國家重點科研項目:無線分布式采集係統的設計實現
發布時間:2014-12-17 責任編輯:echolady
【導讀】電(dian)子(zi)技(ji)術(shu)的(de)發(fa)展(zhan)帶(dai)動(dong)了(le)無(wu)線(xian)通(tong)信(xin)技(ji)術(shu)和(he)計(ji)算(suan)機(ji)網(wang)絡(luo)技(ji)術(shu)的(de)發(fa)展(zhan),隨(sui)著(zhe)國(guo)家(jia)研(yan)發(fa)項(xiang)目(mu)的(de)關(guan)注(zhu)點(dian)不(bu)斷(duan)轉(zhuan)移(yi),分(fen)布(bu)式(shi)無(wu)線(xian)數(shu)據(ju)采(cai)集(ji)網(wang)絡(luo)興(xing)起(qi),並(bing)逐(zhu)漸(jian)擴(kuo)展(zhan)到(dao)各(ge)個(ge)領(ling)域(yu)。本(ben)文(wen)主(zhu)要(yao)介(jie)紹(shao)的(de)就(jiu)是(shi)目(mu)前(qian)國(guo)家(jia)重(zhong)點(dian)科(ke)研(yan)項(xiang)目(mu),利(li)用(yong)FPGA實現無線分布式采集係統設計。
zaiyixiedixingfuza,bushiherenleichuxiandequyuxuyaojinxingshujucaijideqingkuangxia,doukeyishidangdexuanzewuxianfenbushicaijilaijinxing。xianyoudewuxianfenbushicaijixitongzhong,wangwangshiyongdanpianji、DSP等作為係統的主控控製單元。但是由於其自身工作特點,往往對於精確的定時控製以及並行處理能力上比FPGA弱。隨著FPGA等可編程邏輯器件的發展,為無線數據可靠傳輸提供了很好的實現平台。采用FPGA作為時序控製和信號處理的處理器,將使係統電路設計更加簡潔、可靠、靈活,可有效的縮短開發周期,並降低開發成本。
1 無線分布式采集係統的設計背景
為此,基於CycloneIV+STM32設計了一種新型的無線分布式采集係統,實現了數據的高可靠和同步傳輸。設計主要由3大部分組成:編碼器、譯碼器、無線收發電台。在對編碼器、譯碼器同步校準後,對待發送數據進行卷積編碼,並轉換為串行數據。數據轉換為串行數據後,在串行數據幀頭加入Barker碼來實現幀的同步,並使用2條互為備份的數據傳送通道同時發送數據。在數據接收端檢測到barker碼後,本地對互為備份的雙通道數據進行viterbi譯碼(本文設計的viterbi譯碼器采用並行結構,大大的降低譯碼時間)。譯yi碼ma結jie束shu後hou,本ben地di對dui雙shuang通tong道dao數shu據ju進jin行xing循xun環huan冗rong餘yu校xiao驗yan,並bing做zuo出chu判pan選xuan,最zui後hou執zhi行xing相xiang應ying指zhi令ling。並bing在zai規gui定ding時shi間jian給gei出chu相xiang應ying反fan饋kui信xin號hao。設she計ji的de無wu線xian采cai集ji係xi統tong,即ji使shi某mou一yi數shu據ju通tong道dao出chu現xian少shao量liang錯cuo碼ma,係xi統tong仍reng能neng有you效xiao的de恢hui複fu出chu數shu據ju,並bing進jin行xing可ke靠kao的de數shu據ju傳chuan輸shu。係xi統tong添tian加jia了le監jian控kong模mo塊kuai,實shi時shi備bei份fen上shang傳chuan的de數shu據ju並bing監jian控kong,如ru發fa現xian不bu能neng正zheng常chang上shang傳chuan,則ze啟qi用yong備bei用yong模mo塊kuai保bao證zheng整zheng個ge係xi統tong正zheng常chang工gong作zuo。係xi統tong不bu僅jin能neng實shi現xian數shu據ju的de高gao可ke靠kao和he同tong步bu傳chuan輸shu,而er且qie具ju有you很hen好hao的de適shi用yong性xing,可ke廣guang泛fan應ying用yong工gong業ye中zhong。
2 無線分布式采集係統簡介
2.1 係統硬件簡介
無線分布式采集係統包括編碼器、譯碼器(編碼器、譯碼器硬件完全相同,隻是配置邏輯不同,可配置為編碼器、譯碼器、中繼站)和無線通信電台。如圖1所示,這是一個最簡單的一對一式分布式係統。

圖1 無線分布式采集係統結構
編碼器作為上位機與譯碼器之間的橋梁,通過USB/RS485通道進行發送、接收命令和數據。譯碼器接收編碼器發來的命令進行配置和采集,並將數據存儲至DDR2中。譯碼器收到上傳命令後,上傳數據至編碼器。編碼器/譯碼器硬件係統框圖如圖2所示。本係統主控單元由FPGA完成。FPGA選用Altera公司的EP4CGX30F407,邏輯單元為29440個,80個18×18乘法器,多達290個用戶自定義IO。STM32作為監控和備用單元組成係統的基本架構,STM32F407ZG係列是基於高性能的ARM CortexTM-M4F的32位RISC內核,工作頻率高達168 MHz,該STM32F407ZG係列采用高速嵌入式存儲器(多達1 MB閃存,高達192 KB的SRAM),擁有3個12位ADC,2個DAC,1個低功耗RTC,12個通用16位定時器,2個通用32位定時器。人機交互部分由16X2液晶顯示字符模塊和4個按鍵組成,其主要功能是通過按鍵對基站編號設置並顯示在LCD上。
無線模塊選用WSN-03係列無線模塊作為收發平台,工作電壓為5 V,傳輸速率和工作頻段等都可配置。目前傳輸速率最大為115 200b ps,工作頻為433 MHz可調。無線模塊與FPGA主要以RXD/A,TXD/B,NRST(複位控製),SET(設置模塊參數),SLP(休眠控製)信號線連接。GPS模塊選用VKl6U6進行定位,與FPGA以UART接口連接,波特率定位9600 bps。ADC選用基於△-Σ技術的32 bits高精度低功耗模數轉換芯片ADSl282,采樣信號電平範圍:差分輸人一2.5~+2.5 V。單個譯碼器有6個采集通道,以2 k采樣率,采樣時常16 S來計算,單個譯碼器純數據量為6×2 k×16×24—6144 Kbits。
考慮到編碼器,一次采樣,8個基站的數據經編碼後數據總量為98 304 Kbits,所以編碼器和譯碼器需增加l片Micron Technology公司的MT47H256M8HG-37E IT(256Meg×8)作為緩存空間。由於DDR2 SDRAM需要特定的控製讀寫時序,係統直接采用Quartus II自帶的“DDR2 SDRAM High-Performance Controller”IP CORE。USB部分由2個通道組成,一個是由FPGA、CY7C68013和USB接口組成;另一個由STM32(自帶USB驅動)和USB接口組成。同時本設計中還添加了RS485串口,使整個係統與上位機能保持實時通信,為係統的遠程控製提供了可能,並能保持係統更新。

圖2 係統框架
2.2 係統數據流程係統的數據流程為:同步校準譯碼器,設置各個譯碼器接收命令後的延時-編碼器配置采集參數、命令-譯碼器采集數據保存至DDR2中一各譯碼器分時接收數據上傳命令並上傳數據-編碼器將數據彙總保存至DDR2-數據收集齊後通過USB/RS485上傳至上位機。譯碼器節點配合計算機對各個點的數據進行輪詢采集,它包含了無線傳輸模塊和與計算機通信的USB接口。STM32將組幀後的數據備份並實時監控FPGA,如在規定時間或未能按指令進行工作,STM32將替代FPGA並使FPGA進入斷電狀態。
[page]
2.3 係統組幀格式
編碼器與譯碼器之間是一對多的關係,譯碼器分時上傳數據,譯碼器有2個通道,譯碼器有唯一的配置編號。數據幀的格式如圖3所示。數據幀中除20字節有效數據之外,還包括組號、目的編號等。

圖3 編碼器、譯碼器間數據幀格式
為了改進接收信號質量,本係統引入信道編碼的方法來改善信道質量。具體如圖4所示。發送端對數據進行組幀、並串轉換、卷積編碼、加入同步幀信息後,把數據發送至無線通信電台進行調製。接收端的無線通信電台對信號進行解調後發送數據至接收端的FPGA。接收端的FPGA檢測到幀同步信息後對接下來的數據保存,並進行Viterbi譯碼。FPGA對雙通道的數據進行冗餘校驗,並選擇正確的數據執行相關操作。
圖4 無線數據傳輸
3 無線分布式采集係統數據傳輸的實現3.1 可靠性
待發數據經卷積編碼,互為備份的雙通道發送,Viterbi譯碼,冗餘校驗,數據判選,係統能夠很好的進行無線收發。
3.1.1 卷積編碼
shujuzuzhenwanchenghou,youdiweizhigaoweijinxingbingchuanzhuanhuan,jinxingjuanjibianma。juanjibianmashiyizhongjiucuoxindaobianma,shiyoulianxudeshuruxinxixuliejingbianmahoudedaolianxushuchudebianmaxuliekou。yi(n,k,m)來描述卷積碼,k為每次輸入到卷積編碼器的bit數,行為每k元組碼字對應的卷積碼輸出n元組碼字,m為編碼儲存度。卷積編碼生成的n元組元不僅與當前輸入有關係,還與前麵m一1個輸入的k元組有關係。本係統采用(2,1,4)卷積編碼器,如圖5所示。圖中“+”代表異或。每bit經編碼後都有2 bit輸出(C1,C2)。

圖5 (2,1,4)卷積編碼器
3.1.2 Viterbi譯碼接收端有2個接收通道,互不幹擾。接收端對2個通道同時譯碼。譯碼采用Viterbi譯碼。Viterbi譯碼算法是一種卷積碼的解碼算法。Viterbi譯碼根據最大似然算法規則,能達到最佳譯碼,特別適合向前糾錯。以本設計為例,根據圖5,編碼器4個延時狀態(0,1)組成整個編碼器的16個狀態(D4D3D2D1),每個狀態在編碼器輸入1或0時,跳轉到另一個狀態。並且輸出也隨之改變。譯碼就是編碼的逆過程。算法規定任意t時刻收到的數據都要進行32次路徑值計算、16次比較,比較後每個狀態隻保存一個路徑值,為接下來計算減少了一半的運算量。反複208次,從16條tiao幸xing存cun路lu徑jing中zhong選xuan出chu一yi條tiao路lu徑jing值zhi最zui小xiao的de,反fan推tui出chu這zhe條tiao路lu徑jing,得de出chu相xiang應ying的de譯yi碼ma輸shu出chu。考kao慮lv到dao每mei次ci譯yi碼ma後hou,譯yi碼ma器qi都dou能neng回hui到dao初chu始shi狀zhuang態tai,所suo以yi源yuan數shu據ju最zui後hou加jia了le8 bit的“0”。本設計采用並行處理結構,經214個周期還原出源碼。
在設計FPGA邏輯時,基本采用多條並行的流水線技術,譯碼部分包含4個子模塊:加比選模塊、回溯模塊、存儲模塊和時鍾控製模塊。路徑值的計算和比較在3個時鍾周期內完成,4個模塊同時運行,大大的降低了譯碼時間。另外,為了提高FPGA效率,係統加入采樣觸發信號,保證係邏輯能夠穩定運行。
3.1.3 數據判選
經譯碼後,接收端已接收到2組互為備份的數據。經實踐證明,簡單的並聯冗餘能大大的提高係統的可靠性。具體選擇流程如圖6所示。2路數據經Viterbi譯碼後,開始接收一幀數據,並寫入RAM中,同時計算CRC校驗、幀完整性檢測、ID是否符合本地。上述檢測都沒問題時,對2路幸存路徑的度量值進行比較,選擇值小的通道作為最終數據。

圖6 數據的選擇
[page] 3.2 同步的實現
為了保證編碼器和譯碼器之間能嚴格實現同步,數據幀需要加入同步幀。實現幀同步的方法通常有2種:qizhitongbufahejizhongshicharutongbufa。qizhishitongbubijiaojiandan,yibanzaishujumayuandekaishihejieshuweizhijiarutedingdeqishihetingzhimaichonglaibiaoshishujuzhendekaishihejieshu。jizhongcharushitongbufazhongcharendetongbumayaoqiuzaijieshouduanjinxingtongbushibieshichuxianweitongbudegailvjinkenengdi,bingqieyaoqiugaimajuyoujianruidezixiangguantexingyibianshibie。7位巴克碼作為幀同步碼,其局部自相關函數為:

由上公式計算可知,7位巴克碼的自相關函數在j一0時出現尖銳的單峰特性。設計中采用2組同步幀頭作為同步碼,同步幀頭由7位巴克碼和1 bit的0組成。
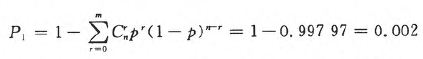
到現在為止,待發數據bit數為:208×2+8×2-432 bits。經調製解調後,接收端檢測幀同步信息,同步信息為2組11100100組成。每組同步信息高7位與7位巴克碼相比,允許出錯位數在1位以內 。設P為碼元錯誤概率,行為同步碼組的碼元數,m為判決其允許碼組中的錯誤碼元最大數,在本係統中行n=7,m==1。在P=0.01時,單一barker碼的漏同步概率為:

當2組同步幀都滿足時,幀同步建立,接收端保 存接下來的數據。無線通信電台與FPGA以rs485連接,如圖7所示,FPGA檢測X是否為“0”,當檢測到“0”,不接收端對接下來的數據X與本地巴克碼對應位進行位異或運算。當檢測1 byte barker碼,錯1位以內時,發出一value脈衝。當檢測到2個value脈衝時,說明同步已建立,接收端開始存儲接下來的數據。

圖7 barler碼識別
4 係統監控模塊的實現STM32與FPGA連接如圖8所示,由於ARM與FPGA的相互通信直接影響著控製器的性能,所以該並行總線的設計就成為一個非常關鍵的問題。該總線可以包括芯片的地址總線(ADDR[0..21])、數據總線(DB[0..15])、控製總線、複位信號(nRST)以及中斷信號線(INT),其中控製總線包括使能信號(nOE)、片選信號(nCS)、讀信號(nRD)、寫信號(nWE),這樣做的好處是,將FPGA芯片存儲器化,即STM32可通過對特定地址的訪問來控製FPGA工作,並且可通過共同的複位信號將STM32與FPGA芯片同時複位,盡量避免總線競爭和冒險現象的出現。

圖8 STM32與FPGA連接
STM32與FPGA同時接收命令,在解析完命令後,FPGA應在規定的時間內發送數據,FH認組幀完成時,發出INT信號至黜2申請中斷。如果STM32在規定時間內沒有接收到FPGA發來的INT信號,將開始計時,計時時間內未能接收INT信號,STM32將停止FPGA供電電源工作,由STM32代替FPGA工作,保證整個係統能穩定進行。5 係統測試
編碼器實物如圖9所示。測試時搭建一對編碼、譯碼器,采用12 V的直流電源供電。待 發數據為208 bits,即208’b00000000_10010010_01100100_10011001_00100110_01001001_10010010_01100100_10011001_00100110_01001001_10010010_01100100_10011001
_00100110_01001001_10010010_01100100_10011001_00100110_01001001_10010010_01100100_10011001_00100111_00111111;圖10顯示了測試中利用SignalTap II截取經卷積編碼後輸出的部分信號波形。其中z為串行輸人數據,yt為卷積編碼後輸出的數據。數據經無線發送後,經Viterbi譯碼,仿真圖形如圖11所示,編碼器發送的數據為208 bit S,data_out為譯碼輸出的部分數據,譯碼數據與發送端的高低位順序相反。由於數據經發送後,高低位互換,圖上隻截取了經Viterbi譯碼後的高27位的譯碼結果。經多次測試,數據傳輸正常,在少量不連續的錯碼情況下,係統能夠自動糾正。

圖9 編碼器實物
結語在無線分布式采集係統設計中,采用了基於卷積編碼、Viterbi譯碼的編碼和互為備份的雙通道傳輸方案,利用了FPGA內豐富的邏輯資源以及存儲資源,實現了數據的遠距離同步可靠傳輸。加入備份數據通道後,通過FPGA內部邏輯控製,在硬件上實現了對兩路數據的實時校驗及自動判選,提高了係統的穩定性和可靠性。相比於“備份-重傳”等機製,該方法實現簡單、實時性好,即使某一通道不能正常工作,係統仍能正常進行。
該無線分布采集係統,滿足了現在同步觸發和數據量不大情況下的傳輸。本文提出的互為備份的雙通道編解碼、數據冗餘傳輸機製,亦可應用相關無線傳輸領域,以提高遠距離數據傳輸的可靠性和穩定性。
相關閱讀:
解析無線傳輸係統中低噪聲放大電路設計
基於無線傳輸的射頻識別係統
數字家庭趨勢成形 帶動無線傳輸新需求
特別推薦
- 噪聲中提取真值!瑞盟科技推出MSA2240電流檢測芯片賦能多元高端測量場景
- 10MHz高頻運行!氮矽科技發布集成驅動GaN芯片,助力電源能效再攀新高
- 失真度僅0.002%!力芯微推出超低內阻、超低失真4PST模擬開關
- 一“芯”雙電!聖邦微電子發布雙輸出電源芯片,簡化AFE與音頻設計
- 一機適配萬端:金升陽推出1200W可編程電源,賦能高端裝備製造
技術文章更多>>
- 三星上演罕見對峙:工會集會討薪,股東隔街抗議
- 摩爾線程實現DeepSeek-V4“Day-0”支持,國產GPU適配再提速
- 築牢安全防線:智能駕駛邁向規模化應用的關鍵挑戰與破局之道
- GPT-Image 2:99%文字準確率,AI生圖告別“鬼畫符”
- 機器人馬拉鬆的勝負手:藏在主板角落裏的“時鍾戰爭”
技術白皮書下載更多>>
- 車規與基於V2X的車輛協同主動避撞技術展望
- 數字隔離助力新能源汽車安全隔離的新挑戰
- 汽車模塊拋負載的解決方案
- 車用連接器的安全創新應用
- Melexis Actuators Business Unit
- Position / Current Sensors - Triaxis Hall
熱門搜索
鑒頻器
江蘇商絡
交流電機
腳踏開關
接觸器接線
接近開關
接口IC
介質電容
介質諧振器
金屬膜電阻
晶體濾波器
晶體諧振器
晶體振蕩器
晶閘管
精密電阻
精密工具
景佑能源
聚合物電容
君耀電子
開發工具
開關
開關電源
開關電源電路
開關二極管
開關三極管
科通
可變電容
可調電感
可控矽
空心線圈

