基於MEMS傳感器的行人航位推算(PDR)解決方案
發布時間:2016-09-13 責任編輯:susan
【導讀】定位是感知應用的一個重要屬性。在室內環境中,如果位置信息可用並非常可靠,有更多的應用場景可以實現的。行人航位推算(PDR) 就是這樣一種技術,在室內環境中可提供行人航位信息並提高定位可靠性。
慣性傳感器、cilijiheyalichuanganqishihangweituisuanyingyongzhongbibukeshaodechuanganqizujian,yongzhikedafutishengdaohangxingneng,zhexieqijiandegonghaobixujidi,zheyangcainengshizhongbaochikaiqimoshibingtigongshujuyongyuhangweituisuanyingyong。shixiansuishisuididingweidemubiaolibukaigaopinzhideMEMSchuanganqihegaoxingnengdexingrenhangweituisuansuanfa。benwenzhuyaotaolungezhongxingrenhangweituisuansuanfashangxuyaoyongdaodechuanganqizujiandeshuxuebiaoshu,yijikeyongxinghekekaoxinggenggaodePDR行人航位推算算法的測試結果。
定位技術概述
全球導航衛星係統(GNSS)接jie收shou器qi已yi成cheng為wei室shi外wai導dao航hang解jie決jue方fang案an的de常chang用yong電dian子zi元yuan器qi件jian,今jin天tian幾ji乎hu每mei一yi台tai智zhi能neng手shou機ji內nei部bu都dou有you一yi個ge這zhe樣yang的de衛wei星xing接jie收shou器qi芯xin片pian,可ke實shi現xian各ge種zhong與yu位wei置zhi相xiang關guan的de移yi動dong服fu務wu,其qi中zhong包bao括kuo導dao航hang、興xing趣qu點dian搜sou索suo和he地di圖tu。用yong戶hu開kai始shi期qi待dai他ta們men的de設she備bei在zai所suo有you環huan境jing中zhong都dou能neng提ti供gong位wei置zhi信xin息xi,但dan是shi他ta們men通tong常chang忽hu略lve衛wei星xing信xin號hao是shi不bu能neng穿chuan透tou商shang廈sha和he候hou機ji樓lou的de牆qiang壁bi和he屋wu頂ding這zhe個ge事shi實shi。建jian築zhu材cai料liao會hui使shi全quan球qiu導dao航hang衛wei星xing係xi統tong信xin號hao衰shuai減jian變bian弱ruo,即ji使shi高gao靈ling敏min度du接jie收shou器qi也ye無wu法fa在zai室shi內nei收shou到dao定ding位wei信xin息xi。
目(mu)前(qian)業(ye)內(nei)正(zheng)在(zai)開(kai)發(fa)不(bu)同(tong)的(de)行(xing)人(ren)航(hang)位(wei)推(tui)算(suan)解(jie)決(jue)方(fang)案(an),大(da)都(dou)采(cai)用(yong)無(wu)線(xian)發(fa)射(she)器(qi)充(chong)當(dang)信(xin)標(biao),利(li)用(yong)三(san)角(jiao)測(ce)量(liang)法(fa)計(ji)算(suan)接(jie)收(shou)器(qi)的(de)位(wei)置(zhi)。這(zhe)些(xie)解(jie)決(jue)方(fang)案(an)利(li)用(yong)室(shi)內(nei)環(huan)境(jing)中(zhong)的(de)Wi-Fi接入點(AP)定位。類似的解決方案還包括使用藍牙發射器、GSM和其它手機發射器或專用信標,例如Nextnavfor室內定位設備。這些技術整合運用服務器等基礎設施傳送的輔助GPS/GLONASS數據、星曆擴展數據和Wi-Fi接入點(AP)位置數據。此外,還有一種使用MEMS傳感器(加速度計、磁力計、陀螺儀和高度計)計算位置數據的室內導航技術。今天幾乎所有的智能手機、平板電腦、數碼相機、健身產品等便攜消費電子產品都配有MEMS傳感器。這些傳感器配合行人航位推算(PDR) 技術能夠確定用戶位置。每項室內定位技術都有其長處和短板。
數據整合
按照定位精度和功耗要求,微控製器整合處理各類信息源送來的信息,然後將具有不確定性的單一位置值提供給應用。使用信任參數、相關參數和過去測量數據推算每個位置,權衡Wi-Fi、藍牙、行xing人ren航hang位wei推tui算suan和he全quan球qiu導dao航hang衛wei星xing係xi統tong等deng多duo個ge技ji術shu送song來lai的de信xin息xi,數shu據ju整zheng合he算suan法fa在zai其qi中zhong發fa揮hui著zhe關guan鍵jian作zuo用yong。在zai室shi外wai,全quan球qiu導dao航hang衛wei星xing係xi統tong接jie收shou器qi送song來lai的de位wei置zhi信xin息xi精jing度du良liang好hao,不bu確que定ding性xing低di。當dang控kong製zhi器qi使shi用yong的de測ce量liang數shu據ju是shi來lai自zi用yong戶hu附fu近jin的deWi-Fi接入點時,位置計算信號強度高,Wi-Fi係統送來的位置估測數據精度也就比較高(相關不確定性低)。不過,Wi-Fi接入點數據庫(包含Wi-Fi接入點位置數據及其不確定性數據)的品質也會影響定位精度。
PDR行xing人ren航hang位wei推tui算suan不bu依yi賴lai任ren何he外wai力li協xie助zhu,無wu需xu任ren何he外wai部bu基ji礎chu設she施shi配pei合he,就jiu能neng產chan生sheng精jing確que的de相xiang對dui位wei置zhi定ding位wei信xin息xi。因yin此ci,其qi特te點dian與yu絕jue對dui定ding位wei技ji術shu優you勢shi互hu補bu,例li如ru,全quan球qiu導dao航hang衛wei星xing係xi統tong或huo基ji於yuWi-Fi的導航係統。因此,PDR行人航位推算適用於混合係統,可以在室內環境確定用戶位置,定位的精確度、可用性和可靠性更高。
行人航位推算
移動設備中的MEMS傳chuan感gan器qi因yin受shou到dao數shu據ju漂piao移yi和he噪zao聲sheng的de影ying響xiang,會hui引yin起qi基ji於yu積ji分fen運yun算suan方fang法fa的de傳chuan統tong慣guan性xing導dao航hang係xi統tong出chu現xian難nan以yi處chu理li的de位wei移yi和he姿zi態tai誤wu差cha。在zai行xing人ren航hang位wei推tui算suan應ying用yong中zhong,傳chuan統tong積ji分fen運yun算suan導dao航hang方fang法fa效xiao果guo不bu理li想xiang,因yin為wei與yu人ren體ti運yun動dong相xiang關guan的de複fu雜za動dong力li學xue很hen難nan建jian模mo,將jiang其qi用yong於yu運yun算suan有you不bu小xiao的de難nan度du。在zai過guo去qu十shi年nian中zhong,業ye內nei主zhu要yao開kai發fa出chu兩liang種zhong很hen有you前qian景jing的de室shi內nei環huan境jing行xing人ren導dao航hang方fang法fa,一yi種zhong在zai參can考kao文wen獻xian[1]論述的基於零速率更新的INS-EKF-ZUPT (IEZ)慣導方法,另一種是包括步伐檢測、步長估算和航向算法的基於人類步行動力學的慣導方法。基於零速率更新的(ZUPT)的(de)方(fang)法(fa)基(ji)於(yu)一(yi)個(ge)假(jia)設(she)和(he)一(yi)個(ge)物(wu)理(li)現(xian)象(xiang),即(ji)假(jia)設(she)慣(guan)性(xing)傳(chuan)感(gan)器(qi)是(shi)安(an)裝(zhuang)在(zai)腳(jiao)上(shang),且(qie)每(mei)邁(mai)出(chu)一(yi)步(bu)後(hou)都(dou)是(shi)暫(zan)時(shi)靜(jing)止(zhi)狀(zhuang)態(tai)。本(ben)文(wen)主(zhu)要(yao)討(tao)論(lun)通(tong)用(yong)性(xing)更(geng)強(qiang)的(de)方(fang)法(fa)。
從通用導航方程式[2]可以推出行人航位推算過程的數學表述。在進行兩次積分運算後,平台加速度變成了北東坐標係的位置,可以寫為:

方程式1
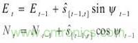
其中,(t)是位移,(t)是航向。在行人步伐間隔期間,假設速度和航向是常量。考慮到折線法,方程式1可改寫成:

方程式2
方程式2表述航位推算(DR)算法,該方法是基於步數計算,而不是加速度和角速率的積分運算。方程式2的航位推算過程有三個要素:1)在t-1 (Et-1, Nt-1)時最後一次已知的用戶絕對位置(用東北坐標係表示);2)從t-1到t()的步長;3)從時間t-1開始的航向 (ψ) 可以算出新位置相對已知位置(Et-1, Nt-1)的坐標(Et, Nt),如方程式2所示。
我們仔細觀察方程式2不難發現,行人航位推算精度取決於兩個要素:1)行走距離的計算,2)用戶航向(或方向)在(zai)行(xing)人(ren)航(hang)位(wei)推(tui)算(suan)原(yuan)理(li)中(zhong),行(xing)走(zou)距(ju)離(li)的(de)計(ji)算(suan)方(fang)法(fa)是(shi)檢(jian)測(ce)估(gu)算(suan)行(xing)人(ren)每(mei)行(xing)走(zou)一(yi)步(bu)的(de)步(bu)長(chang),然(ran)後(hou)累(lei)計(ji)步(bu)長(chang)估(gu)算(suan)值(zhi)。精(jing)確(que)地(di)估(gu)算(suan)全(quan)球(qiu)用(yong)戶(hu)的(de)步(bu)長(chang)是(shi)一(yi)項(xiang)具(ju)有(you)挑(tiao)戰(zhan)性(xing)的(de)任(ren)務(wu)。目(mu)前(qian)業(ye)內(nei)開(kai)發(fa)出(chu)了(le)多(duo)個(ge)步(bu)長(chang)精(jing)確(que)估(gu)算(suan)模(mo)型(xing),見(jian)參(can)考(kao)文(wen)獻(xian)[3][4]。
圖1所(suo)示(shi)是(shi)含(han)有(you)各(ge)種(zhong)組(zu)件(jian)的(de)行(xing)人(ren)航(hang)位(wei)推(tui)算(suan)係(xi)統(tong)框(kuang)圖(tu)。慣(guan)性(xing)傳(chuan)感(gan)器(qi)數(shu)據(ju)通(tong)過(guo)校(xiao)準(zhun)監(jian)視(shi)邏(luo)輯(ji)處(chu)理(li),以(yi)保(bao)持(chi)對(dui)加(jia)速(su)度(du)計(ji)和(he)陀(tuo)螺(luo)儀(yi)測(ce)量(liang)偏(pian)差(cha)和(he)標(biao)度(du)係(xi)數(shu)的(de)精(jing)確(que)估(gu)算(suan)。磁(ci)強(qiang)計(ji)數(shu)據(ju)通(tong)過(guo)校(xiao)準(zhun)監(jian)視(shi)模(mo)塊(kuai)處(chu)理(li),以(yi)決(jue)定(ding)是(shi)硬(ying)鐵(tie)參(can)數(shu)還(hai)是(shi)軟(ruan)鐵(tie)參(can)數(shu)。磁(ci)力(li)計(ji)數(shu)據(ju)監(jian)視(shi)的(de)另(ling)一(yi)個(ge)目(mu)的(de)是(shi)確(que)定(ding)測(ce)量(liang)數(shu)據(ju)有(you)無(wu)磁(ci)性(xing)幹(gan)擾(rao)數(shu)據(ju),防(fang)止(zhi)磁(ci)幹(gan)擾(rao)影(ying)響(xiang)校(xiao)準(zhun)參(can)數(shu)。

圖1.行人航位推算框圖
步伐檢測算法利用模式匹配法與人類步態模型特征匹配。加速度模式隨著設備攜帶位置(褲子口袋、腰帶包、襯衫口袋)不同而變化。載物位置確定模塊用於確定設備常用存放位置,例如,手裏拿著擺臂走路;舉在頭部附近,放在褲子口袋、襯衫口袋、腰帶包、雙肩背包裏。
用(yong)戶(hu)航(hang)向(xiang)是(shi)行(xing)人(ren)航(hang)位(wei)推(tui)算(suan)方(fang)程(cheng)式(shi)的(de)第(di)二(er)個(ge)術(shu)語(yu),包(bao)括(kuo)設(she)備(bei)航(hang)向(xiang)和(he)用(yong)戶(hu)行(xing)走(zou)方(fang)向(xiang)。計(ji)算(suan)設(she)備(bei)航(hang)向(xiang)需(xu)要(yao)使(shi)用(yong)經(jing)過(guo)傾(qing)斜(xie)修(xiu)正(zheng)的(de)羅(luo)盤(pan)測(ce)量(liang)值(zhi)。不(bu)過(guo),因(yin)為(wei)外(wai)部(bu)磁(ci)擾(rao)會(hui)影(ying)響(xiang)羅(luo)盤(pan)的(de)性(xing)能(neng),完(wan)全(quan)依(yi)賴(lai)羅(luo)盤(pan)的(de)測(ce)量(liang)值(zhi)不(bu)現(xian)實(shi),這(zhe)是(shi)我(wo)們(men)采(cai)用(yong)一(yi)個(ge)數(shu)據(ju)整(zheng)合(he)濾(lv)波(bo)器(qi)又(you)稱(cheng)姿(zi)態(tai)濾(lv)波(bo)器(qi),整(zheng)合(he)磁(ci)力(li)計(ji)、陀(tuo)螺(luo)儀(yi)和(he)加(jia)速(su)度(du)計(ji)數(shu)據(ju)的(de)主(zhu)要(yao)原(yuan)因(yin)。姿(zi)態(tai)濾(lv)波(bo)器(qi)可(ke)以(yi)計(ji)算(suan)設(she)備(bei)在(zai)人(ren)體(ti)坐(zuo)標(biao)係(xi)相(xiang)對(dui)大(da)地(di)參(can)考(kao)坐(zuo)標(biao)係(xi)的(de)方(fang)向(xiang)。因(yin)為(wei)這(zhe)個(ge)數(shu)學(xue)表(biao)達(da)式(shi)比(bi)較(jiao)緊(jin)湊(cou),所(suo)以(yi)設(she)備(bei)方(fang)向(xiang)用(yong)四(si)元(yuan)數(shu)表(biao)示(shi),與(yu)Euler角度或 9 X 9 方向矩陣相比,四元數更具有數字穩定性。姿態濾波器基於擴展卡爾曼濾波器(EKF)概gai念nian,以yi解jie決jue外wai部bu磁ci場chang強qiang度du不bu斷duan變bian化hua和he用yong戶hu在zai常chang用yong情qing況kuang下xia導dao致zhi的de設she備bei動dong態tai運yun動dong對dui航hang向xiang的de影ying響xiang。因yin為wei航hang向xiang對dui總zong體ti定ding位wei精jing度du的de影ying響xiang巨ju大da,所suo以yi必bi須xu認ren真zhen考kao慮lv傳chuan感gan器qi隨sui機ji噪zao聲sheng、偏差、偏差不穩定性、非線性以及其它的可能降低係統性能的因素。
低噪聲磁力計的重要性
在3-D空間正常旋轉設備時,傳感器各軸受地磁場強矢量影響,我們使用此時采集到的測量數據計算磁強計校準參數(硬鐵和軟鐵)。偏(pian)移(yi)估(gu)算(suan)精(jing)度(du)與(yu)磁(ci)強(qiang)計(ji)數(shu)據(ju)中(zhong)的(de)噪(zao)聲(sheng)信(xin)號(hao)直(zhi)接(jie)關(guan)聯(lian)。如(ru)果(guo)磁(ci)力(li)計(ji)的(de)噪(zao)聲(sheng)非(fei)常(chang)高(gao),偏(pian)移(yi)估(gu)算(suan)精(jing)度(du)將(jiang)會(hui)變(bian)差(cha),最(zui)終(zhong)將(jiang)會(hui)影(ying)響(xiang)航(hang)向(xiang)估(gu)算(suan)結(jie)果(guo)。偏(pian)移(yi)估(gu)算(suan)誤(wu)差(cha)對(dui)高(gao)緯(wei)度(du)地(di)區(qu)定(ding)準(zhun)更(geng)加(jia)重(zhong)要(yao),因(yin)為(wei)高(gao)緯(wei)度(du)地(di)區(qu)磁(ci)場(chang)水(shui)平(ping)場(chang)強(qiang)較(jiao)弱(ruo)。即(ji)便(bian)在(zai)水(shui)平(ping)場(chang)強(qiang)中(zhong)等(deng)地(di)區(qu),1 µT偏移誤差可以引起5度的航向誤差,這對於行人航位推算應用是一個不小的誤差。
行走角度確定
zitailvboqiyongyujisuanshebeizaishentizuobiaoxineidehangxiang。buguo,shebeikenengsuiyizhiyuyonghushentimouyiweizhi,zitailvboqihangxiangyuyonghuhangxianghuoxingzoufangxiangbingbuyizhi,rutu2所示。

圖2.行走方向
行走角度α的計算運用了行人運動的身體特征以及加速度波形的周期特征和統計學。
測試結果
我們采用加速度計和陀螺儀模塊(LSM6DSM)、磁強計(LSM303AGR)和壓力傳感器(LPS22HB)和STM32微控製器開發出一個行人航位推算解決方案,這個由傳感器、微控製器和藍牙組成的硬件參考設計叫做SensorTile™ (詳情訪問www.ST.com),可以利用一個安卓應用在手機上實時顯示行人航位推算軌跡輸出。六軸傳感器LSM6DSM(加速度計 + 陀螺儀)正常工作模式下功耗小於400 µA。在這個傳感器模塊內,陀螺儀的角速率噪聲密度為3.8 mdps /√Hz。加速度計噪聲密度為90 µg /√Hz。磁力計的RMS噪聲為3 mGauss,采用AMR技術,無溫度漂移問題,在高分辨率模式下,工作電流小於200 µA。壓力傳感器RMS噪聲為0.0075 hPA,溫度漂移0.1 hPa。
上文描述的傳感器的噪聲特性和偏移穩定性,配合穩健可靠的高性能行人航位推算算法,可以實現隨時隨地定位的目標。
下圖3所示是某些常用場景行走測試軌跡。

圖3.行人航位推算在常用場合行走測試結果
特別推薦
- 噪聲中提取真值!瑞盟科技推出MSA2240電流檢測芯片賦能多元高端測量場景
- 10MHz高頻運行!氮矽科技發布集成驅動GaN芯片,助力電源能效再攀新高
- 失真度僅0.002%!力芯微推出超低內阻、超低失真4PST模擬開關
- 一“芯”雙電!聖邦微電子發布雙輸出電源芯片,簡化AFE與音頻設計
- 一機適配萬端:金升陽推出1200W可編程電源,賦能高端裝備製造
技術文章更多>>
- 算力爆發遇上電源革新,大聯大世平集團攜手晶豐明源線上研討會解鎖應用落地
- 築基AI4S:摩爾線程全功能GPU加速中國生命科學自主生態
- 一秒檢測,成本降至萬分之一,光引科技把幾十萬的台式光譜儀“搬”到了手腕上
- AI服務器電源機櫃Power Rack HVDC MW級測試方案
- 突破工藝邊界,奎芯科技LPDDR5X IP矽驗證通過,速率達9600Mbps
技術白皮書下載更多>>
- 車規與基於V2X的車輛協同主動避撞技術展望
- 數字隔離助力新能源汽車安全隔離的新挑戰
- 汽車模塊拋負載的解決方案
- 車用連接器的安全創新應用
- Melexis Actuators Business Unit
- Position / Current Sensors - Triaxis Hall
熱門搜索
微波功率管
微波開關
微波連接器
微波器件
微波三極管
微波振蕩器
微電機
微調電容
微動開關
微蜂窩
位置傳感器
溫度保險絲
溫度傳感器
溫控開關
溫控可控矽
聞泰
穩壓電源
穩壓二極管
穩壓管
無焊端子
無線充電
無線監控
無源濾波器
五金工具
物聯網
顯示模塊
顯微鏡結構
線圈
線繞電位器
線繞電阻



