超級電容的典型應用與選型
發布時間:2010-05-27 來源:電子元件技術網
超chao級ji電dian容rong通tong過guo分fen離li正zheng負fu電dian荷he來lai儲chu存cun能neng量liang,是shi物wu理li方fang法fa儲chu能neng,電dian池chi是shi用yong化hua學xue反fan應ying的de方fang法fa來lai儲chu能neng,所suo以yi電dian池chi的de反fan應ying時shi間jian會hui很hen長chang,超chao級ji電dian容rong容rong量liang大da,充chong放fang電dian速su度du快kuai,而er且qie充chong放fang電dian循xun環huan可ke達da百bai萬wan次ci,非fei常chang適shi合he用yong作zuo備bei用yong電dian源yuan和he提ti供gong峰feng值zhi功gong率lv。
超級電容工作原理
超級電容可以用做後備電源,類似於UPS,zaixitongturanduandianhou,fuzezaijiduanshijianneiweixitongtigongnengliang。zaizhezhongyingyongzhong,xuyaohoubeidianyuanyoukuaisudeqidongshijian。youyuchaojidianrongshiwulifanyingdefangshichucundianneng,chongfangdiansudukuai,xiangduidianchiyouzhegengweikuaisudexiangyingshijian。

圖1:超級電容用作備用電源示意圖
電池的充放電大概在1小時到10個小時左右,而傳統用於濾波的電容,充放電在0.03秒,超級電容充放電在1秒左右,基本上是從0.1秒到10秒,這個時間正好是汽車、吊車刹車或啟動的時間,其他設備比如風力發電中,風輪機變槳的時候要提供能量也是在這個時間段。
在風力發電風輪機變槳時、機車、電動機、汽車、吊車啟動時需要的能量遠大於其正常工作時需要的能量,超級電容可以輔助電池、發動機等動力係統提供峰值功率,從而減輕電池或發動機的負擔。沒有超級電容時,在負載啟動、維持運行和終止的過程中,能量全部由電池或發動機供給。如果加入了超級電容,負載啟動時需要的峰值功率可以由超級電容承擔。

圖2:超級電容提供峰值功率示意圖
在機車、電動機、汽車、diaocheshacheshi,chaojidianrongkeyizhongxinbuhuonengliang。zheyang,jiarulechaojidianrongzuofuzhudianyuan,keyitigaonengliangliyongxiaolv,yanchangdianchihuofadongjishouming。tongshixiangduiyumeiyouchaojidianrongdedonglixitong,dianchihuofadongjibuxuyaotigongfengzhigonglv,yinerchicunkeyigengxiao。xiatushichaojidianrongfuzhudianchi、發動機的工作模式示意圖。

圖3:沒有超級電容的動力係統工作模式

圖4:超級電容用作輔助電源的動力係統工作模式
[page]
超級電容提供峰值功率的應用案例
集(ji)裝(zhuang)箱(xiang)龍(long)門(men)吊(diao)車(che)使(shi)用(yong)柴(chai)油(you)機(ji)做(zuo)動(dong)力(li),當(dang)龍(long)門(men)下(xia)來(lai)的(de)時(shi)候(hou)有(you)一(yi)個(ge)動(dong)能(neng),通(tong)常(chang)是(shi)通(tong)過(guo)刹(sha)車(che)電(dian)阻(zu)耗(hao)散(san)動(dong)能(neng),刹(sha)車(che)電(dian)阻(zu)是(shi)個(ge)耗(hao)能(neng)電(dian)阻(zu),把(ba)電(dian)變(bian)成(cheng)熱(re)耗(hao)散(san)掉(diao)。如(ru)果(guo)使(shi)用(yong)了(le)超(chao)級(ji)電(dian)容(rong),刹(sha)車(che)的(de)動(dong)能(neng)可(ke)以(yi)轉(zhuan)換(huan)成(cheng)電(dian)能(neng),通(tong)過(guo)一(yi)定(ding)的(de)電(dian)路(lu)充(chong)電(dian)到(dao)超(chao)級(ji)電(dian)容(rong)裏(li)麵(mian)去(qu),反(fan)過(guo)來(lai)當(dang)龍(long)門(men)上(shang)升(sheng)的(de)時(shi)候(hou)通(tong)過(guo)一(yi)定(ding)的(de)逆(ni)行(xing)電(dian)路(lu)把(ba)超(chao)級(ji)電(dian)容(rong)的(de)能(neng)量(liang)反(fan)饋(kui)到(dao)電(dian)機(ji)裏(li)麵(mian)。
由(you)於(yu)使(shi)用(yong)了(le)超(chao)級(ji)電(dian)容(rong)提(ti)供(gong)峰(feng)值(zhi)功(gong)率(lv),柴(chai)油(you)機(ji)隻(zhi)需(xu)要(yao)提(ti)供(gong)維(wei)持(chi)運(yun)行(xing)的(de)較(jiao)小(xiao)的(de)功(gong)率(lv),因(yin)而(er)柴(chai)油(you)機(ji)的(de)尺(chi)寸(cun)可(ke)以(yi)減(jian)小(xiao)一(yi)半(ban),同(tong)時(shi)節(jie)省(sheng)了(le)成(cheng)本(ben)。類(lei)似(si)的(de)應(ying)用(yong)還(hai)包(bao)括(kuo)叉(cha)車(che)、混合動力汽車、輕軌或地鐵。

圖5:超級電容用在集裝箱龍門吊車上麵
自動抄表係統抄表時,數據發送需要非常大的能量,超級電容能夠提供大的能量。下圖是Maxwellchaojidianrongzaizhinengdianbiaoshangdeyingyong,chaojidianrongqudaililizidianchi,shoumingkeyiyanchangyibei,zhanbanmianjibililizidianchixiao。zaizidongchaobiaoxitongzhongdeshuibiaoheqibiaozhong,chaojidianrongpeihedianchi,yanchangshiyongshouming。

圖6:超級電容在智能電表中替代電池
選擇合適的超級電容
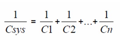
超級電容的選型和數量配置需要根據不同的應用來判斷,選擇要素包括最大和最小工作電壓、平均電流、平均功率、峰值電流、峰值功率、工作環境溫度、運行時間、壽命。
超級電容的額定電壓用VR表示,通過最大工作電壓(Vmax)可以算出需要串聯的超級電容的數量。計算公式為:

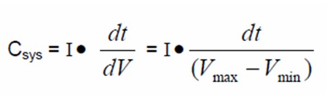
接下來,根據平均電流(I,單位為安培)、運行時間(dt,單位為秒)、最小工作電壓(Vmin),通過下麵公式,就能計算出係統所需要的電容容值的近似值。
![]()
係統電容值與串聯的每個電容之間的關係用下麵的公式表示:

如果使用相同容值的電容,那麼公式可以簡化為:
。根據這個計算值,對照產品規格表,可以找出合適的產品。
如果各個電容之間是並聯關係,係統電容值與單個電容之間的容值關係式為:
![]()
除此之外,其他需要考慮的因素有,電容的內阻與瞬時電壓降有關,工作環境溫度會影響電容內阻和壽命。
- 噪聲中提取真值!瑞盟科技推出MSA2240電流檢測芯片賦能多元高端測量場景
- 10MHz高頻運行!氮矽科技發布集成驅動GaN芯片,助力電源能效再攀新高
- 失真度僅0.002%!力芯微推出超低內阻、超低失真4PST模擬開關
- 一“芯”雙電!聖邦微電子發布雙輸出電源芯片,簡化AFE與音頻設計
- 一機適配萬端:金升陽推出1200W可編程電源,賦能高端裝備製造
- 邊緣AI的發展為更智能、更可持續的技術鋪平道路
- 每台智能體PC,都是AI時代的新入口
- IAR作為Qt Group獨立BU攜兩項重磅汽車電子應用開發方案首秀北京車展
- 構建具有網絡彈性的嵌入式係統:來自行業領袖的洞見
- 數字化的線性穩壓器
- 車規與基於V2X的車輛協同主動避撞技術展望
- 數字隔離助力新能源汽車安全隔離的新挑戰
- 汽車模塊拋負載的解決方案
- 車用連接器的安全創新應用
- Melexis Actuators Business Unit
- Position / Current Sensors - Triaxis Hall




