小電流係統線路對地電容的新估計方法
發布時間:2011-06-28
中心議題:
- 利用單相接地故障數據估計小電流係統對地電容電流的方法
解決方案:
- 用兩組發生在不同線路上的故障數據求該係統各線路的對地電容
係(xi)統(tong)電(dian)容(rong)電(dian)流(liu)是(shi)調(tiao)度(du)和(he)運(yun)行(xing)單(dan)位(wei)要(yao)了(le)解(jie)的(de)係(xi)統(tong)參(can)數(shu)之(zhi)一(yi),是(shi)設(she)計(ji)單(dan)位(wei)選(xuan)擇(ze)補(bu)償(chang)設(she)備(bei)的(de)依(yi)據(ju),故(gu)研(yan)究(jiu)該(gai)項(xiang)工(gong)作(zuo)具(ju)有(you)重(zhong)要(yao)意(yi)義(yi)。目(mu)前(qian),電(dian)容(rong)電(dian)流(liu)的(de)測(ce)量(liang)方(fang)法(fa)主(zhu)要(yao)有(you)單(dan)相(xiang)金(jin)屬(shu)接(jie)地(di)法(fa)、相對地附加電容法及中性點附加電容法。
caiyongdanxiangjinshujiedifa,yizaochengliangxiangduididuanlujitiecixiezhenguodianya,weixianxingjiaoda。caiyongxiangduidifujiadianrongfa,qianquanyinhuanzhuyaofashengzaifujiadianrongbenshenshang,liruceliangdianlanxianlushi,fujiadianrongyibanfangzhizaikaiguanguifujin,zaiceliangguochengzhongfujiadianrongrucunzaiquexianfashengbaozha,kenengweijiqitapeidiangui,zaochengzhongdashigu;另外在測量35kV係(xi)統(tong)電(dian)容(rong)電(dian)流(liu)時(shi),因(yin)係(xi)統(tong)電(dian)壓(ya)較(jiao)高(gao),附(fu)加(jia)電(dian)容(rong)容(rong)量(liang)較(jiao)大(da),有(you)的(de)試(shi)驗(yan)單(dan)位(wei)可(ke)能(neng)並(bing)不(bu)具(ju)備(bei)合(he)適(shi)的(de)電(dian)容(rong)器(qi)。采(cai)用(yong)中(zhong)性(xing)點(dian)附(fu)加(jia)電(dian)容(rong)法(fa),如(ru)在(zai)測(ce)量(liang)過(guo)程(cheng)中(zhong)係(xi)統(tong)出(chu)現(xian)單(dan)相(xiang)接(jie)地(di),中(zhong)性(xing)點(dian)電(dian)壓(ya)上(shang)升(sheng)到(dao)相(xiang)電(dian)壓(ya),將(jiang)危(wei)及(ji)運(yun)行(xing)人(ren)員(yuan)及(ji)表(biao)的(de)安(an)全(quan),而(er)且(qie)測(ce)量(liang)誤(wu)差(cha)大(da)。
在實際運行中,對於出線數較多、線(xian)路(lu)較(jiao)長(chang)或(huo)包(bao)含(han)大(da)量(liang)電(dian)纜(lan)線(xian)路(lu)的(de)配(pei)電(dian)係(xi)統(tong),當(dang)其(qi)發(fa)生(sheng)單(dan)相(xiang)接(jie)地(di)故(gu)障(zhang)時(shi),對(dui)地(di)電(dian)容(rong)電(dian)流(liu)會(hui)相(xiang)當(dang)大(da),接(jie)地(di)電(dian)弧(hu)如(ru)果(guo)不(bu)能(neng)自(zi)熄(xi)滅(mie),極(ji)易(yi)產(chan)生(sheng)間(jian)隙(xi)性(xing)弧(hu)光(guang)接(jie)地(di)過(guo)電(dian)壓(ya)或(huo)激(ji)發(fa)鐵(tie)磁(ci)諧(xie)振(zhen),持(chi)續(xu)時(shi)間(jian)長(chang),影(ying)響(xiang)麵(mian)大(da),線(xian)路(lu)絕(jue)緣(yuan)薄(bo)弱(ruo)點(dian)往(wang)往(wang)還(hai)會(hui)發(fa)展(zhan)成(cheng)兩(liang)相(xiang)短(duan)路(lu)事(shi)故(gu)。因(yin)此(ci),DL/T620-1997《交流電氣裝置的過電壓保護和絕緣配合》規定:3~10KV鋼筋混凝土或金屬杆塔的架空線路構成的係統和所有35KV、66KV係統,當單相接地故障電流大於10A時應裝設消弧線圈;3~10KV電纜線路構成的係統,當單相接地故障電流大於30A,又需在接地故障條件下運行時,應采用消弧線圈接地方式。
消弧線圈一般為過補償運行(即流過消弧線圈的電感電流大於電容電流),這(zhe)也(ye)就(jiu)是(shi)說(shuo)裝(zhuang)設(she)的(de)消(xiao)弧(hu)線(xian)圈(quan)的(de)電(dian)感(gan)必(bi)需(xu)根(gen)據(ju)對(dui)地(di)電(dian)容(rong)電(dian)流(liu)的(de)大(da)小(xiao)來(lai)確(que)定(ding),以(yi)防(fang)止(zhi)中(zhong)性(xing)點(dian)不(bu)接(jie)地(di)係(xi)統(tong)發(fa)生(sheng)單(dan)相(xiang)接(jie)地(di)而(er)引(yin)起(qi)弧(hu)光(guang)過(guo)電(dian)壓(ya)。而(er)實(shi)際(ji)情(qing)況(kuang)是(shi),現(xian)場(chang)運(yun)行(xing)人(ren)員(yuan)對(dui)係(xi)統(tong)的(de)接(jie)地(di)電(dian)容(rong)電(dian)流(liu)值(zhi)究(jiu)竟(jing)有(you)多(duo)大(da)了(le)解(jie)的(de)並(bing)不(bu)詳(xiang)實(shi),或(huo)者(zhe)是(shi)掌(zhang)握(wo)的(de)數(shu)據(ju)僅(jin)憑(ping)經(jing)驗(yan)而(er)得(de),或(huo)者(zhe)是(shi)數(shu)據(ju)過(guo)於(yu)陳(chen)舊(jiu),不(bu)足(zu)為(wei)憑(ping)。
suoyi,zhenduiyanjiugaiwentidezhongyaoxingyijiyiwangfangfadezhongzhongbulizhichu,benwentichuyizhongliyongdanxiangjiediguzhangshujugujixiaodianliuxitongduididianrongdianliudexinfangfa。
方法介紹
對於一個中性點絕緣係統,發生單相接地故障時的等值電路如圖1所示,由於配電網線路中各相對地的泄漏電導比線路對地電容的導納小得多,所以分析時忽略了泄漏電導,並認為三相對地電容相等。

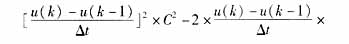
接下來利用單相接地故障的零序電壓和零序電流數據來估計係統對地電容值,由於電流波形比較雜亂,利用公式
求電容不可避免的造成較大誤差,所以,本方法利用零序電壓和零序電流的瞬時值來求電容。由公式
,將其寫成離散化形式,為:


[page]
由於F的每一項[i*(k)-i(k)]2都可以展開成電容C的多項式:


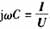
這樣,當係統的某一條出線i(i=1,2,...,n)發生單相接地故障時,利用係統零序電壓與故障線路零序電流可求出該係統除了故障線路以外的其它線路對地電容值之和
;利用零序電壓與任一條非故障線路的零序電流可求出該非故障線路的對地電容值;並且,對同一次故障在數值上有
。對於長線路計算結果可認為準確,對於短線路,計算誤差稍大,可通過一些具體途徑改進,本文不作詳細敘述。
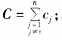
這(zhe)樣(yang),利(li)用(yong)兩(liang)組(zu)發(fa)生(sheng)在(zai)不(bu)同(tong)線(xian)路(lu)上(shang)的(de)故(gu)障(zhang)數(shu)據(ju)就(jiu)可(ke)求(qiu)出(chu)該(gai)係(xi)統(tong)中(zhong)各(ge)線(xian)路(lu)的(de)對(dui)地(di)電(dian)容(rong),且(qie)隨(sui)著(zhe)故(gu)障(zhang)次(ci)數(shu)的(de)增(zeng)多(duo),還(hai)可(ke)利(li)用(yong)多(duo)次(ci)的(de)故(gu)障(zhang)數(shu)據(ju)對(dui)係(xi)統(tong)對(dui)地(di)電(dian)容(rong)進(jin)行(xing)修(xiu)正(zheng)。係(xi)統(tong)對(dui)地(di)電(dian)容(rong)值(zhi)求(qiu)出(chu)後(hou),由(you)公(gong)式(shi)I=jωCU可以很容易就估計出係統電容電流的有效值,以此可以決定係統是否需要安裝消弧線圈以及消弧線圈電感值的大小。
EMTP仿真驗證
接下來對一個係統進行EMTP仿真,驗證該方法。係統為一個有五條出線的變電所, 基波頻率f=50Hz,采樣頻率fs=5000 Hz。仿真采用三相分布參數集中電阻線路模型,已知各出線長度分別為l1=l4=l5=10 km,l2=30 km,l3=6 km;線路參數分別為:R0=0.23 Ω/km,ωL0=1.72Ω/km,ωC0=4.175 μΩ/km;R1=0.17Ω/km,ωL1=0.28Ω/km,ωC1=5.715μΩ/km,當t=0.0075s時在第一條出線的A相線路中間發生單相金屬接地故障(見圖2)。取0~0.04秒的2個周波200個點的數據進行分析。

對上述方法用Matlab編程,對仿真數據進行分析,求解係統對地電容值。考慮到噪聲汙染以及各種隨機幹擾的存在,先對故障數據進行數字濾波,將17次以上的諧波去除後再對仿真或實測數據進行運算。本例所得由電容所計算電流與濾波後電流擬合波形如圖3所示(本文對數據濾波時采用的是巴特沃思濾波器,除去9次諧波以上的高次諧波)。



[page]

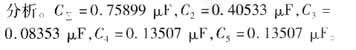
由零序電壓和故障線路零序電流求得的對地電容為:C∑=-0.75462μF,由零序電壓和非故障線路2、3、4、5的零序電流求得的電容分別為:

其中,C∑為負是因為故障線路零序電流和非故障線路零序電流反相的緣故。
由此可得:C2+C3+C4+C5=0.75462μF,可見其數值上與C∑相等。並且,由係統參數ωC0=4.175μS/km可推出C0=4.175/314=0.013296μF,則由Ci=C0*li可得:C2=0.39888μF,C3=0.07978μF,C4=0.13296μF,C5=0.13296μF,可見,這些值和利用本方法估計出的各線路對地電容值差甚微。
利用該方法對同一係統進行EMTP仿真,進一步驗正該方法。t=0.0075s時在第一條出線的A相線路中間發生單相電阻性接地,接地電阻100Ω,同樣取0-0.04s的2個周波200個點的數據進行。

結論
傳統測量電容電流的方法可分為直接法和間接法兩種:直zhi接jie法fa是shi使shi線xian路lu接jie地di,直zhi接jie測ce量liang接jie地di電dian容rong電dian流liu,此ci方fang法fa操cao作zuo及ji接jie線xian複fu雜za,而er且qie有you可ke能neng危wei及ji非fei接jie地di相xiang絕jue緣yuan薄bo弱ruo處chu的de絕jue緣yuan造zao成cheng兩liang相xiang異yi地di短duan路lu,對dui操cao作zuo人ren員yuan與yu配pei電dian係xi統tong都dou不bu安an全quan,因yin而er一yi般ban很hen少shao采cai用yong。目mu前qian廣guang泛fan采cai用yong的de是shi間jian接jie法fa,即ji,在zai線xian路lu上shang外wai加jia一yi個ge電dian容rong,測ce量liang電dian壓ya的de變bian化hua,從cong而er間jian接jie計ji算suan出chu電dian容rong電dian流liu值zhi。這zhe種zhong方fang法fa雖sui能neng較jiao準zhun確que地di測ce量liang電dian容rong電dian流liu值zhi,但dan測ce量liang時shi仍reng需xu與yu一yi次ci側ce打da交jiao道dao,人ren員yuan與yu設she備bei安an全quan仍reng得de不bu到dao保bao證zheng。另ling外wai,由you於yu要yao涉she及ji一yi次ci設she備bei,因yin此ci操cao作zuo繁fan瑣suo,準zhun備bei工gong作zuo時shi間jian長chang,工gong作zuo效xiao率lv低di,通tong常chang大da部bu分fen時shi間jian耗hao費fei在zai等deng待dai調tiao度du命ming令ling、開工作票、倒閘操作及安全措施準備上,工作效率非常低。
benwenjieshaodefangfa,jiandanyixing,jinjinliyongxitongdanxiangjiedishideguzhangshujujinxingjisuan,bubiliyongyiqijinxingxianchangshidiceliang,buyingxiangdianwangzhengchangyunxing,mianchulemafanqiebimianleweixian。gaifangfashiyongyuduiwuchayaoqiubuhenyangebingqiegongzuoliangjiaodadechanghe,jingguofangzhenbiaoming,jieguojiaoweizhunque。
- 噪聲中提取真值!瑞盟科技推出MSA2240電流檢測芯片賦能多元高端測量場景
- 10MHz高頻運行!氮矽科技發布集成驅動GaN芯片,助力電源能效再攀新高
- 失真度僅0.002%!力芯微推出超低內阻、超低失真4PST模擬開關
- 一“芯”雙電!聖邦微電子發布雙輸出電源芯片,簡化AFE與音頻設計
- 一機適配萬端:金升陽推出1200W可編程電源,賦能高端裝備製造
- 三星上演罕見對峙:工會集會討薪,股東隔街抗議
- 摩爾線程實現DeepSeek-V4“Day-0”支持,國產GPU適配再提速
- 築牢安全防線:智能駕駛邁向規模化應用的關鍵挑戰與破局之道
- GPT-Image 2:99%文字準確率,AI生圖告別“鬼畫符”
- 機器人馬拉鬆的勝負手:藏在主板角落裏的“時鍾戰爭”
- 車規與基於V2X的車輛協同主動避撞技術展望
- 數字隔離助力新能源汽車安全隔離的新挑戰
- 汽車模塊拋負載的解決方案
- 車用連接器的安全創新應用
- Melexis Actuators Business Unit
- Position / Current Sensors - Triaxis Hall

