一種LTE天線的去耦合分析
發布時間:2011-08-05
中心議題:
- 710 MHz雙天線的設計
- S參數的去耦合分析
- 等效耦合器的設計
- 710 MHz的LTE雙天線與去耦合網絡的聯合仿真
解決方案:
- 等效耦合器的設計
為了滿足LTE在高數據率和高係統容量方麵的需求,LTE係統支持多天線MIMO(Multiple Input Multiple Output)技ji術shu,在zai發fa射she端duan和he接jie收shou端duan同tong時shi使shi用yong多duo個ge天tian線xian進jin行xing接jie收shou和he發fa射she,將jiang不bu可ke避bi免mian地di引yin起qi多duo個ge天tian線xian之zhi間jian的de相xiang互hu耦ou合he,導dao致zhi天tian線xian之zhi間jian的de相xiang關guan性xing減jian小xiao,從cong而er降jiang低di通tong信xin容rong量liang,而er且qie也ye會hui降jiang低di天tian線xian的de輻fu射she效xiao率lv。這zhe種zhong耦ou合he在zai移yi動dong終zhong端duan天tian線xian上shang表biao現xian得de尤you為wei明ming顯xian。通tong常chang為wei了le降jiang低di天tian線xian之zhi間jian的de耦ou合he,要yao求qiu增zeng大da天tian線xian之zhi間jian的de距ju離li,而er移yi動dong終zhong端duan有you限xian的de空kong間jian又you不bu能neng滿man足zu此ci要yao求qiu,尤you其qi是shi在zai700 MHz左右的頻段,幾個天線之間的電氣距離通常隻有波長的十幾分之一,這就更加劇了耦合程度。
在移動終端,通常使用印製板天線,所以本文研究的主要問題也是多個印製板天線之間的耦合問題。印製天線之間的耦合通常包括3個部分:遠場耦合;近場耦合;表麵波耦合。當多個天線之間的極化方向相同時,就會存在遠場耦合,天線之間的距離增大一倍,耦合會減小6 dB。dangyigetianxianchuyulingyigetianxiandejinfushechangshi,jinchangouhejiuhuifasheng,ouheyujiezhidejiedianchangshuyouguan,yeyutianxianzhijiandejuliyouguan,dangtianxiandejulizengdayibeishi,ouhehuijianxiao12~18 dB。表麵波耦合發生在介質層,天線之間的距離增大一倍,表麵波耦合減小3 dB。當介質的厚度h與波長λ0之間的比值達到一定數值時,表麵波之間的耦合將起主導作用。
為了降低多個天線之間的耦合,人們想出了各種辦法。其中一種有效的方法就是使用DMN(Decoupling and Matehing Networks)技術。具體的設計方法與實例文獻均有論述,但是文中並沒有給出具體的理論說明。文獻提出了一種采用正交模式分析的方法,通過S參數分析,從理論上給出了一種合理的去耦合方法。本文采用文獻給出的S參數分析方法,對文獻提出的710 MHz天線之間的耦合進行研究,並通過計算設計出一種采用集總參數元件構成的耦合器與匹配網絡去掉兩個天線之間的耦合。通過HFSS和ADS聯合仿真可以看出,S12與S21參數得到了明顯改善。
1 一種71O MHz雙天線的設計
710 MHz的頻段是LTE使用的一個重要頻段,然而在移動終端上,移動設備有限的體積與710 MHz較大的波長給設計師提出了苛刻的要求。LET使用的是MIMO技(ji)術(shu),也(ye)就(jiu)是(shi)在(zai)一(yi)個(ge)終(zhong)端(duan)上(shang)同(tong)時(shi)存(cun)在(zai)著(zhe)多(duo)個(ge)發(fa)射(she)天(tian)線(xian),不(bu)可(ke)避(bi)免(mian)地(di)引(yin)起(qi)了(le)天(tian)線(xian)之(zhi)間(jian)的(de)耦(ou)合(he),降(jiang)低(di)了(le)通(tong)信(xin)容(rong)量(liang)。文(wen)獻(xian)提(ti)出(chu)了(le)一(yi)種(zhong)曲(qu)線(xian)形(xing)雙(shuang)天(tian)線(xian),這(zhe)種(zhong)緊(jin)湊(cou)的(de)結(jie)構(gou)符(fu)合(he)了(le)移(yi)動(dong)終(zhong)端(duan)對(dui)體(ti)積(ji)的(de)要(yao)求(qiu)。但(dan)是(shi)緊(jin)湊(cou)的(de)結(jie)構(gou)也(ye)引(yin)起(qi)了(le)天(tian)線(xian)之(zhi)間(jian)較(jiao)高(gao)的(de)耦(ou)合(he)。
天線的結構設計如圖1所示。天線工作在710 MHz的頻段,由兩個曲線單極子天線組成。兩個天線印製在FR4介質板上(介電常數等於4.6,介質厚1 mm)。天線走線的寬度是1 mm,走線之間的距離也是1 mm。兩個天線之間的距離是6 mm,天線端口接1.8 mm的微帶線饋電。使用HF-SS 12進行仿真,可以得出S參數如圖2所示。可見S11的性能很好,然而天線之間的耦合S12過大,難以滿足LTE對天線工作性能的要求。

[page]
2 S參數的去耦合分析
為了提高天線的輻射效率,學者們提出了DMN技術,即在多個天線的輸入端先加耦合器以去掉天線之間的耦合,然後加匹配網絡,如圖3所示。文獻對這種方法進行了詳細論述,並闡述了用S參數分析正交模的方法。下麵對一個二端口網絡的天線進行S參數的分析。

雙天線係統是一個無源二端口網絡,用ai表示第i個端口的入射波,用bi表示第i個端口的反射波。入射波矢量a=(a1,a2)T,反射波矢量b=(b1,b2)T,其中:T表示矩陣的轉置。則有:
![]()
所有的波矢量都是複數,則入射功率和反射功率由下式給出:

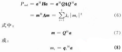
式中:|·|表示複數的模,上角標H表示厄米特轉置。那麼,輻射功率就可以表示為:

式中:H就是輻射矩陣,並且輻射矩陣是個厄米特量(HH=H),而厄米特矩陣是可以通過一個相似變換而對角化的。因此有:
![]()
式中:A=diag{λ1,λ2},而Q是幺正的(即QQH=I)。根據厄米特矩陣的性質,兩個正交值λ1和λ2都是實數,並且小於等於1。將式(5)代入式(4)得:

則Q矩陣的第i列qi就稱為天線陣列的正交模式。|ai|2表示第i個端口的入射功率;|mi|2表示第i個正交模式的激發功率。由於Q的幺正性,有|a|2=|m|2,這就保證了入射總功率等於激發起的正交模總功率。而λi則反應了正交模式的輻射效率。
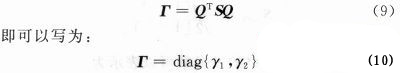
與輻射功率相對的是反射功率。根據(5)式及厄米特矩陣的性質,如果Q可以將H化為對角矩陣,則S也可以化為對角矩陣。有:

則反射矢量可以寫為:

[page]
為了使正交模式的輻射效率最大,文獻和文獻詳細論述了等效耦合參數的方法。對於一個雙天線係統,等效去耦合網絡如圖4所示,其中S是天線的反射參數,SD是去耦合網絡的反射參數,文獻指出加入了去耦合係統的S參數可以表示為:


則等效天線的Ss參數將是對角化的,並且它的等效天線輸入端口將是去耦合的。Q的列向量也就是天線的正交輻射模式。下一節將使用以上理論分析第1部分設計的天線的參數,並將其輸入端的耦合去掉。
3 等效耦合器的設計
對於一個雙天線係統,應該有兩個正交模同時存在,去耦合網絡是一個四端口網絡,正交輻射矩陣可以寫為:

所以去耦合網絡的S參數可以表示為:

這是一個180°定向耦合器,也稱為rat-race網絡,如圖5所示。物理上可以通過微帶實現,如圖6所示。然而對於第1部分提出的710 MHz天(tian)線(xian),由(you)於(yu)波(bo)長(chang)太(tai)長(chang),這(zhe)樣(yang)的(de)耦(ou)合(he)器(qi)在(zai)移(yi)動(dong)設(she)備(bei)上(shang)無(wu)法(fa)實(shi)現(xian)。為(wei)了(le)實(shi)現(xian)去(qu)耦(ou)合(he),可(ke)以(yi)用(yong)貼(tie)片(pian)電(dian)感(gan)和(he)電(dian)容(rong)做(zuo)出(chu)成(cheng)等(deng)效(xiao)傳(chuan)輸(shu)線(xian),從(cong)而(er)用(yong)電(dian)感(gan)和(he)電(dian)容(rong)做(zuo)成(cheng)一(yi)個(ge)耦(ou)合(he)網(wang)絡(luo),這(zhe)就(jiu)可(ke)以(yi)顯(xian)著(zhe)降(jiang)低(di)耦(ou)合(he)器(qi)占(zhan)用(yong)的(de)體(ti)積(ji)。如(ru)圖(tu)7所示,一個等效1/4波長傳輸線可以用兩個電容和一個電感來等效代替。電容和電感的計算公式為:
[page]



由於第二部分設計的天線傳輸線阻抗是50 Ω,所以1/4傳輸線的阻抗是70.7 Ω,將710 MHz代入,則可以求得L=15.8 nH,C=3.17 pF。這樣,就可以設計出180°的混合耦合器如圖8所示。將耦合器的3,4端口通過通孔連接天線,1,2端口接饋電網絡,就可構成一個雙天線的去耦合係統。
4 710 MHz的LTE雙天線與去耦合網絡的聯合仿真
本文使用ADS對雙天線係統的去耦合網絡進行仿真。先在ADS中設計出耦合器的電路,如圖8所示,然後將第1部分設計的LTE天線使用HFSS仿真出的S參數導出為SNP文件,最後將SNP文件導入到ADS中,進行聯合仿真。SNP文件的兩個輸入端口接耦合器的3、4端口,耦合器的1,2端口接饋電端。仿真結果如圖9所示。可見,加入了去耦合網絡後,S12和S21降到了30 dB以下。由於輸入端口存在著不匹配,所以S11和S22太大,不能滿足要求,這可以通過在饋電端口加入匹配網絡來改善。通過ADS的優化設置,可知當匹配網絡先並聯一個3.815 nH電感,再串聯一個14 nH的電感後,S11和S22均可以達到滿意的效果,S12和S21也進一步減小到-35 dB以下。加入匹配網絡後的仿真結果如圖10所示,從圖中也可以看出,S11隻是在一個很窄的帶寬內滿足要求,這也是DMN技術的局限。


5 結語
本文從s參數的角度分析了一個雙天線係統的去耦合方法,並通過一個天線設計實例,使用HFSS和ADS進行去耦合前和去耦合後的仿真。結果顯示加入去耦合網絡和匹配網絡後兩個天線間的耦合可以降低至-35 dB以下,反射係數也可達到-15 dB以下,這滿足了工作於710 MHz的移動設備的要求。
- 噪聲中提取真值!瑞盟科技推出MSA2240電流檢測芯片賦能多元高端測量場景
- 10MHz高頻運行!氮矽科技發布集成驅動GaN芯片,助力電源能效再攀新高
- 失真度僅0.002%!力芯微推出超低內阻、超低失真4PST模擬開關
- 一“芯”雙電!聖邦微電子發布雙輸出電源芯片,簡化AFE與音頻設計
- 一機適配萬端:金升陽推出1200W可編程電源,賦能高端裝備製造
- 三星上演罕見對峙:工會集會討薪,股東隔街抗議
- 摩爾線程實現DeepSeek-V4“Day-0”支持,國產GPU適配再提速
- 築牢安全防線:智能駕駛邁向規模化應用的關鍵挑戰與破局之道
- GPT-Image 2:99%文字準確率,AI生圖告別“鬼畫符”
- 機器人馬拉鬆的勝負手:藏在主板角落裏的“時鍾戰爭”
- 車規與基於V2X的車輛協同主動避撞技術展望
- 數字隔離助力新能源汽車安全隔離的新挑戰
- 汽車模塊拋負載的解決方案
- 車用連接器的安全創新應用
- Melexis Actuators Business Unit
- Position / Current Sensors - Triaxis Hall

