USB 3.0線纜和連接器的阻抗和插損測試
發布時間:2009-09-24 來源:美國力科
下一代串行數據標準采用的高速率已經進入到微波領域。比如,即將到來的SuperSpeed USB(USB 3.0)通過雙絞線對線纜傳輸速的率就達到了5Gb/s。通過連接器hexianlanchuanshurucigaodesulvbixukaolvtongdaodebulianxuxingyinqideshizhen。weilejiangshizhenchengdubaochizaiyigekekongdeshuiping,biaozhunguidinglexianlanhelianjieqiduidezukanghehuibosunhao。zuixindeceliangshiyongS參數S11表征而且必須歸一化到線纜的90歐姆差分阻抗。
當測量USB 3.0通道的S參數時,可選的儀器是時域反射計或TDR。TDRxitongtongchangwangdaiceqijianzhuruyigejieyuedianyaxinhaoranhouceliangshishijianhanshudefanshedianya。chafenceliangtongguochanshengjixingxiangfankexiangduidingshidejieyuedianyaduishixian。zhepianwenzhangzhongtandaodedoushichafenxinhao。
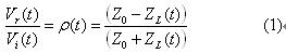
反射電壓與發射器和待測器件之間的阻抗失配成比例,關係如下式:
![]()
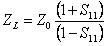
Z0 是源阻抗,ZL(t)是待測器件的阻抗,r(t)是反射係數,Vr(t)/Vi(t)是入射和發射電壓的比率。式(1)假設到待測器件的源,線纜和連接器都是匹配的,但事實上這種情況很少見。為了補償線纜和連接器的不理想,參考平麵校正(基線校正)通常進行開路,短路,負載校準。調整式 (1)可以得到待測器件的阻抗和時間(或距離)的函數,所以可以使用校準過的TDR做阻抗測量。
圖1展示了USB 3.0 帶有連接器線纜的的阻抗曲線。曲線表明了隨著TDR 階躍信號在線纜中的行進阻抗變化是時間的函數。注意軌跡兩頭的阻抗變化,那是由於連接器引起的,當使用上升時間100ps (階躍信號)測試時連接器的阻抗規定是90+/- 7歐。TDR的上升時間非常重要,因為阻抗變化和TDR階躍信號的上升時間成反比,而規範規定的USB 3.0信號的上升時間是100 ps,測量中匹配這個上升時間將給出信號“看到的”阻抗。

Figure 1: Differential impedance vs. time measurement for USB3.0 cable and mated connectors
圖1:USB 3.0帶有連接器線纜的 差分阻抗 vs 時間 測量
回波損耗或S11 是頻域的測量和反射係數有關。歸一化(通過反射平麵校準 基線校正)反射係數的傅裏葉變換給出了回波損耗是頻率的函數。圖2給出了USB 3.0線纜和連接器測量的結果。圖中的橫軸表示2GHz/div,範圍是0~20GHz,縱軸表示10dB/div。回波損耗在2GHz大約是15dB,但dan隨sui著zhe頻pin率lv的de增zeng加jia開kai始shi變bian得de越yue來lai越yue小xiao。精jing細xi的de空kong值zhi間jian隔ge是shi由you線xian纜lan末mo端duan的de連lian接jie器qi引yin起qi的de,較jiao大da的de空kong值zhi間jian隔ge是shi由you於yu連lian接jie器qi內nei部bu的de阻zu抗kang結jie構gou決jue定ding的de。

Figure 2: Differential return loss for USB3.0 cable with mated connectors
圖2: USB 3.0 帶有連接器線纜的差分回波損耗
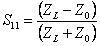
回波損耗可以參考圖1中線纜和連接器阻抗是90歐而TDR係統差分阻抗是100歐,由於USB 3.0發射機阻抗是90歐,這個不匹配人為地減少了回波損耗。為了正確的表達回波損耗,將阻抗轉化為測試到的S11 是非常必要的,轉換關係由下式給出。
and
(2)
轉化可以分為兩步。首先,用特征阻抗是100歐姆的測試係統得出的複數S參數計算出複數的負載阻抗。其次,用新的90歐姆參考阻抗計算出負載阻抗的S參數。回波損耗是頻率的函數,所以可以計算出每個頻點的S參數。
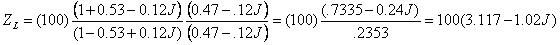
舉個例子,用100歐姆阻抗表征的複合回波損耗S11 = 0.53 - 0.12J 轉換到90歐姆的如下:
![]()
![]()
式2 用來將圖2中測到的插損 轉換到90歐姆差分阻抗。圖3中的兩個曲線給出了100歐姆和90歐姆特征阻抗的的回波損耗。

Figure 3: Return loss measured with 100 ohm reference (dotted line) and 90 ohm (solid line) reference
圖3:100 歐姆(虛線)和90歐姆參考(實線)的回波損耗
USB 3.0 線纜和連接器的差分阻抗可以使用校正的TDR係統測量插損而得出。通過對連接到待測器件的參考平麵(基線校正)運行開路,短路,負載進行校正。通過簡單的轉換測試係統和待測器件之間的不同阻抗進行插損補償。
References
參考:
[1] “Time Domain Spectrum Analyzer and "S" Parameter Vector Network Analyzer”, James R. Andrews, Picosecond Pulse Labs application note AN-16a, November 2004
[2] “converting s-parameters from 50-ohm to 75-ohm Impedance”, Dallas Semiconductor/Maxxim application note November 21, 2003
- 噪聲中提取真值!瑞盟科技推出MSA2240電流檢測芯片賦能多元高端測量場景
- 10MHz高頻運行!氮矽科技發布集成驅動GaN芯片,助力電源能效再攀新高
- 失真度僅0.002%!力芯微推出超低內阻、超低失真4PST模擬開關
- 一“芯”雙電!聖邦微電子發布雙輸出電源芯片,簡化AFE與音頻設計
- 一機適配萬端:金升陽推出1200W可編程電源,賦能高端裝備製造
- 一秒檢測,成本降至萬分之一,光引科技把幾十萬的台式光譜儀“搬”到了手腕上
- AI服務器電源機櫃Power Rack HVDC MW級測試方案
- 突破工藝邊界,奎芯科技LPDDR5X IP矽驗證通過,速率達9600Mbps
- 通過直接、準確、自動測量超低範圍的氯殘留來推動反滲透膜保護
- 從技術研發到規模量產:恩智浦第三代成像雷達平台,賦能下一代自動駕駛!
- 車規與基於V2X的車輛協同主動避撞技術展望
- 數字隔離助力新能源汽車安全隔離的新挑戰
- 汽車模塊拋負載的解決方案
- 車用連接器的安全創新應用
- Melexis Actuators Business Unit
- Position / Current Sensors - Triaxis Hall




