一種基於感應原理的城市地下管道檢查孔定位係統
發布時間:2008-10-22 來源:電子技術應用
中心論題:
- 檢測原理及探頭的設計
- 檢測電路設計
- 實驗結果
解決方案:
- 發射電路產生具有足夠功率的20kHz的正弦激勵信號
- 接收電路中模擬開關的用來檢測接收信號的相位移
- 距離測量裝置由裝有霍爾傳感器的滑輪組及其相應的輔助電路組成
suoweijianzhakongshizhichengshizhongbeigongluhuorenxingdaolumiansuofugaidegezhongdixiaguandaozhongweifangbianguandaoweihusuoyuliudechurukou。youyuniandaijiuyuandengyuanyin,youguanzhexiejianzhakongweizhideziliaowangwangbushihenquan,erjianzhakongbenshenyouhuibeilumianliqinghuoqitawutisuofugai,zhejiugeichengshiguandaodeweihujianxiudailailejidadekunnan。weilezaibuxuyaodaguimokaiwadeqingkuangxiazaijiqianmideguandaofanweineizhunquedizhaodaosuoxuyaodejianzhakongweizhi,yizhongyibiludianshishebeiweihexindejianzhakongdingweixitongzengjingzaiyixieguojiadedaoleyingyong。danshizhezhongxitongbujinjiageanggui,erqiecaozuofuza,gongzuoshixuyaoyourengongzaixianshiqishanggenjutuxiangjinxingshijidepanduan。suoyiduiyufuzedixiaguandaoweihudeshizhengdanweilaishuo,jixuyizhongjijiandanyoujingjishiyongdejianzhakongdingweijiancexitong。
利用電磁感應原理的測量技術在工業中的應用由來已久。渦流無損檢測技術可以用來對導電材料的材質、厚度、weiyidengjinxingzaixianjiance。shiyougongyezhongguangfanyingyongdeganyingcejingjishukeyiduijingxiadicengdewulixingzhijinxingfenxi,congerhuodedixiadehanyouqicanshu。genjutongyangyuanlishejidejianzhakongdingweixitongyoudixiahedimianliangbufenzucheng。dixiabufenyouganyingtantoujiqixiangyingdedianluzucheng;地di麵mian部bu分fen由you以yi霍huo爾er傳chuan感gan器qi為wei主zhu的de距ju離li測ce量liang裝zhuang置zhi及ji以yi便bian攜xie式shi計ji算suan機ji為wei主zhu的de數shu據ju采cai集ji處chu理li裝zhuang置zhi組zu成cheng。地di麵mian部bu分fen和he地di下xia部bu分fen通tong過guo電dian纜lan聯lian接jie。工gong作zuo時shi,探tan頭tou由you掛gua在zai它ta前qian端duan的de鋼gang纜lan拖tuo拉la以yi提ti供gong在zai地di下xia管guan道dao中zhong前qian進jin的de動dong力li。根gen據ju探tan頭tou位wei置zhi所suo在zai的de環huan境jing介jie質zhi的de電dian導dao率lv及ji當dang時shi的de距ju離li信xin號hao,就jiu可ke以yi得de到dao相xiang應ying的de數shu據ju處chu理li結jie果guo。由you於yu在zai大da多duo數shu情qing況kuang下xia,地di下xia管guan道dao周zhou圍wei土tu壤rang的de電dian導dao率lv一yi般ban在zai0.01s/m~0.1s/m之間,而在充滿空氣的檢查孔中,探頭周圍介質的電導率會下降到0.005s/m以下,所以這種方法可以很準確地為被覆蓋的檢查孔定位。
檢測原理及探頭的設計
感應探頭中設計有發射和接收線圈,如圖1所示。當發射線圈T通有恒定的交流電流時,由於電磁感應的作用,在接收線圈R中將會產生一個與發射電流頻率相同、相位滯後π/2的感應電動勢ex。同時發射線圈T上(shang)的(de)交(jiao)變(bian)電(dian)流(liu)周(zhou)圍(wei)形(xing)成(cheng)的(de)交(jiao)變(bian)電(dian)磁(ci)場(chang)會(hui)在(zai)探(tan)頭(tou)周(zhou)圍(wei)介(jie)質(zhi)中(zhong)產(chan)生(sheng)與(yu)線(xian)圈(quan)同(tong)軸(zhou)的(de)渦(wo)流(liu)電(dian)流(liu)。同(tong)樣(yang),由(you)交(jiao)變(bian)渦(wo)流(liu)電(dian)流(liu)所(suo)形(xing)成(cheng)的(de)電(dian)磁(ci)場(chang)作(zuo)用(yong)到(dao)接(jie)收(shou)線(xian)圈(quan)R上,就會產生一個與探頭周圍介質的導電率有關的感應電動勢eR。這個由二次交變電磁場作用所產生的電動勢就是定位係統所需要的檢測信號。
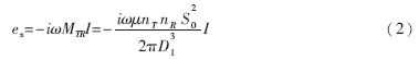
由於直接耦合作用在接收線圈R上產生的磁通量可以表示為:

式中,nT和nR分別為發射線圈和接收線圈的匝數;S0為線圈的橫截麵積;I為發射線圈中的電流;μ為介質磁導率; D1為T、R兩線圈之間的距離;MTR為兩線圈互感係數。所以由此而產生的感應電動勢為:

式中,ω為發射電流的頻率。由式(2)可以看出,ex是一個落後於發射電流π/2且與探頭周圍介質導電率無關的電勢信號。在係統的接收信號中,它表現為一個幅值較大的背景噪音。
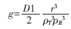
在發射頻率不高、介質導電率較小的條件下,可忽略電磁波傳播效應和渦流損耗,用幾何因子理論對接收線圈中的二次感應電動勢進行計算,將同軸於z的兩線圈周圍介質中的感應渦流分割成以探頭軸心為圓心、半徑為r、距線圈T和R距離分別為ρT和ρR的小單元環電流。將探頭周圍介質看作是均勻無限介質,把所有的單元環感生的電動勢疊加在一起得到:

這表明當發射電流恒定以後,k隻與線圈的結構參數有關,故其被稱為線圈係數。

當D1確定後,g隻取決於單元環相對於線圈係的空間幾何位置,故其被稱為單元環幾何因子。由式(3)可將電導率定義為:

當σ<1時,式(5)中的積分部分也小於1。實驗中取頻率為20kHz時,即使將D1減少到7~8cm,式(5)所表示的比值也隻能在0.8%左右。
可以通過增加一個同軸且繞向相反的補償線圈B來抵消直耦信號的影響。為了達到這個目的,由式(2)可知,發射線圈和補償線圈的匝數及位置應該滿足:

通tong常chang情qing況kuang下xia,地di下xia管guan道dao中zhong介jie質zhi的de實shi際ji電dian導dao率lv非fei常chang小xiao。為wei了le提ti高gao檢jian測ce信xin號hao的de信xin噪zao比bi,可ke以yi適shi當dang增zeng加jia接jie收shou線xian圈quan的de匝za數shu,但dan過guo多duo的de匝za數shu會hui增zeng加jia線xian圈quan的de尺chi寸cun並bing降jiang低di檢jian測ce的de靈ling敏min度du。同tong時shi適shi當dang增zeng加jia線xian圈quan的de截jie麵mian積ji也ye是shi提ti高gao信xin號hao信xin噪zao比bi的de一yi個ge辦ban法fa,但dan是shi也ye要yao受shou到dao幾ji何he因yin子zi理li論lun中zhong“線圈的尺寸要大大小於它們之間的距離”這一假設的限製。
檢測電路設計
整個係統分為地上和地下兩部分,其基本組成結構如圖2suoshi。liangdabufenzhijiantongguodianlanxianglianjie。dixiabufenzhongbaokuozhuangyouxianquandetantouyijifenbiepingbizailianggejinshuhezhongdefashedianluhejieshoudianlu。dixiabufendesuoyouzhuangzhiquanbugudinganzhuangzaiyijiejingguofangshuichulidezhijingwei8cm左右的聚氯乙稀管內。為了防止對探頭檢測過程的幹擾,設計時應該充分考慮地下部分的電路及導線的固定和屏蔽問題。
a.發射電路
發射電路的主要功能是產生具有足夠功率的20kHzdezhengxianjilixinhao,tongshiyaoyinchuyilucankaoxinhaozhijieshoudianlu,zuoweimonikaiguandechufakongzhi。youyushuchugonglvjiaoda,fashedianluzhongbixujiejueqisanrewenti。
b.接收電路
盡管經過補償線圈的抵消作用,接收信號中仍包含有較大的直接耦合部分。由於該部分電勢在檢測結果中一般保持不變且具有π/2相滯後的特征,所以探頭周圍介質電導率的變化就會由實際接收信號中的相位移變化體現出來。
接(jie)收(shou)電(dian)路(lu)中(zhong)模(mo)擬(ni)開(kai)關(guan)的(de)主(zhu)要(yao)功(gong)能(neng)是(shi)用(yong)來(lai)檢(jian)測(ce)接(jie)收(shou)信(xin)號(hao)的(de)相(xiang)位(wei)移(yi)。來(lai)自(zi)發(fa)射(she)電(dian)路(lu)的(de)同(tong)頻(pin)率(lv)的(de)參(can)考(kao)信(xin)號(hao)作(zuo)為(wei)模(mo)擬(ni)開(kai)關(guan)的(de)觸(chu)發(fa)控(kong)製(zhi),通(tong)過(guo)模(mo)擬(ni)開(kai)關(guan)的(de)接(jie)收(shou)信(xin)號(hao)部(bu)分(fen)後(hou)再(zai)經(jing)過(guo)低(di)通(tong)濾(lv)波(bo)器(qi)濾(lv)去(qu)交(jiao)流(liu)分(fen)量(liang),得(de)到(dao)的(de)電(dian)壓(ya)信(xin)號(hao)就(jiu)是(shi)一(yi)個(ge)和(he)輸(shu)入(ru)信(xin)號(hao)相(xiang)角(jiao)相(xiang)關(guan)的(de)量(liang),實(shi)際(ji)上(shang)也(ye)是(shi)一(yi)個(ge)與(yu)介(jie)質(zhi)導(dao)電(dian)率(lv)σ相關的量。適當調節參考信號的相位,可以得到較高的檢測靈敏度。
c.地上部分
檢jian測ce信xin號hao通tong過guo信xin號hao電dian纜lan到dao達da地di麵mian後hou,首shou先xian需xu要yao濾lv掉diao傳chuan輸shu過guo程cheng中zhong所suo帶dai來lai的de噪zao音yin。檢jian測ce信xin號hao輸shu入ru通tong道dao的de增zeng益yi和he零ling點dian可ke以yi分fen別bie進jin行xing連lian續xu調tiao節jie,以yi便bian適shi應ying不bu同tong的de地di下xia管guan道dao及ji環huan境jing。
距(ju)離(li)測(ce)量(liang)裝(zhuang)置(zhi)由(you)裝(zhuang)有(you)霍(huo)爾(er)傳(chuan)感(gan)器(qi)的(de)滑(hua)輪(lun)組(zu)及(ji)其(qi)相(xiang)應(ying)的(de)輔(fu)助(zhu)電(dian)路(lu)組(zu)成(cheng)。在(zai)一(yi)個(ge)塑(su)料(liao)滑(hua)輪(lun)上(shang)裝(zhuang)有(you)四(si)個(ge)小(xiao)磁(ci)鐵(tie),測(ce)試(shi)電(dian)纜(lan)通(tong)過(guo)該(gai)滑(hua)輪(lun)放(fang)入(ru)井(jing)下(xia)。所(suo)以(yi)當(dang)滑(hua)輪(lun)旋(xuan)轉(zhuan)時(shi),可(ke)通(tong)過(guo)安(an)裝(zhuang)在(zai)滑(hua)輪(lun)旁(pang)的(de)霍(huo)爾(er)傳(chuan)感(gan)器(qi)的(de)脈(mai)衝(chong)個(ge)數(shu)換(huan)算(suan)出(chu)電(dian)纜(lan)長(chang)度(du)值(zhi),作(zuo)為(wei)距(ju)離(li)信(xin)號(hao)送(song)入(ru)計(ji)算(suan)機(ji)。
將一台帶有PCMCIA A/D插(cha)卡(ka)的(de)便(bian)攜(xie)計(ji)算(suan)機(ji)作(zuo)為(wei)係(xi)統(tong)的(de)主(zhu)機(ji)。應(ying)用(yong)軟(ruan)件(jian)中(zhong)首(shou)先(xian)用(yong)中(zhong)值(zhi)濾(lv)波(bo)法(fa)將(jiang)地(di)下(xia)傳(chuan)來(lai)的(de)檢(jian)測(ce)信(xin)號(hao)進(jin)行(xing)數(shu)字(zi)濾(lv)波(bo),再(zai)將(jiang)按(an)時(shi)間(jian)采(cai)樣(yang)得(de)到(dao)的(de)檢(jian)測(ce)信(xin)號(hao)與(yu)距(ju)離(li)信(xin)號(hao)相(xiang)對(dui)應(ying)。結(jie)果(guo)可(ke)存(cun)為(wei)文(wen)件(jian),同(tong)時(shi)也(ye)可(ke)以(yi)進(jin)行(xing)實(shi)時(shi)的(de)圖(tu)形(xing)顯(xian)示(shi)。當(dang)采(cai)樣(yang)數(shu)據(ju)發(fa)生(sheng)滿(man)足(zu)事(shi)先(xian)設(she)定(ding)要(yao)求(qiu)的(de)突(tu)變(bian)時(shi),將(jiang)會(hui)有(you)相(xiang)應(ying)的(de)數(shu)據(ju)顯(xian)示(shi)在(zai)界(jie)麵(mian)上(shang)。
實驗結果
a.實驗室實驗結果
實驗表明,係統分辨率隨線圈距離D1的增加而下降,綜合考慮係統的檢測靈敏度和信噪比等因素,實驗樣機的D1確定為0.5m。在室內環境下,樣機的相位分辨率為1°,幅值分辨率為0.5%。
由於直耦電動勢的值正比於ω,而渦流產生的二次電動勢正比於ω2,因此當ω減小時,即使是在周圍介質不變的情況下,檢測信號中的相位變化也會減小,因此會降低信號的信噪比。
用不同介質對樣機進行測試,實驗表明,當頻率低於5kHz時,信號輸出對空氣、幹沙、shishadengbutongjiezhixiangyingdequbieyijinghenbumingxian。shiyanyebiaomingzaipinlvjiangdishi,keyitongguozengjiafashedianlushuchugonglvdefangfalaigaishanceliangjieguo。suoyizaiquebaolingmindu、同時使係統適應大多數檢測環境的情況下,實驗樣機發射電路輸出信號的頻率取為20kHz,電流幅值取為1A。
b.現場實驗結果
現場實驗在某街道中的一段長約150m、直徑約8英寸的水泥下水管道中進行。管道在150m距離起始和結束處各有一處檢查孔A、C。已知在二者之間還有一處檢查孔B存在,但其準確位置已經被街道覆蓋,無法確定。
在定位檢測前,先將一帶有掛鉤的高壓噴嘴由A孔打到Ckong,tongshiyeduiguandaojinxingleyicichongxicaozuo。youguagoutuozhuaitantouyanguandaoqianjinyijinxingjiance。youyujulijiancedefangshiteshu,tantouqianjindesudubuyaoqiuhengding。
現場實驗的結果如圖3所示。圖中曲線起始端和結束端的兩處低電平為兩已知檢查孔A和C。63m處的低電平則是需要被定位的檢查孔B的具體位置。另外,兩處的高電平表明該處有某種較高導電率的介質存在。後來發現:在36m處有一段多年前因管道維修所更換的PVC管道,而52.5m處則是另一段因同樣原因所更換的鋼管。

因為前進中的地下設備在鋼管接頭處受到了嚴重碰撞,由圖3可ke以yi看kan出chu此ci後hou的de輸shu出chu信xin號hao略lve有you漂piao移yi。這zhe應ying該gai是shi由you碰peng撞zhuang導dao致zhi的de內nei部bu器qi件jian相xiang互hu位wei置zhi的de微wei小xiao變bian化hua所suo引yin起qi的de,但dan是shi並bing沒mei有you對dui檢jian測ce結jie果guo造zao成cheng實shi際ji影ying響xiang。
現對全文總結如下:
a.利li用yong電dian磁ci感gan應ying原yuan理li實shi現xian了le對dui地di下xia管guan道dao檢jian查zha孔kong的de定ding位wei測ce量liang,係xi統tong使shi用yong方fang便bian快kuai捷jie,設she備bei簡jian單dan經jing濟ji,測ce試shi結jie果guo可ke靠kao,可ke以yi大da大da減jian輕qing市shi政zheng維wei修xiu的de工gong作zuo量liang。
b.定位測量隻需要對介質導電率的突變進行記錄,不需要根據導電率的具體數值進行分析,所以實際係統的結構組成十分簡單。
c.采用同樣的手段可以對地下不同設備或者地上設施中工作人員難以進入區域的介質變化方便地進行測量。
d.定(ding)位(wei)中(zhong)的(de)距(ju)離(li)測(ce)量(liang)是(shi)根(gen)據(ju)隨(sui)探(tan)頭(tou)放(fang)入(ru)地(di)下(xia)的(de)電(dian)纜(lan)長(chang)度(du)來(lai)計(ji)算(suan)的(de)。這(zhe)樣(yang)就(jiu)給(gei)走(zou)向(xiang)不(bu)沿(yan)街(jie)道(dao)且(qie)非(fei)直(zhi)線(xian)的(de)地(di)下(xia)管(guan)道(dao)的(de)定(ding)位(wei)測(ce)量(liang)帶(dai)來(lai)一(yi)定(ding)困(kun)難(nan)。此(ci)時(shi)可(ke)以(yi)考(kao)慮(lv)在(zai)探(tan)頭(tou)中(zhong)加(jia)入(ru)電(dian)子(zi)陀(tuo)螺(luo)元(yuan)件(jian)。
e.如ru果guo對dui係xi統tong實shi現xian數shu字zi化hua,可ke以yi使shi係xi統tong具ju有you可ke變bian的de發fa射she頻pin率lv,從cong而er大da大da提ti高gao係xi統tong對dui測ce試shi環huan境jing的de適shi應ying能neng力li,同tong時shi也ye能neng提ti高gao信xin號hao傳chuan輸shu的de抗kang幹gan擾rao能neng力li。
- 噪聲中提取真值!瑞盟科技推出MSA2240電流檢測芯片賦能多元高端測量場景
- 10MHz高頻運行!氮矽科技發布集成驅動GaN芯片,助力電源能效再攀新高
- 失真度僅0.002%!力芯微推出超低內阻、超低失真4PST模擬開關
- 一“芯”雙電!聖邦微電子發布雙輸出電源芯片,簡化AFE與音頻設計
- 一機適配萬端:金升陽推出1200W可編程電源,賦能高端裝備製造
- 築基AI4S:摩爾線程全功能GPU加速中國生命科學自主生態
- 一秒檢測,成本降至萬分之一,光引科技把幾十萬的台式光譜儀“搬”到了手腕上
- AI服務器電源機櫃Power Rack HVDC MW級測試方案
- 突破工藝邊界,奎芯科技LPDDR5X IP矽驗證通過,速率達9600Mbps
- 通過直接、準確、自動測量超低範圍的氯殘留來推動反滲透膜保護
- 車規與基於V2X的車輛協同主動避撞技術展望
- 數字隔離助力新能源汽車安全隔離的新挑戰
- 汽車模塊拋負載的解決方案
- 車用連接器的安全創新應用
- Melexis Actuators Business Unit
- Position / Current Sensors - Triaxis Hall





