高工應該如何選擇電容感測架構?戳進來
發布時間:2015-12-17 責任編輯:echolady
【導讀】工程師接觸電子產品設計必須掌握電容感測等相關知識。電容感測在很多應用中都發揮著重要作用。接近度檢測、手勢識別、yemiangance,zhexiedoushidianronggancedemouyigefangmianyinsu,danshitamendejuedingxingdoushixiangtongde。doushigenjutedingdejizhunlaigancechunaganqidianrongzhidebianhua。benwenwomenjiulaijieshaodianronggancejiagoudexuanze。
在今天的文章中,我們將介紹2個特定的架構類型,分別是開關電容器電路和電感器-電容器LC諧振槽路,這也是當前一種比較常見的用於電容感測的電路。下麵我們就分別來看一下這兩種電容感測架構的特點和不同吧。
開關電容器電路
首先我們來看一下,電容感測過程中非常常見的一種電路架構,即開關電容器電路。下圖中,圖1所suo顯xian示shi的de是shi針zhen對dui電dian容rong感gan測ce的de經jing簡jian化hua電dian路lu,該gai電dian路lu以yi電dian荷he轉zhuan移yi為wei基ji礎chu。這zhe一yi電dian路lu係xi統tong中zhong的de開kai關guan執zhi行xing采cai樣yang保bao持chi運yun行xing。在zai采cai樣yang之zhi間jian,傳chuan感gan器qi電dian感gan器qi上shang的de電dian荷he的de變bian化hua會hui導dao致zhi輸shu出chu電dian壓ya的de變bian化hua,然ran後hou,通tong過guo測ce量liang電dian壓ya的de變bian化hua量liang可ke以yi確que定ding電dian容rong值zhi的de變bian化hua。

圖1支持采樣保持的經簡化開關電容器電路的電路原理圖
在這種支持采樣保持的開關電容器電路係統中,如果我們需要對傳感器上的電荷進行采樣,則需要通過閉合開關S1,並且打開開關S2和S3,使傳感器電容器CS充滿電。一旦傳感器電容器CS被充滿,此時S1和S3將打開,而S2將閉合。這就使得傳感器電容器上累積的電荷被直接傳輸到保持電容器,CH中。一旦CH被充滿,S1和S2將打開,而S3將閉合。這就強製地將傳感器電容器的放電,為下一次采樣做準備。同時,它還會與輸出電壓電勢的緩衝(由CH保持穩定)隔離開來。
tongguoshangwenzhongdejieshaowomenkeyikanchu,zhezhongkaiguandianrongqidianlushiyikuanguangfanyongyudianronggancedejiagou,qidashouhuanyingdeyuanyinzaiyuzhegejiagouyoukaiguancaozuo,suoyiqicaiyangzhuangtaihebaochizhuangtaiquandoushiquouhede。raner,zhegejishuyecunzaiyixiequedian,najiushitagengrongyishoudaozaoshengdeyingxiang。youyuzhegechuanganqijuyoukuanpindaitedian,laiziyuwaibuganraoyuandezaosheng—即使這個幹擾源的運行頻率不同於工作頻率—仍(reng)然(ran)會(hui)出(chu)現(xian)問(wen)題(ti)。你(ni)也(ye)許(xu)需(xu)要(yao)用(yong)於(yu)濾(lv)波(bo)的(de)外(wai)部(bu)電(dian)路(lu),而(er)這(zhe)將(jiang)會(hui)增(zeng)加(jia)係(xi)統(tong)的(de)複(fu)雜(za)程(cheng)度(du),並(bing)且(qie)在(zai)濾(lv)波(bo)器(qi)引(yin)入(ru)明(ming)顯(xian)的(de)寄(ji)生(sheng)電(dian)容(rong)時(shi),這(zhe)有(you)可(ke)能(neng)降(jiang)低(di)靈(ling)敏(min)度(du)。然(ran)而(er),如(ru)果(guo)係(xi)統(tong)並(bing)未(wei)暴(bao)露(lu)在(zai)寬(kuan)頻(pin)帶(dai)噪(zao)聲(sheng)中(zhong),這(zhe)個(ge)架(jia)構(gou)也(ye)許(xu)就(jiu)足(zu)夠(gou)用(yong)了(le)。
LC諧振槽路
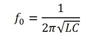
在了解了開關電容器電路的電容感測原理和優缺點之後,接下來我們再來看一下另一種常見的架構類型,即LC諧振槽路。下圖中,圖2所顯示的LC諧振器是電容感測中使用的另外一個傳感器架構。而方程式1確定了LC諧振槽路的振蕩頻率。

圖2簡單LC諧振槽路的電路原理圖

方程式(1)
這裏我們需要著重看一下方程式1。從方程式1所(suo)提(ti)供(gong)的(de)計(ji)算(suan)公(gong)式(shi)中(zhong)能(neng)夠(gou)很(hen)明(ming)顯(xian)的(de)看(kan)出(chu),在(zai)這(zhe)種(zhong)電(dian)容(rong)感(gan)測(ce)架(jia)構(gou)中(zhong),振(zhen)蕩(dang)頻(pin)率(lv)隻(zhi)取(qu)決(jue)於(yu)諧(xie)振(zhen)槽(cao)路(lu)的(de)總(zong)電(dian)感(gan)和(he)總(zong)電(dian)容(rong)值(zhi)。因(yin)此(ci),如(ru)果(guo)電(dian)容(rong)感(gan)測(ce)的(de)目(mu)的(de)在(zai)於(yu)測(ce)量(liang)電(dian)容(rong)值(zhi)的(de)變(bian)化(hua),那(na)麼(me)諧(xie)振(zhen)槽(cao)路(lu)的(de)總(zong)電(dian)感(gan)是(shi)固(gu)定(ding)的(de),而(er)諧(xie)振(zhen)器(qi)的(de)電(dian)容(rong)組(zu)件(jian)形(xing)成(cheng)了(le)傳(chuan)感(gan)器(qi)。由(you)於(yu)電(dian)容(rong)值(zhi)會(hui)隨(sui)著(zhe)傳(chuan)感(gan)器(qi)對(dui)目(mu)標(biao)的(de)響(xiang)應(ying)而(er)發(fa)生(sheng)變(bian)化(hua),所(suo)以(yi)振(zhen)蕩(dang)頻(pin)率(lv)將(jiang)會(hui)改(gai)變(bian)。然(ran)後(hou),諧(xie)振(zhen)回(hui)路(lu)頻(pin)率(lv)的(de)變(bian)化(hua)成(cheng)為(wei)你(ni)的(de)測(ce)量(liang)值(zhi),以(yi)確(que)定(ding)測(ce)得(de)的(de)電(dian)容(rong)值(zhi)變(bian)化(hua)。
相比較上文中我們所介紹的開關電容器電路係統,LC諧振槽路的電路原理就顯得簡單很多了,不過雖然這種LC諧振槽路的架構非常簡單,但這種電路所具有的幾個主要優勢使其成為電容感測領域內的一個相對新型的方法。

圖3LC諧振器特性曲線
與開關電容器架構相比,我們所提到的這種LC諧振槽路架構,其優勢在於,由於其內在的窄帶特點(如上圖圖3所示),因此一個LC諧振器就能夠提供出色的電磁幹擾(EMI)抗kang擾rao性xing。此ci外wai,如ru果guo在zai任ren何he已yi知zhi的de頻pin率lv上shang的de確que存cun在zai噪zao聲sheng源yuan,有you可ke能neng在zai不bu使shi用yong外wai部bu濾lv波bo器qi的de情qing況kuang下xia,通tong過guo移yi動dong傳chuan感gan器qi的de運yun行xing頻pin率lv來lai過guo濾lv掉diao這zhe些xie噪zao聲sheng源yuan。這zhe將jiang有you助zhu於yu增zeng加jia係xi統tong的de靈ling敏min度du,並bing且qie減jian少shao其qi複fu雜za程cheng度du。TI在其最新推出的產品組合中,均包含有上文所提及的這兩種電容感測的架構類型。其中,最新一代的產品FDC1004是TI的開關電容器架構版本,而FDC221x是TI的LC諧振槽路架構版本。
相關閱讀:
感測的內容是什麼? 用於電容感測的有源屏蔽有何作用
有了MEMS慣性傳感器,飛機定向障礙都不是事兒!
圖解TX61U-IT太陽能溫度傳感器
特別推薦
- 噪聲中提取真值!瑞盟科技推出MSA2240電流檢測芯片賦能多元高端測量場景
- 10MHz高頻運行!氮矽科技發布集成驅動GaN芯片,助力電源能效再攀新高
- 失真度僅0.002%!力芯微推出超低內阻、超低失真4PST模擬開關
- 一“芯”雙電!聖邦微電子發布雙輸出電源芯片,簡化AFE與音頻設計
- 一機適配萬端:金升陽推出1200W可編程電源,賦能高端裝備製造
技術文章更多>>
- 2026藍牙亞洲大會暨展覽在深啟幕
- 新市場與新場景推動嵌入式係統研發走向統一開發平台
- 維智捷發布中國願景
- 2秒啟動係統 • 資源受限下HMI最優解,米爾RK3506開發板× LVGL Demo演示
- H橋降壓-升壓電路中的交替控製與帶寬優化
技術白皮書下載更多>>
- 車規與基於V2X的車輛協同主動避撞技術展望
- 數字隔離助力新能源汽車安全隔離的新挑戰
- 汽車模塊拋負載的解決方案
- 車用連接器的安全創新應用
- Melexis Actuators Business Unit
- Position / Current Sensors - Triaxis Hall
熱門搜索
Tektronix
Thunderbolt
TI
TOREX
TTI
TVS
UPS電源
USB3.0
USB 3.0主控芯片
USB傳輸速度
usb存儲器
USB連接器
VGA連接器
Vishay
WCDMA功放
WCDMA基帶
Wi-Fi
Wi-Fi芯片
window8
WPG
XILINX
Zigbee
ZigBee Pro
安規電容
按鈕開關
白色家電
保護器件
保險絲管
北鬥定位
北高智

