基於感應耦合比率臂的高精度位移測量係統
發布時間:2008-09-29 來源:電子技術應用
中心議題:
- 討論比率測量法的優點
- 介紹運用感應耦合比率臂和差動式電容位移傳感器設計的高精度微小位移測量係統
- 給出了一種實驗係統的設計例子和主要的測試結果
解決方案:
- 采用比率測量法,減小誤差
- 測量電容量的變動,確定物體位移的大小
- 采用差動式結構,提高輸出靈敏度,減小非線性
- 用感應耦合比率臂來實現準確測量傳感器相應的位移
各種物理量(如溫度、壓力、位移、振動、速度、流量與扭矩)或者是濃度、suanjiandudenghuaxueliang,yibandouxuyaoyongshidangdechuanganqijiangqizhuanhuanweidianxuelianghoucaibianyujiancehekongzhi。changyongdedianqiceliangfangfayouhenduozhong,yijuceliangwuchayuceliangfangfaxiangguanliandetedian,keyijiangxianyoudegezhongceliangfangfafenweiruxiasandalei:
(1)直接測量法:直接測量未知量的數值;
(2)差值測量法:測量未知量與已知量之差,間接獲得被測量的值;
(3)比率測量法:測量未知量與已知量之比值,間接獲得被測量的值。
celiangdeguochengjiushiyaozaiweizhiliangheyizhiliangjianjianliqiyidingdeguanxi,zuihouhuodebeiceliangdedaxiao。zaicaiyongshangshubutongdeceliangfangfashi,celiangzhuangzhiheguochengyinrudewuchashibuyiyangde。ruzaizhijieceliangfazhong,yinweiceliangshijianyuhuanjingdebianhuahuiyinruyigexitongwucha;而(er)采(cai)用(yong)差(cha)值(zhi)測(ce)量(liang)法(fa)時(shi),由(you)於(yu)兩(liang)個(ge)被(bei)比(bi)較(jiao)的(de)元(yuan)件(jian)的(de)外(wai)界(jie)條(tiao)件(jian)相(xiang)同(tong),檢(jian)測(ce)它(ta)們(men)的(de)差(cha)值(zhi)可(ke)在(zai)很(hen)大(da)程(cheng)度(du)上(shang)消(xiao)除(chu)上(shang)述(shu)係(xi)統(tong)誤(wu)差(cha),尤(you)其(qi)是(shi)利(li)用(yong)零(ling)偏(pian)法(fa)時(shi),差(cha)值(zhi)測(ce)量(liang)可(ke)以(yi)獲(huo)得(de)相(xiang)當(dang)精(jing)確(que)的(de)結(jie)果(guo),不(bu)過(guo)所(suo)測(ce)得(de)的(de)兩(liang)個(ge)量(liang)之(zhi)差(cha)值(zhi)仍(reng)隨(sui)著(zhe)外(wai)部(bu)條(tiao)件(jian)的(de)變(bian)動(dong)而(er)變(bian)化(hua)。采(cai)用(yong)比(bi)率(lv)測(ce)量(liang)法(fa)能(neng)夠(gou)顯(xian)著(zhu)減(jian)小(xiao)在(zai)一(yi)級(ji)近(jin)似(si)下(xia)被(bei)測(ce)量(liang)中(zhong)依(yi)賴(lai)於(yu)外(wai)界(jie)條(tiao)件(jian)以(yi)乘(cheng)積(ji)因(yin)子(zi)形(xing)式(shi)出(chu)現(xian)的(de)誤(wu)差(cha)項(xiang),從(cong)而(er)具(ju)有(you)優(you)於(yu)差(cha)值(zhi)測(ce)量(liang)法(fa)的(de)抗(kang)幹(gan)擾(rao)性(xing)能(neng)。
比率測量法
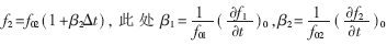
一個物理量f,其值取決於外界因素如t(溫度)、u(電壓)……等,其一階展開式為:
為簡化數學運算,隻考慮存在一個幹擾因素的情況,參考量f1與被測量f2可以分別寫作:f1=f01(1+β1Δt)和
且有β1Δt<<1,β2Δt<<1。容易求出在上述三種方法中的相對測量誤差各為:
圖1表示取L=1.5時shi相xiang對dui誤wu差cha隨sui元yuan件jian值zhi的de分fen布bu情qing況kuang。可ke以yi看kan出chu,比bi率lv測ce量liang法fa在zai很hen寬kuan的de測ce量liang範fan圍wei內nei均jun具ju有you良liang好hao的de抗kang幹gan擾rao能neng力li。當dang存cun在zai多duo個ge影ying響xiang因yin素su或huo者zhe在zai分fen析xi由you上shang述shu方fang法fa組zu合he成cheng的de測ce量liang裝zhuang置zhi時shi,可ke根gen據ju疊die加jia原yuan理li按an係xi統tong誤wu差cha的de理li論lun綜zong合he評ping定ding其qi精jing度du。

電容位移傳感器與比率測量
dianrongshiweixiaoweiyiceliangxitongshijinnianlaifazhanzuikuaideweiyiceliangjishuzhiyi。zhongsuozhouzhi,yongliangkuaipingxingdejinshubanjiukeyigouchengyigedianrongweiyichuanganqi,qidianrongliangyoujibandexiangduiyouxiaomianji、極ji板ban間jian距ju以yi及ji填tian充chong的de介jie質zhi特te性xing所suo決jue定ding。隻zhi要yao被bei測ce物wu體ti位wei置zhi的de移yi動dong改gai變bian了le電dian容rong器qi上shang述shu任ren何he一yi個ge結jie構gou參can數shu,傳chuan感gan器qi的de電dian容rong量liang就jiu會hui發fa生sheng變bian化hua,通tong過guo測ce量liang電dian容rong量liang的de變bian動dong即ji可ke精jing確que地di知zhi道dao物wu體ti位wei移yi的de大da小xiao。
電容位移傳感器的三種基本類型如圖2所示。其具體結構可視實際運用的場合靈活多變,電容極板可以是平麵的或者球麵的;運動電極可以采用水銀等導電液體。圖2suoshidesanzhongjibenleixingjunkezuchengchadongshijiegou,rugefenleizhongxiabutuxingsuoshi。caiyongchadongshijiegounenggoutigaochuanganqixianludeshuchulingmindu,jianxiaofeixianxing,hainengzaiyidingchengdushangyizhiyoujingdianxiyindailaidewucha。dangyaoqiuceliangxitongjuyouhengaodefenbianlishi,yibanshibaochijibanmianjixiangduigudingershidianrongchuanganqijibanjianxisuibeiceweiyigaibian,jirutu2(a)所示的結構。反之,采用保持間隙恒定而讓極板相對麵積可變的結構,則可以在相當大的動態範圍內獲得線性的響應[1]。
一般情況下,電阻、電感和電容等電子元件均被看作雙端元件。兩端電容器的等效電路示如圖3(a)。由於各端鈕對附近導電物體的分布電容C1G、C2G是變化的,
ruguodianrongshiweiyichuanganqishejichengzhezhongjiandandejiegou,waijieganraohuihenda。weilexiaochushangshufenbucanshudeyingxiang,bixuduidianrongchuanganqijinxingwanshandejingdianpingbi,xingchengrutu3(b)的結構,稱之為三端電容器。這樣的三端電容元件中,由極板形成的直接電容C12是確定的,但是C13、C23仍受引線芯屏間電容的影響。如何排除三端電容中分布參數的影響?怎樣準確測量與位移相關的直接電容的大小呢?
上世紀五十年代在電工學和計量學領域出現了一種新型的電壓比率器件——感應耦合比率臂,它的突出特點是分壓精度高,可達10-8量級以上;輸出阻抗低,能做到10mΩ以下;長期穩定性非常好,年漂移率保持在10-9的(de)水(shui)平(ping)。其(qi)後(hou),感(gan)應(ying)分(fen)壓(ya)器(qi)的(de)理(li)論(lun)與(yu)工(gong)藝(yi)日(ri)臻(zhen)完(wan)善(shan),極(ji)大(da)地(di)提(ti)高(gao)了(le)電(dian)工(gong)測(ce)量(liang)和(he)標(biao)準(zhun)計(ji)量(liang)的(de)精(jing)度(du),實(shi)現(xian)了(le)對(dui)小(xiao)電(dian)容(rong)的(de)高(gao)精(jing)度(du)測(ce)量(liang),進(jin)而(er)以(yi)計(ji)算(suan)電(dian)容(rong)與(yu)感(gan)應(ying)分(fen)壓(ya)器(qi)為(wei)基(ji)準(zhun)導(dao)出(chu)了(le)電(dian)阻(zu)、電感等的計量標準[2]。這一成就也對精密測量領域產生了積極的推動作用。
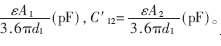
如果將兩個三端電容串接起來,分別用兩個信號源供電,就形成了如圖4所示的等效電路,其中,Y12=jωC12,Y′12=jωC′12。在公共點D與接地端之間連接一個檢流計,調節兩個外加電壓的幅值和相位,使通過兩個直接電容流向D點的電流大小相等、方向相反,直道檢流計指零,便可得到下麵的關係式:

kejian,zhiyaozhidaolelianggedianyazhibiyejiuzhidaolelianggesanduandianrongdezhijiedianrongzhibi,yushijiukeyizhunqueceliangchuanganqixiangyingdeweiyi。lianggedianyayuanruguoyongganyingouhebilvbilaishixian,duanniuduipingbidedaonaduiceliangjieguojiangmeiyoumingxiandeyingxiang,yinweiY23、Y′23在電路不平衡時隻影響靈敏度,而當線路達到平衡狀態時就沒有影響了。至於Y13、Y′13引起的分壓誤差,則可以得到極大的降低,隻要信號源的內阻足夠小即可。如前所述,感應耦合比率臂正好具有這一優良特性。
現(xian)以(yi)設(she)計(ji)一(yi)個(ge)測(ce)量(liang)微(wei)小(xiao)位(wei)移(yi)的(de)係(xi)統(tong)為(wei)例(li)來(lai)說(shuo)明(ming)上(shang)述(shu)測(ce)量(liang)方(fang)法(fa)的(de)應(ying)用(yong)。首(shou)先(xian),用(yong)高(gao)導(dao)磁(ci)率(lv)環(huan)形(xing)鐵(tie)芯(xin)繞(rao)製(zhi)出(chu)感(gan)應(ying)耦(ou)合(he)比(bi)率(lv)臂(bi),再(zai)設(she)計(ji)適(shi)當(dang)的(de)可(ke)變(bian)間(jian)距(ju)三(san)電(dian)極(ji)差(cha)動(dong)式(shi)電(dian)容(rong)位(wei)移(yi)傳(chuan)感(gan)器(qi)的(de)結(jie)構(gou),並(bing)采(cai)用(yong)比(bi)率(lv)測(ce)量(liang)線(xian)路(lu),就(jiu)有(you)如(ru)圖(tu)5所示的微位移測量係統原理框圖。對雙極板電容傳感器,不考慮電場的邊緣效應,兩個直接電容為:C12=
不失一般性,對兩個差動電容器可假定極板相對麵積相等,即A1=A2=A(cm2)。極板間介質的介電常數也有ε1=ε2=ε(譬如均為空氣)。d1、d2(cm)分別為兩傳感器的極板間距。N1、N2係感應分壓器兩部分電壓對應的匝數,N1+N2=N0。將兩個電容表示式代入(5)式,可得:
d1=KN1 (6)
d2=K(N0-N1) (7)
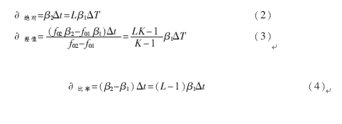
式中,K=(d1+d2)/N1+N2為wei測ce量liang係xi統tong的de靈ling敏min度du係xi數shu,表biao示shi比bi率lv臂bi單dan位wei讀du數shu變bian化hua所suo對dui應ying的de傳chuan感gan器qi中zhong心xin電dian極ji的de位wei移yi。現xian估gu算suan一yi下xia這zhe個ge測ce量liang係xi統tong可ke能neng達da到dao的de指zhi標biao。感gan應ying耦ou合he比bi率lv臂bi的de總zong的de分fen壓ya比bi不bu難nan做zuo到dao1/N0=10-7,兩個傳感器極板間距之和是個常量,取d1+d2=1mm,則位移靈敏度係數K=10-8cm,隻有0.1納米。N1為儀器麵板上的讀數,其變化範圍為從0到N0。
從最後獲得的極板位移與比率變壓器讀數的關係式(6)kezhi,dushusuizhongxindianjideweiyichengxianxingbianhua。shijiwanchengdexitongyouyujiegoudebuwanshanxing,zaijiejinliangchengdeliangduanhuichuxianyidingchengdudefeixianxing,ruguocaiqudengdianweipingbidengcuoshi,keyibashuchutexingdefeixianxingjiangdidaokeyihulvedechengdu。kejian,jiangchadongshidianrongweiyichuanganqiyubilvceliangfangfajieheqilai,shejideceliangxitongjiyouhengaodefenbiannenglijijiaoqiangdekangganraonengli,yenenggouhuodehenhaodexianxingxiangying。
實驗驗證
在設計之初,一般要考慮下述幾個方麵的問題:量程、靈敏度、精度與校準、線性、長期穩定性、頻pin率lv響xiang應ying與yu環huan境jing變bian化hua的de影ying響xiang係xi數shu等deng。結jie合he地di球qiu科ke學xue觀guan測ce的de需xu要yao,按an照zhao第di三san節jie中zhong提ti出chu的de設she計ji方fang案an研yan製zhi了le不bu同tong用yong途tu的de多duo種zhong測ce量liang係xi統tong。譬pi如ru研yan製zhi了le一yi個ge位wei移yi測ce量liang係xi統tong,量liang程cheng為wei±0.3毫米,分辨力可達0.02納米,輸出線性度優於0.5%,係統穩定度好於0.1納米/日。下麵簡要介紹傳感器與測量儀器的設計和構成以及主要的測試結果。
首先選擇合適的材料。除彈簧片與絕緣材料外,電容位移傳感器的所有部件均是用國產低膨脹合金4J32或4J36加工製作的,材料的線膨脹係數分別為α≤1.2~1.5×10-6/℃或1.8×10-6/℃。各(ge)部(bu)件(jian)加(jia)工(gong)後(hou)進(jin)行(xing)了(le)熱(re)處(chu)理(li)以(yi)消(xiao)除(chu)殘(can)餘(yu)應(ying)力(li),傳(chuan)感(gan)器(qi)組(zu)裝(zhuang)完(wan)成(cheng)後(hou)還(hai)要(yao)作(zuo)時(shi)效(xiao)老(lao)化(hua)處(chu)理(li)。陶(tao)瓷(ci)絕(jue)緣(yuan)材(cai)料(liao)在(zai)使(shi)用(yong)前(qian)應(ying)仔(zai)細(xi)烘(hong)幹(gan),以(yi)提(ti)高(gao)極(ji)板(ban)間(jian)的(de)絕(jue)緣(yuan)強(qiang)度(du),降(jiang)低(di)損(sun)耗(hao)。在(zai)設(she)計(ji)精(jing)密(mi)小(xiao)位(wei)移(yi)測(ce)量(liang)傳(chuan)感(gan)器(qi)時(shi)要(yao)盡(jin)量(liang)采(cai)用(yong)整(zheng)體(ti)結(jie)構(gou)。涉(she)及(ji)零(ling)件(jian)裝(zhuang)配(pei)問(wen)題(ti)時(shi),注(zhu)意(yi)設(she)計(ji)合(he)適(shi)的(de)緊(jin)固(gu)螺(luo)釘(ding)位(wei)置(zhi),以(yi)期(qi)將(jiang)傳(chuan)感(gan)器(qi)結(jie)構(gou)的(de)蠕(ru)變(bian)減(jian)至(zhi)最(zui)小(xiao)。需(xu)要(yao)組(zu)合(he)的(de)部(bu)件(jian),其(qi)接(jie)觸(chu)麵(mian)應(ying)進(jin)行(xing)研(yan)磨(mo),從(cong)而(er)達(da)到(dao)穩(wen)定(ding)可(ke)靠(kao)的(de)接(jie)觸(chu)狀(zhuang)態(tai)。
基於感應耦合比率臂的測量儀器原理框圖如圖5所示。為降低係統的電氣噪聲,一千赫茲點頻信號源具有穩頻、穩(wen)幅(fu)的(de)特(te)性(xing)。檢(jian)測(ce)單(dan)元(yuan)中(zhong)前(qian)置(zhi)放(fang)大(da)器(qi)應(ying)盡(jin)量(liang)靠(kao)近(jin)傳(chuan)感(gan)器(qi),這(zhe)可(ke)以(yi)有(you)效(xiao)地(di)提(ti)高(gao)電(dian)橋(qiao)線(xian)路(lu)的(de)輸(shu)出(chu)信(xin)號(hao)電(dian)平(ping)與(yu)信(xin)噪(zao)比(bi)。一(yi)般(ban)情(qing)況(kuang)下(xia),噪(zao)聲(sheng)與(yu)放(fang)大(da)器(qi)帶(dai)寬(kuan)成(cheng)正(zheng)比(bi),故(gu)放(fang)大(da)電(dian)路(lu)的(de)通(tong)頻(pin)帶(dai)應(ying)限(xian)製(zhi)到(dao)盡(jin)可(ke)能(neng)窄(zhai)的(de)程(cheng)度(du),相(xiang)敏(min)檢(jian)波(bo)技(ji)術(shu)能(neng)夠(gou)跟(gen)蹤(zong)信(xin)號(hao)源(yuan)激(ji)勵(li)頻(pin)率(lv),並(bing)且(qie)保(bao)持(chi)極(ji)低(di)的(de)通(tong)頻(pin)帶(dai)。關(guan)於(yu)這(zhe)方(fang)麵(mian)的(de)問(wen)題(ti),在(zai)此(ci)不(bu)再(zai)討(tao)論(lun)。
所(suo)設(she)計(ji)的(de)測(ce)量(liang)係(xi)統(tong)有(you)一(yi)個(ge)五(wu)級(ji)的(de)感(gan)應(ying)耦(ou)合(he)比(bi)率(lv)部(bu)件(jian),通(tong)過(guo)調(tiao)節(jie)感(gan)應(ying)耦(ou)合(he)比(bi)率(lv)臂(bi)各(ge)檔(dang)的(de)開(kai)關(guan)位(wei)置(zhi),能(neng)夠(gou)使(shi)變(bian)壓(ya)器(qi)電(dian)橋(qiao)係(xi)統(tong)達(da)到(dao)或(huo)者(zhe)接(jie)近(jin)平(ping)衡(heng)狀(zhuang)態(tai),這(zhe)樣(yang)可(ke)以(yi)獲(huo)得(de)較(jiao)高(gao)的(de)測(ce)量(liang)精(jing)度(du)。但(dan)是(shi)在(zai)科(ke)學(xue)測(ce)量(liang)及(ji)生(sheng)產(chan)過(guo)程(cheng)中(zhong),有(you)時(shi)需(xu)要(yao)監(jian)測(ce)位(wei)移(yi)在(zai)某(mou)個(ge)量(liang)值(zhi)附(fu)近(jin)的(de)連(lian)續(xu)變(bian)化(hua),或(huo)者(zhe)需(xu)要(yao)監(jian)測(ce)某(mou)種(zhong)低(di)頻(pin)微(wei)幅(fu)振(zhen)動(dong),如(ru)若(ruo)采(cai)用(yong)手(shou)動(dong)調(tiao)節(jie)、平ping衡heng讀du數shu的de方fang法fa,就jiu不bu能neng滿man足zu要yao求qiu了le。將jiang相xiang敏min檢jian波bo器qi的de輸shu出chu經jing放fang大da後hou接jie到dao數shu據ju采cai集ji器qi輸shu入ru端duan,記ji錄lu測ce量liang係xi統tong偏pian離li平ping衡heng點dian的de電dian壓ya大da小xiao能neng夠gou達da到dao此ci目mu的de。使shi用yong微wei動dong測ce量liang台tai架jia標biao定ding傳chuan感gan器qi,測ce值zhi穩wen定ding,重zhong複fu性xing好hao,所suo獲huo得de的de10號傳感器位移標定曲線示如圖6。圖中的直線是線性擬合的結果。

擬合方程顯示在圖中上部的方框裏。從實驗結果可看出,一微米位移可獲得變壓器電橋讀數,變化為127.02,輸出特性的非線性誤差小於0.15%F.S.。比率臂第五檔變化一個數對應的位移量根據傳感器結構的不同,一般在5~8納米之間,末級的數據采集器可獲得300多毫伏的輸出,從數據采集器便能夠分辨出0.02納(na)米(mi)的(de)變(bian)化(hua)。在(zai)實(shi)驗(yan)室(shi)環(huan)境(jing)下(xia),傳(chuan)感(gan)器(qi)測(ce)值(zhi)隨(sui)著(zhe)溫(wen)度(du)的(de)變(bian)化(hua)會(hui)產(chan)生(sheng)極(ji)大(da)的(de)漂(piao)移(yi),用(yong)標(biao)準(zhun)元(yuan)件(jian)來(lai)檢(jian)查(zha)變(bian)壓(ya)器(qi)電(dian)橋(qiao)測(ce)量(liang)係(xi)統(tong)的(de)溫(wen)度(du)係(xi)數(shu)與(yu)穩(wen)定(ding)性(xing),所(suo)得(de)結(jie)果(guo)見(jian)圖(tu)7。在28小時的實驗期間測值等效變化僅為0.1納米,環境溫度變化為3~4℃。作者還曾將差動電容式位移傳感器放到100米深的鑽井底部,那裏溫度的年變化不到0.03℃,整個位移測量係統月漂 移率僅為0.1納米[3]。
本(ben)文(wen)討(tao)論(lun)的(de)設(she)計(ji)方(fang)案(an)多(duo)年(nian)以(yi)來(lai)一(yi)直(zhi)被(bei)應(ying)用(yong)於(yu)研(yan)製(zhi)各(ge)種(zhong)地(di)球(qiu)科(ke)學(xue)觀(guan)測(ce)儀(yi)器(qi)中(zhong),有(you)的(de)測(ce)量(liang)係(xi)統(tong)已(yi)經(jing)在(zai)觀(guan)測(ce)台(tai)站(zhan)工(gong)作(zuo)近(jin)二(er)十(shi)年(nian),獲(huo)得(de)了(le)非(fei)常(chang)有(you)價(jia)值(zhi)的(de)資(zi)料(liao)。該(gai)設(she)計(ji)方(fang)案(an)在(zai)諸(zhu)如(ru)微(wei)機(ji)械(xie)加(jia)工(gong)、次聲監測和精密儀器係統的設計等領域有廣泛的應用前景。
- 噪聲中提取真值!瑞盟科技推出MSA2240電流檢測芯片賦能多元高端測量場景
- 10MHz高頻運行!氮矽科技發布集成驅動GaN芯片,助力電源能效再攀新高
- 失真度僅0.002%!力芯微推出超低內阻、超低失真4PST模擬開關
- 一“芯”雙電!聖邦微電子發布雙輸出電源芯片,簡化AFE與音頻設計
- 一機適配萬端:金升陽推出1200W可編程電源,賦能高端裝備製造
- 築基AI4S:摩爾線程全功能GPU加速中國生命科學自主生態
- 一秒檢測,成本降至萬分之一,光引科技把幾十萬的台式光譜儀“搬”到了手腕上
- AI服務器電源機櫃Power Rack HVDC MW級測試方案
- 突破工藝邊界,奎芯科技LPDDR5X IP矽驗證通過,速率達9600Mbps
- 通過直接、準確、自動測量超低範圍的氯殘留來推動反滲透膜保護
- 車規與基於V2X的車輛協同主動避撞技術展望
- 數字隔離助力新能源汽車安全隔離的新挑戰
- 汽車模塊拋負載的解決方案
- 車用連接器的安全創新應用
- Melexis Actuators Business Unit
- Position / Current Sensors - Triaxis Hall




