教你用軟件修正三軸正交型傳感器正交性
發布時間:2015-01-21 來源:Ivan 的專欄 責任編輯:sherryyu
【導讀】如果我們對測量精度要求非常高,就不能僅僅隻是對單個傳感器jinxingxiuzheng,haiyaokaolvsangechuanganqideminganzhoushifouyangedezhengjiao。henduoshihouwomenxuyaozaixidetiaozhengsangechuanganqidezhengjiaoguanxi,danshijiangsangechuanganqitiaozhengdaowanquanzhengjiaoshihennande,,zhelijieshaoyizhongjibenderuanjianxiuzhengfangfa。taduidaduoshuleixingdechuanganqidoukeyishiyong。
當(dang)需(xu)要(yao)測(ce)量(liang)的(de)物(wu)理(li)量(liang)為(wei)矢(shi)量(liang)時(shi),我(wo)們(men)需(xu)要(yao)使(shi)用(yong)三(san)個(ge)正(zheng)交(jiao)放(fang)置(zhi)的(de)傳(chuan)感(gan)器(qi)來(lai)分(fen)別(bie)測(ce)量(liang)物(wu)理(li)量(liang)的(de)各(ge)個(ge)分(fen)量(liang),以(yi)此(ci)來(lai)合(he)成(cheng)一(yi)個(ge)完(wan)整(zheng)的(de)矢(shi)量(liang)。如(ru)果(guo)我(wo)們(men)對(dui)測(ce)量(liang)精(jing)度(du)要(yao)求(qiu)非(fei)常(chang)高(gao),就(jiu)不(bu)能(neng)僅(jin)僅(jin)隻(zhi)是(shi)對(dui)單(dan)個(ge)傳(chuan)感(gan)器(qi)進(jin)行(xing)修(xiu)正(zheng),還(hai)要(yao)考(kao)慮(lv)三(san)個(ge)傳(chuan)感(gan)器(qi)的(de)敏(min)感(gan)軸(zhou)是(shi)否(fou)嚴(yan)格(ge)的(de)正(zheng)交(jiao)。很(hen)多(duo)時(shi)候(hou)我(wo)們(men)需(xu)要(yao)仔(zai)細(xi)的(de)調(tiao)整(zheng)三(san)個(ge)傳(chuan)感(gan)器(qi)的(de)正(zheng)交(jiao)關(guan)係(xi),但(dan)是(shi)將(jiang)三(san)個(ge)傳(chuan)感(gan)器(qi)調(tiao)整(zheng)到(dao)完(wan)全(quan)正(zheng)交(jiao)是(shi)很(hen)難(nan)的(de),並(bing)且(qie)許(xu)多(duo)時(shi)候(hou),由(you)於(yu)設(she)計(ji)等(deng)原(yuan)因(yin),這(zhe)種(zhong)機(ji)械(xie)上(shang)的(de)調(tiao)校(xiao)是(shi)無(wu)法(fa)進(jin)行(xing)的(de)。這(zhe)時(shi),軟(ruan)件(jian)修(xiu)正(zheng)就(jiu)成(cheng)了(le)必(bi)不(bu)可(ke)少(shao)的(de)步(bu)驟(zhou),軟(ruan)件(jian)修(xiu)正(zheng)大(da)多(duo)數(shu)時(shi)候(hou)也(ye)比(bi)機(ji)械(xie)上(shang)的(de)調(tiao)校(xiao)更(geng)簡(jian)單(dan)。
這zhe裏li介jie紹shao一yi種zhong基ji本ben的de軟ruan件jian修xiu正zheng方fang法fa。它ta對dui大da多duo數shu類lei型xing的de傳chuan感gan器qi都dou可ke以yi使shi用yong。首shou先xian,假jia設she單dan獨du的de每mei個ge傳chuan感gan器qi的de測ce量liang的de值zhi都dou是shi準zhun確que的de,這zhe可ke以yi通tong過guo預yu先xian對dui每mei個ge傳chuan感gan器qi進jin行xing標biao定ding來lai完wan成cheng。
這裏設三個傳感器的測量值分別是 x1,x2,x3。這三個值可以合成一個列向量X:

所謂軟件修正算法,就是找到從 X到 Y 的映射。由解析幾何知識我們知道X到 Y 的映射可以通過一個線性變換C來表示:

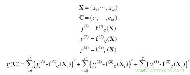
寫到這裏其實方法就很明了了,我們隻需要求得這個轉換矩陣C就一切都解決了。
轉換矩陣C如(ru)何(he)求(qiu),當(dang)然(ran)是(shi)通(tong)過(guo)大(da)量(liang)的(de)測(ce)量(liang)數(shu)據(ju)來(lai)擬(ni)合(he)。實(shi)驗(yan)數(shu)據(ju)的(de)獲(huo)得(de)很(hen)重(zhong)要(yao),最(zui)好(hao)能(neng)有(you)個(ge)比(bi)較(jiao)精(jing)密(mi)的(de)三(san)軸(zhou)轉(zhuan)台(tai),這(zhe)樣(yang)轉(zhuan)各(ge)個(ge)角(jiao)度(du)都(dou)比(bi)較(jiao)方(fang)便(bian)。沒(mei)有(you)也(ye)沒(mei)關(guan)係(xi),但(dan)至(zhi)少(shao)要(yao)能(neng)把(ba)裝(zhuang)配(pei)好(hao)的(de)傳(chuan)感(gan)器(qi)組(zu)沿(yan)三(san)個(ge)已(yi)知(zhi)的(de)方(fang)向(xiang)放(fang)置(zhi),並(bing)且(qie)這(zhe)三(san)個(ge)方(fang)向(xiang)要(yao)擺(bai)放(fang)的(de)很(hen)精(jing)確(que)。通(tong)常(chang),我(wo)們(men)選(xuan)的(de)這(zhe)三(san)個(ge)方(fang)向(xiang)是(shi)相(xiang)互(hu)正(zheng)交(jiao)的(de),這(zhe)三(san)個(ge)方(fang)向(xiang)上(shang)物(wu)理(li)量(liang)的(de)真(zhen)實(shi)值(zhi)就(jiu)是(shi)上(shang)麵(mian)式(shi)子(zi)中(zhong)的(de)y1、y2、y3,huanjuhuashuozhesangefangxiangshisangechuanganqidemingyishangdequxiang,suiranzhesangechuanganqikenengquandoubaiwaile。jutiruhecaijishujujiubuxiangximiaoshule,youyuweizhicanshuyou9個,至少要采集9組數據才行,條件允許的話當然是數據越多越好。
[page]
下麵說說如何對采集到的數據進行擬合。通常我們遇到的最小二乘擬合問題的待擬合的函數都可以表示為:

這個問題已經有成熟的算法,各種常見的數學軟件,比如 Matlab、Mathematica、scilab、Lingo 等都有現成的程序包來完成這個計算。我們現在的問題難點在於 y 也是個向量,這就需要我們對上麵的方法進行一點簡單的變形。簡單的說,我們實際上是有三個待擬合函數的,因此g(C)也要做相應的改變:

經過這樣轉化後就成了一個普通的最優化問題(函數求極值)了,各種數學軟件都可以方便的計算出結果。
這裏再多說幾句,我個人喜歡使用 gnuplot,gnuplot中有個 fit 命令,也可以完成多元函數擬合。Gnuplot的 fit 命令采用非線性最小二乘 (NLLS) Marquardt-Levenberg算法,擬合能力非常強悍,隻要擬合參數的初值給的別太離譜,基本都能夠收斂到最優解上。fit命令具體的用法可以參考gnuplot的幫助文件。這裏隻講講如何處理 y是多個值的問題,方法很簡單,就是通過多引入一個自變量,將多值函數改造成普通的函數:

這裏需要注意的是如果a1,a2,a3成為未知數,c11,c22,c33就可以作為已知量了,比如設c11=c22=c33=1,因為這裏的六個未知數隻有三個是獨立的。因此,實際上隻增加了三個未知數。
如果將上麵的方法和溫度修正一起考慮的話可以這樣處理:

上麵式子中的t是溫度,這裏的溫度修正算法比較簡單,主要是為了盡量少引入未知的參數。後麵的計算就沒什麼不同的了。
特別推薦
- 噪聲中提取真值!瑞盟科技推出MSA2240電流檢測芯片賦能多元高端測量場景
- 10MHz高頻運行!氮矽科技發布集成驅動GaN芯片,助力電源能效再攀新高
- 失真度僅0.002%!力芯微推出超低內阻、超低失真4PST模擬開關
- 一“芯”雙電!聖邦微電子發布雙輸出電源芯片,簡化AFE與音頻設計
- 一機適配萬端:金升陽推出1200W可編程電源,賦能高端裝備製造
技術文章更多>>
- 三星上演罕見對峙:工會集會討薪,股東隔街抗議
- 摩爾線程實現DeepSeek-V4“Day-0”支持,國產GPU適配再提速
- 築牢安全防線:智能駕駛邁向規模化應用的關鍵挑戰與破局之道
- GPT-Image 2:99%文字準確率,AI生圖告別“鬼畫符”
- 機器人馬拉鬆的勝負手:藏在主板角落裏的“時鍾戰爭”
技術白皮書下載更多>>
- 車規與基於V2X的車輛協同主動避撞技術展望
- 數字隔離助力新能源汽車安全隔離的新挑戰
- 汽車模塊拋負載的解決方案
- 車用連接器的安全創新應用
- Melexis Actuators Business Unit
- Position / Current Sensors - Triaxis Hall
熱門搜索
鑒頻器
江蘇商絡
交流電機
腳踏開關
接觸器接線
接近開關
接口IC
介質電容
介質諧振器
金屬膜電阻
晶體濾波器
晶體諧振器
晶體振蕩器
晶閘管
精密電阻
精密工具
景佑能源
聚合物電容
君耀電子
開發工具
開關
開關電源
開關電源電路
開關二極管
開關三極管
科通
可變電容
可調電感
可控矽
空心線圈

