電容應用實踐:從設計選型到壽命分析
發布時間:2017-04-20 責任編輯:susan
【導讀】開關電源的壽命很大程度受到電解電容的製約,而電解電容的壽命取決於其內核溫升。本文從紋波電流計算、紋波電流實測、電解電容選型、溫度測試方法、壽命估算等方麵,對電解電容作了全麵的分析。

紋波電流產生的熱量引起電容的內部溫升,加速電解液的蒸發,當容值下降20%或損耗角增大為初始值的2~3倍時,預示著電解電容壽命的終結。通過檢查電容器上shang的de紋wen波bo電dian流liu,可ke預yu測ce電dian容rong器qi的de壽shou命ming。本ben文wen以yi連lian續xu工gong作zuo模mo式shi的de反fan激ji變bian換huan器qi輸shu出chu電dian容rong分fen析xi為wei例li,重zhong點dian從cong紋wen波bo電dian流liu角jiao度du全quan麵mian分fen析xi電dian解jie電dian容rong的de選xuan型xing與yu壽shou命ming。
1、紋波電流計算
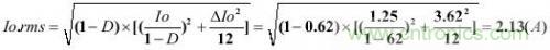
假設已知連續工作模式的反激變換器,其輸出電流Io為1.25A,紋波率r為1.1,占空比D為0.62,開關頻率為60kHz,由此可以計算次級紋波電流ΔIo和有效值電流Io.rms。
次級紋波電流ΔIo:
有效值電流Io.rms:
最終得到流過輸出電容的紋波電流:
圖1直觀的顯示了該電容的紋波電流波形:

圖1.紋波電流波形
2、電解電容選型
由上述計算分析得到流過電容的紋波電流為1.72A,綜合考慮體積和成本,選擇了紋波電流為1.655A的電解電容。
該(gai)紋(wen)波(bo)電(dian)流(liu)需(xu)在(zai)電(dian)源(yuan)開(kai)關(guan)頻(pin)率(lv)下(xia)選(xuan)擇(ze),如(ru)下(xia)圖(tu)某(mou)廠(chang)家(jia)電(dian)容(rong)手(shou)冊(ce)的(de)紋(wen)波(bo)電(dian)流(liu)有(you)頻(pin)率(lv)因(yin)子(zi),不(bu)同(tong)頻(pin)率(lv)下(xia)的(de)紋(wen)波(bo)電(dian)流(liu)不(bu)同(tong)。高(gao)頻(pin)低(di)阻(zu)電(dian)容(rong)均(jun)會(hui)給(gei)出(chu)100kHz下的紋波電流,本設計開關頻率為60kHz,頻率因子為0.96~1之間,在此取1即可。

圖2.電容紋波電流頻率因子
注:紋波電流還有一個溫度係數,例如105℃電容,在85℃環境溫度下,允許的最大紋波電流約為額定最大紋波電流的1.73倍,該參數一般不在電容手冊中體現。
3、紋波電流實測
測試電解電容紋波電流時,需將電容引腳穿入電流探頭中,通過示波器可讀得交流有效值。本設計實例的紋波電流測試結果如圖3所示,示波器讀得有效紋波電流為1.64A,與理論設計接近。因此理論計算具有較大的工程指導意義。

圖3.實測電容紋波電流
4、溫度測試方法
測量容體表麵溫度Ts:需在電容器側麵的中間位置進行,如果由於外部影響導致電容器表麵溫度不均勻、不穩定,需綜合測量電容器表麵4個點的溫度,再取平均值。
測量環境溫度Tx:熱電偶需放置在離鋁殼表麵20毫米左右處,如果空間不足,則保持最小10毫米距離,如果由於外部影響導致附近環境溫度不均勻、不穩定,則需綜合測量4個點以上的溫度,再取平均值。

圖4.環境溫度與表麵溫度測量
5、電解電容壽命估算
本設計,選擇的電解電容為-40~105℃、5000小時、1.655A紋波電流的高頻低阻電解電容,最高實測環境溫度Tx為80℃,殼體表麵溫度Ts為85℃。則其壽命估算如下步驟如下。
(1)估算實際內核溫升:
其中:
△To為To時允許的內核溫升,即額定紋波電流時的電容器芯子溫升,此次選擇的105℃電容△To為5℃,可查原廠或行業資料得到;
△Tx為實際內核溫升;
Ix為實際紋波電流1.64A;
Io為額定紋波電流1.655A。
(2)估算電容壽命:
其中:
Lo為額定壽命5000小時;
To為最高額定工作環境溫度105℃;
Tx為實際環境溫度80℃。
當由於環境因素影響,Tx不易獲得時,可用Ts替代,這可以進一步提供安全餘量保證產品售壽命。
特別推薦
- 噪聲中提取真值!瑞盟科技推出MSA2240電流檢測芯片賦能多元高端測量場景
- 10MHz高頻運行!氮矽科技發布集成驅動GaN芯片,助力電源能效再攀新高
- 失真度僅0.002%!力芯微推出超低內阻、超低失真4PST模擬開關
- 一“芯”雙電!聖邦微電子發布雙輸出電源芯片,簡化AFE與音頻設計
- 一機適配萬端:金升陽推出1200W可編程電源,賦能高端裝備製造
技術文章更多>>
- 一秒檢測,成本降至萬分之一,光引科技把幾十萬的台式光譜儀“搬”到了手腕上
- AI服務器電源機櫃Power Rack HVDC MW級測試方案
- 突破工藝邊界,奎芯科技LPDDR5X IP矽驗證通過,速率達9600Mbps
- 通過直接、準確、自動測量超低範圍的氯殘留來推動反滲透膜保護
- 從技術研發到規模量產:恩智浦第三代成像雷達平台,賦能下一代自動駕駛!
技術白皮書下載更多>>
- 車規與基於V2X的車輛協同主動避撞技術展望
- 數字隔離助力新能源汽車安全隔離的新挑戰
- 汽車模塊拋負載的解決方案
- 車用連接器的安全創新應用
- Melexis Actuators Business Unit
- Position / Current Sensors - Triaxis Hall
熱門搜索
按鈕開關
白色家電
保護器件
保險絲管
北鬥定位
北高智
貝能科技
背板連接器
背光器件
編碼器型號
便攜產品
便攜醫療
變容二極管
變壓器
檳城電子
並網
撥動開關
玻璃釉電容
剝線機
薄膜電容
薄膜電阻
薄膜開關
捕魚器
步進電機
測力傳感器
測試測量
測試設備
拆解
場效應管
超霸科技


