詳細介紹功率MOSFET選擇指南
發布時間:2018-10-17 責任編輯:xueqi
【導讀】為了限製本討論的範圍,請考慮采用同步降壓轉換器拓撲的MOSFET選擇方法,該方法適用於PC主板和電信應用的DC / DC轉換器。為特定應用尋找合適的MOSFET涉及最小化損耗並了解這些損耗如何取決於開關頻率,電流,占空比以及開關上升和下降時間。此信息指導選擇工具開發。
鑒於現有的MOSFET選擇範圍廣泛,以及為主板電源分配的不斷縮小的空間,使用可靠,一致的方法選擇正確的MOSFET變得越來越重要。這種方法可以加速開發周期,同時優化特定於應用的設計。
經常通過功率MOSFET選擇過程的PCzhubanhedianyuanshejirenyuankeyicongshiyongdianzibiaogedezidonghuaguochengzhongshouyi。zhezhongchangyonggongjukeyixianzhesuoduanxuanzeshijian,tongshiweishejirenyuantigongyigeqinmi,zhubudexuanzeguocheng。yusuanfabianchengyuyanxiangbi,zaidianzibiaogezhongshixianxuanzefangfatigonglegengdadejiaohu,yiyuweitiao,yijiyongyugoujianheweihulingjianshujukudejiandanguiding。
為了限製本討論的範圍,請考慮采用同步降壓轉換器拓撲的MOSFET選擇方法,該方法適用於PC主板和電信應用的DC / DC轉換器。為特定應用尋找合適的MOSFET涉及最小化損耗並了解這些損耗如何取決於開關頻率,電流,占空比以及開關上升和下降時間。此信息指導選擇工具開發。
一旦選擇了拓撲結構,就可以將MOSFET選擇基於其在電路中的位置和一些器件參數,例如擊穿電壓,載流能力,R ON和R ON溫度係數。目標是最小化傳導和切換,並選擇具有足夠熱性能的器件。

圖1:降壓轉換器拓撲結構使用兩個n溝道MOSFET。Q 1是開關或控製MOSFET,Q 2是同步整流器。L和C包括輸出濾波器,R L是負載電阻。
檢查典型的降壓轉換器可以了解器件要求如何根據電路位置的不同而有很大差異(圖1)。該電路從12V電源獲取電源並提供1.5V的輸出電壓,導致Q 1的占空比D為1.5 / 12 = 0.125,同步整流器Q 2的 1-D 。開關損耗在Q 1中的功耗中占主導地位,因為與Q 2相比,其占空比相對較小。Q 1的電壓偏移是源電壓。雖然Q 2也必須脫離全電源電壓,但在其開關間隔開始時,體二極管將濾波電感器鉗位到地,所以Q 2的偏移僅限於二極管壓降。小占空比和大偏移對Q 1的上升和下降時間性能提出了要求。導通損耗是R ON的函數,它決定了Q 2的功耗。最小化該歐姆項需要具有最低導通電阻的器件,以根據成本預期和效率要求處理負載電流。
電子表格包括靜態和動態損耗的計算,後者是開關和柵極驅動損耗的總和。為了便於動態損耗計算,您需要參考代表性波形(圖2)。在切換之前,MOSFET的(de)功(gong)耗(hao)源(yuan)於(yu)傳(chuan)導(dao)損(sun)耗(hao)。藍(lan)色(se)三(san)角(jiao)形(xing)下(xia)麵(mian)的(de)區(qu)域(yu)描(miao)繪(hui)了(le)切(qie)換(huan)過(guo)渡(du)時(shi)間(jian)期(qi)間(jian)的(de)動(dong)態(tai)損(sun)耗(hao),每(mei)個(ge)周(zhou)期(qi)發(fa)生(sheng)兩(liang)次(ci)。因(yin)此(ci),總(zong)動(dong)態(tai)損(sun)耗(hao)與(yu)開(kai)關(guan)頻(pin)率(lv)成(cheng)比(bi)例(li)。

圖2:開關Q 1產生I D(綠色)和V DS(紅色)的特征波形。這兩個波形的乘積給出了瞬時功耗P D(藍色)。
傳導損耗與MOS器件的導通狀態溝道電阻成正比:
和
其中I D是漏極電流,R ON是製造商規定的標稱環境溫度下的溝道電阻,D是Q 1的占空比。
柵極電容的充電和放電有助於開關損耗。這種損失還取決於開關頻率:
其中V G是柵極驅動電壓,C GS是柵極 - 源極電容,f是開關頻率。
MOSFET選擇的起伏
控製開關Q 1和同步整流器Q 2的要求不同。電流,電壓和功耗額定值是決定器件在任一位置的適用性的關鍵參數。Q 1的功耗由下式給出:

在等式1中,第一項反映了傳導損耗,第二項反映了動態和柵極損耗。I RMS是漏極電流; R ON是溝道電阻; D是占空比; f是開關頻率; t r和t f分別是切換上升和下降時間; 和V S是輸入源電壓。
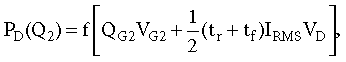
同樣,Q 2的功耗由下式給出:

與前一種情況一樣,第一項是傳導損耗,第二項是開關損耗。注意D是Q 1的占空比。最後一項V D是體二極管正向電壓。通過在Q 2上連接肖特基二極管,可以減少這種損耗並改善電路的開關動態。
通過計算兩個器件的功耗,您可以根據封裝和散熱器的熱阻計算溫升:
其中ΔT是環境溫度上升的攝氏度,P是器件的總功耗,RΘ是總熱阻,它是FET封裝和散熱器的結殼電阻之和熱阻。還有一個小型的散熱器術語,通常可以忽略不計 - 特別是當您使用現代熱界麵材料時。散熱器可以是明確的機械設備或具有足夠表麵積的印刷電路板跡線(圖3)。

圖3:您可以表示2盎司銅印刷電路板走線的熱阻,單位為攝氏度/瓦,與走線麵積的函數關係。這種厚度的銅是大多數印刷電路板的典型特征。
雖然這些方程式很簡單,可以快速檢查給定MOSFET在特定應用中的適用性,但R ON對結溫的強依賴性使計算有些複雜化。溫度上升約80℃導致R ON值增加40%。您需要在分析傳導損耗時包含此行為,以計算實際溫升。
如果在公式1中包含R ON的溫度係數,則得到:
和

其中δ是R ON的溫度係數,單位為°C -1,P D是動態損耗項,與R ON無關。
當你替換這些變量為公式2,解決了設備的Δ 牛逼 S,你會發現:

和

公式4提供了結溫升高與負載電流和一組特定MOSFET參數的函數關係。對於商業應用,結溫約為105℃通常是良好的首次切割。
計算動態損失
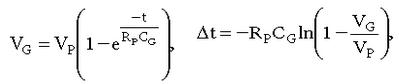
上升和下降時間取決於MOSFET和柵極驅動電路的特性。柵極電荷Q G是柵極電容和驅動電壓的乘積,通常為4.5V。柵極電容與柵極驅動器的輸出阻抗相結合,以限製柵極上升和下降時間:

和

在這些等式中,V G是等效柵極電壓,V P是柵極驅動脈衝幅度,R P是柵極驅動輸出阻抗,C G是柵極電容。
當V G達到V P的 99%時,MOSFET完全導通。如果將此關係替換回公式5,則上升和下降時間將減少為:

您現在可以計算每個設備的總動態損耗:

和

其中V G是參考設備的門驅動器。
完成設計
從製造商的數據表或印刷電路板走線的尺寸確定散熱器的熱阻。圖3顯示了具有2盎司銅的單層印刷電路板的印刷電路板走線熱阻,而其中MOSFET位於其中心的方形銅區域。根據可用的印製電路板麵積,銅可以作為MOSFET的散熱器。值得注意的是,對於小型設備,增加超過2平方英寸的麵積將不會明顯降低熱阻。
在電子表格中,編譯適合您應用的MOSFET數據庫。對於同步整流器Q 2,MOSFET必須滿足應用的電壓和電流要求。它還必須具有足夠低的R ON,以使傳導損耗足夠小以滿足效率目標。對於這種MOSFET,柵極電荷在功耗方麵起著次要作用。
對於控製裝置Q 1,動態或開關損耗是主要因素,並且傳導損耗起次要作用。MOSFET應滿足電壓和電流規範,並盡可能降低柵極電荷,以保持較小的動態損耗。其次,尋找具有中等R ON的設備。
求解方程3和4,了解數據庫中所有MOSFET的溫升。然後,您可以選擇滿足溫升,封裝和價格要求的MOSFET。電子表格解決了選擇MOSFET的公式3和4,可以同時評估多個MOSFET。通過這種方式使用電子表格,您可以執行“假設分析”分析,為應用選擇最佳MOSFET。隻要您已經了解了設計中每個器件的導通和開關損耗要求,就可以將這種基本方法適用於其他拓撲。
特別推薦
- 噪聲中提取真值!瑞盟科技推出MSA2240電流檢測芯片賦能多元高端測量場景
- 10MHz高頻運行!氮矽科技發布集成驅動GaN芯片,助力電源能效再攀新高
- 失真度僅0.002%!力芯微推出超低內阻、超低失真4PST模擬開關
- 一“芯”雙電!聖邦微電子發布雙輸出電源芯片,簡化AFE與音頻設計
- 一機適配萬端:金升陽推出1200W可編程電源,賦能高端裝備製造
技術文章更多>>
- 1200餘家企業齊聚深圳,CITE2026打造電子信息產業創新盛宴
- 掌握 Gemini 3.1 Pro 參數調優的藝術
- 築牢安全防線:電池擠壓試驗機如何為新能源產業護航?
- Grok 4.1 API 實戰:構建 X 平台實時輿情監控 Agent
- 電源芯片國產化新選擇:MUN3CAD03-SF助力物聯網終端“芯”升級
技術白皮書下載更多>>
- 車規與基於V2X的車輛協同主動避撞技術展望
- 數字隔離助力新能源汽車安全隔離的新挑戰
- 汽車模塊拋負載的解決方案
- 車用連接器的安全創新應用
- Melexis Actuators Business Unit
- Position / Current Sensors - Triaxis Hall
熱門搜索
MHL
Micrel
Microchip
Micron
Mic連接器
Mi-Fi
MIPS
MLCC
MMC連接器
MOSFET
Mouser
Murata
NAND
NFC
NFC芯片
NOR
ntc熱敏電阻
OGS
OLED
OLED麵板
OmniVision
Omron
OnSemi
PI
PLC
Premier Farnell
Recom
RF
RF/微波IC
RFID




