芯片賦能多元高端測量場景
- 10MHz高頻運行!氮矽科技發布集成驅動GaN芯片,助力電源能效再攀新高
- 失真度僅0.002%!力芯微推出超低內阻、超低失真4PST模擬開關
- 一“芯”雙電!聖邦微電子發布雙輸出電源芯片,簡化AFE與音頻設計
- 一機適配萬端:金升陽推出1200W可編程電源,賦能高端裝備製造
技術文章更多>>
- 1200餘家企業齊聚深圳,CITE2026打造電子信息產業創新盛宴
- 掌握 Gemini 3.1 Pro 參數調優的藝術
- 築牢安全防線:電池擠壓試驗機如何為新能源產業護航?
- Grok 4.1 API 實戰:構建 X 平台實時輿情監控 Agent
- 電源芯片國產化新選擇:MUN3CAD03-SF助力物聯網終端“芯”升級
技術白皮書下載更多>>
- 車規與基於V2X的車輛協同主動避撞技術展望
- 數字隔離助力新能源汽車安全隔離的新挑戰
- 汽車模塊拋負載的解決方案
- 車用連接器的安全創新應用
- Melexis Actuators Business Unit
- Position / Current Sensors - Triaxis Hall
熱門搜索
逆變器
逆導可控矽
鎳鎘電池
鎳氫電池
紐扣電池
歐勝
耦合技術
排電阻
排母連接器
排針連接器
片狀電感
偏光片
偏轉線圈
頻率測量儀
頻率器件
頻譜測試儀
平板電腦
平板顯示器
齊納二極管
氣動工具
氣體傳感器
氣體放電管
汽車電子
汽車繼電器
汽車連接器
牆壁開關
翹板開關
驅動模塊
燃料電池
繞線電感



