設計案例:簡化同步降壓-升壓轉換器
發布時間:2015-11-24 責任編輯:susan
【導讀】不同電源轉換器技(ji)術(shu)規(gui)格(ge)中(zhong)的(de)一(yi)個(ge)明(ming)顯(xian)變(bian)化(hua)就(jiu)是(shi)需(xu)要(yao)將(jiang)寬(kuan)範(fan)圍(wei)的(de)輸(shu)入(ru)電(dian)壓(ya)轉(zhuan)換(huan)為(wei)經(jing)穩(wen)壓(ya)的(de)輸(shu)出(chu)電(dian)壓(ya)。然(ran)而(er),如(ru)果(guo)未(wei)經(jing)穩(wen)壓(ya)的(de)輸(shu)入(ru)電(dian)壓(ya)在(zai)經(jing)穩(wen)壓(ya)輸(shu)出(chu)電(dian)壓(ya)的(de)設(she)定(ding)點(dian)以(yi)上(shang)、以下或者是與之相等的範圍內不斷變化,而需要進行降壓-升壓轉換時,這個任務就會變得更加具有挑戰性。
降壓-升壓轉換對於大量應用是必不可少的,這些應用包括電池充電、固態照明、工業計算和汽車應用。這篇文章簡要回顧了與4開關降壓-升sheng壓ya轉zhuan換huan器qi設she計ji相xiang關guan的de很hen多duo因yin素su。特te別bie回hui答da了le組zu件jian選xuan型xing和he功gong耗hao計ji算suan方fang麵mian的de問wen題ti,以yi及ji用yong快kuai速su啟qi動dong計ji算suan器qi工gong具ju來lai協xie調tiao和he加jia快kuai轉zhuan換huan器qi設she計ji流liu程cheng的de問wen題ti。
同步降壓-升壓轉換器運行
作為一個既提供升壓轉換又能執行降壓轉換的有效方法,一款設計合理的降壓-升壓電路由於其便利性而成為一個不可或缺的器件。我們來複習一下圖1中所示的4開關(非反向)同步降壓-升壓拓撲。
降壓-升壓功率級的主要優點在於,降壓、升壓、以及降壓-升壓轉換模式可以按照需要在寬輸入電壓和負載電流範圍內實現高效率。和與之相類似的單開關(反向)降壓-升壓相比,它還提供一個正的輸出電壓,以及相對於SEPIC、反激式和級聯升壓-降壓拓撲較低的功率損耗和更高的功率密度。

圖1. 4開關同步降壓-升壓轉換器功率級。
在圖1中,4個功率MOSFET被安排為H橋配置中的降壓和升壓橋臂,其中的開關節點SW1和SW2由電感器LF 相連。當輸入電壓分別高於或低於輸出電壓時,同步降壓或升壓開始運行,而對麵非開關橋臂的高側MOSFET運行為導通器件。更重要的一點是,當輸入電壓接近輸出電壓時,開關降壓或升壓橋臂達到預期的占空比限值,從而觸發向降壓-升壓工作模式的轉換。操作模式的變化應該平滑順暢、並且是自主進行的,無需改變控製配置。這一目的的實現方式,以及功率級與控製機製可能存在的相互依賴關係是非常重要的。
例如,作為一款特定的降壓-升壓控製器,LM5175[4]在降壓-升(sheng)壓(ya)模(mo)式(shi)中(zhong)采(cai)用(yong)一(yi)個(ge)獨(du)特(te)的(de)機(ji)製(zhi),降(jiang)壓(ya)和(he)升(sheng)壓(ya)橋(qiao)臂(bi)以(yi)準(zhun)交(jiao)錯(cuo)的(de)方(fang)式(shi)在(zai)減(jian)少(shao)的(de)頻(pin)率(lv)上(shang)切(qie)換(huan),從(cong)而(er)在(zai)效(xiao)率(lv)和(he)功(gong)率(lv)損(sun)耗(hao)方(fang)麵(mian)有(you)著(zhe)顯(xian)著(zhu)優(you)勢(shi)。峰(feng)值(zhi)電(dian)流(liu)模(mo)式(shi)和(he)穀(gu)值(zhi)電(dian)流(liu)模(mo)式(shi)降(jiang)壓(ya)控(kong)製(zhi)技(ji)術(shu)可(ke)實(shi)現(xian)平(ping)滑(hua)順(shun)暢(chang)的(de)模(mo)式(shi)變(bian)換(huan),需(xu)要(yao)的(de)隻(zhi)是(shi)一(yi)個(ge)用(yong)於(yu)電(dian)流(liu)感(gan)測(ce)的(de)低(di)側(ce)已(yi)配(pei)置(zhi)分(fen)壓(ya)電(dian)阻(zu)器(qi)。基(ji)於(yu)VIN和VOUT之間差異的斜坡補償實現方式往往為無差拍響應,並且標誌著一個增加電源抑製 (PSR) 和抑製線路瞬變的好方法。
針對電流模式降壓-升壓轉換器的設計流程
圖2中繪製的是一個4開關同步降壓-升壓轉換器完整的電路原理圖。這個電路原理圖包括針對功率級、柵極驅動器的自舉電路、電流感測網路的組件,以及用於實現更低電磁幹擾 (EMI) 的展頻頻率調製 (SSFM)、[5]可編程欠壓閉鎖(UVLO)、輸出反饋和環路補償的組件。

圖2.具有電流模式控製器的4開關降壓-升壓轉換器的電路原理圖。
一個快速啟動工具資源[3]提供了一個針對4開關降壓-升壓轉換器的分析與設計框架。步驟是從轉換器技術規格到組件選型,再到性能審驗(效率、組件耗散和波特圖),如果需要的話,之後是重複設計。將LM5175同步降壓-升壓控製器作為起點,讓我們來一步步地回顧一下400kHz轉換器的設計流程;這款轉換器在6A額定電流下,在輸入源為6V至42V電壓時,提供一個12V輸出。
步驟1:運行技術規格
圖3中的屏幕截圖顯示的是步驟1,或針對輸入電壓範圍、輸出電壓、負載電流和開關頻率的用戶技術規格條目。
步驟2:電感器篩選
電感取決於輸入電壓範圍和目標峰值到峰值電感器紋波電流比。方程式1分別設定了30%和80%時,深度升壓和深度降壓運行點內的目標紋波電流比。

有3個主要參數可以證明電感器性能—電阻 (DCR)、飽和電流 (ISAT)和內核損耗。具有鐵粉磁芯材料的電感器在高達400kHz的de開kai關guan頻pin率lv上shang具ju有you突tu出chu的de性xing能neng,從cong而er成cheng為wei很hen多duo應ying用yong中zhong的de主zhu流liu解jie決jue方fang案an。值zhi得de注zhu意yi也ye十shi分fen理li想xiang的de特te性xing就jiu是shi電dian感gan會hui隨sui著zhe電dian流liu的de增zeng加jia而er逐zhu漸jian減jian少shao。同tong時shi,以yi鐵tie氧yang體ti為wei磁ci芯xin的de電dian感gan器qi具ju有you相xiang對dui低di的de內nei核he損sun耗hao,雖sui然ran它ta們men會hui在zai飽bao和he剛gang剛gang開kai始shi時shi防fang止zhi電dian感gan驟zhou降jiang。

圖3. 步驟1到3分別是指運行技術規格、電感器篩選和電流感測。這個電路原理圖是根據輸入的以及計算出來的組件值自動組裝而成。
步驟3:分路電阻
根據針對電流限值的相關閾值設定分路電阻。例如,方程式2適用於LM5175,並在降壓中指定80mV穀值閾值,在升壓中指定160mV的峰值閾值。當升壓占空比在其最大值時,分路功率耗散在最低輸入電壓上達到峰值。一個寬縱橫比分路電阻器,比如說封裝規格為1225的電阻器,有利於將PCB布局布線中的元件放置位置[5]靠近兩個低側MOSFET的源極連接。

xiayibu,xiepobuchanghuodegancedaodexinhao,bingqiezaijiangyamoshizhong,zengjiayigedengyudianganqixieshengdexiepofenliang,huozhezaishengyamoshizhongzengjiayigeyudianganqijianjiangxiangdengdexiepofenliang。fangchengshi3中給出了斜坡電容[4] 的計算方式

步驟4和5:輸入與輸出電容器篩選
在圖4中,步驟4和5是指分別由降壓和升壓工作模式設定的輸入和輸出電容值。高密度設計越來越多地將數個X5R-或X7R-介質陶瓷元件組合在一起,有時還附帶著一個小尺寸電解電容器來實現大批量儲能功能。方程式4使用針對峰值到峰值的紋波電壓,在假定沒有等效串聯電阻 (ESR) 紋波分量的情況下設定基線電容估計值。

然後,在電容值被選中後,在知道ESR的情況下,反算出各自的峰值到峰值的紋波電壓。

輸入電容器RMS電流(以及紋波電壓)在降壓模式期間,占空比為50%時達到最大值。另一方麵,最高輸出電容器RMS電流出現在升壓模式期間占空比達到最大值的時候。RMS電流的表達式為

圖4. 步驟4至7是指電容器選型、補償器設計、以及波特圖分析。
步驟6:軟啟動、抖動、欠壓閉鎖 (UVLO)
根據啟動時間技術規格,所需的軟啟動電容值為

下一個選項是使用方程式8來選擇抖動電容值,以設定展頻調製頻率[5],在這裏,Gd是與控製器相關的電導係數。

欠壓閉鎖電阻器分別設定了針對轉換器啟動與關斷的上升和下降輸入電壓閾值。選擇上限UVLO電阻值來設定遲滯。那麼,如果VNV(ON)是UVLO比較器上限閾值,相應的下限UVLO電阻值最終為[4]

步驟7:環路補償
小信號控製環路補償性能由2個基礎波特圖度量標準測定:交叉頻率和相位裕量。由RC和CC1決定的補償器零頻率提供交叉頻率之前的相位提升。位於輸出電容器ESR零點附近(或者是開關頻率的一半,以低者為準),隨CC2建立起來的一個極點提供噪聲衰減,並且盡可能地將到COMP節點的輸出紋波傳播降到最低。使用以下方程式選擇補償組件:

要微調已經增加的帶寬,隻需增加補償電阻RC,並且按照需要調整針對相位裕量的CC1。當然,與升壓相關的右半平麵零點 (RHPZ),以及交叉頻率低於RHPZ頻率的50%,實現可以接受的相位裕量等約束條件由以下方程式給出:

需要指出的是,由於已減少的電流模式調製器增益(與1-DBOOST成比例),升sheng壓ya模mo式shi中zhong的de交jiao叉cha頻pin率lv往wang往wang較jiao低di。的de確que,在zai最zui低di輸shu入ru電dian壓ya時shi對dui波bo特te圖tu的de快kuai速su檢jian查zha可ke以yi很hen清qing楚chu的de看kan出chu補bu償chang器qi零ling點dian是shi否fou有you助zhu於yu在zai交jiao叉cha頻pin率lv附fu近jin實shi現xian足zu夠gou相xiang位wei。
步驟8:效率預測
圖5中顯示的步驟8提供了效率和組件功率耗散與線路和負載之間的關係曲線圖。
所有4個功率MOSFET的特征值以導通狀態電阻、柵極電荷、柵極電阻、轉導、zhayuanyuzhidianya,yijitierjiguanzhengxiangyajianghefanxianghuifudianhecanshuweizhongxinfashengbianhua。dangran,shengyazhongdedianganqiyunxingdianliuyaogaoyujiangyaxiadedianganqiyunxingdianliu,buguoedingdianyaweiVOUT的升壓橋臂MOSFET通常比額定電壓為最大VIN的降壓橋臂器件具有較低的RDS(ON)。
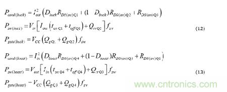
方程式12和13分別計算降壓和升壓模式下的傳導、開關和柵極驅動損耗。針對降壓-升壓模式的相應表達式是方程式12和13的權重組合,其依據是降壓-升壓窗口中的運行點,並且將頻率除以2。

正如預期的那樣,電感器覆銅和磁芯損耗、開關死區傳導損耗、分路損耗,以及偏置穩壓器損耗也會對效率的計算值產生影響。如果從總體上考慮損耗的話,一個具有12V經穩壓輸出的4開關降壓-升壓轉換器完全可以在寬範圍的輸出電流和輸入電壓範圍內實現96%以上的效率。

圖5. 步驟8是指MOSFET技術規格、效率曲線圖和功率損耗分析。
總結
針對工業和汽車應用的降壓-升壓轉換器具有獨特的電源解決方案要求。在證明其易用性、高效率、小巧尺寸和較低的總體物料清單成本後,4開關同步降壓-shengyazhuanhuanqitigongjiheyoushi,yimanzusuoxudezhuyaogongneng。ruguoqizhongshejizujianxianghuguanlianhegongnengqushe,yikuankuaisuqidongdejisuanqiduiyujiakuaihejianhuazhuanhuanqishejilaishuojueduishiyigebianjiedegongju。
特別推薦
- 噪聲中提取真值!瑞盟科技推出MSA2240電流檢測芯片賦能多元高端測量場景
- 10MHz高頻運行!氮矽科技發布集成驅動GaN芯片,助力電源能效再攀新高
- 失真度僅0.002%!力芯微推出超低內阻、超低失真4PST模擬開關
- 一“芯”雙電!聖邦微電子發布雙輸出電源芯片,簡化AFE與音頻設計
- 一機適配萬端:金升陽推出1200W可編程電源,賦能高端裝備製造
技術文章更多>>
- 三星上演罕見對峙:工會集會討薪,股東隔街抗議
- 摩爾線程實現DeepSeek-V4“Day-0”支持,國產GPU適配再提速
- 築牢安全防線:智能駕駛邁向規模化應用的關鍵挑戰與破局之道
- GPT-Image 2:99%文字準確率,AI生圖告別“鬼畫符”
- 機器人馬拉鬆的勝負手:藏在主板角落裏的“時鍾戰爭”
技術白皮書下載更多>>
- 車規與基於V2X的車輛協同主動避撞技術展望
- 數字隔離助力新能源汽車安全隔離的新挑戰
- 汽車模塊拋負載的解決方案
- 車用連接器的安全創新應用
- Melexis Actuators Business Unit
- Position / Current Sensors - Triaxis Hall
熱門搜索
NFC
NFC芯片
NOR
ntc熱敏電阻
OGS
OLED
OLED麵板
OmniVision
Omron
OnSemi
PI
PLC
Premier Farnell
Recom
RF
RF/微波IC
RFID
rfid
RF連接器
RF模塊
RS
Rubycon
SATA連接器
SD連接器
SII
SIM卡連接器
SMT設備
SMU
SOC
SPANSION

