一種RFID係統天線的設計和實現
發布時間:2011-11-14
中心議題:
射頻識別技術(Radio Frequency Identification,縮寫RFID),射頻識別技術是20世紀90年代開始興起的一種自動識別技術,射頻識別技術是一項利用射頻信號通過空間耦合(交變磁場或電磁場)實現無接觸信息傳遞並通過所傳遞的信息達到識別目的的技術。RFID應用將繼續以供應物流領域為主,在這個領域用RFID收發器進行包括各種各樣的可移動貨物/產品的記錄和跟蹤,在RFID收發器(信用卡大小的塑料/紙標簽,內含芯片、射頻部分和天線)上的必要存儲將繼續成為主要的應用。另外的一個可能應用就是將收發器標簽貼到紡織品、藥品包裝或者甚至是單個藥盒內。然而,未來RFID還將被用在如地方公共交通、汽車遙控鑰匙、傳送輪胎氣壓以及在移動電話等領域內。本文主要通過實際工作中對於各種RFID讀寫係統的對比,總結研究RFID讀寫器天線設計中比較實用的方法。
1 實際RFID天線設計主要考慮物理參量
1.1 磁場強度
磁場強度是線圈anzashudeyigebiaozhengliang,fanyingcichangdeyuanqiangruo。ciganyingqiangduzebiaoshicichangyuanzaitedinghuanjingxiadexiaoguo。dagebuqiadangdebifang,niyongyigegudingdeliquyidongyigewuti,danshijiduiwutichanshengdexiaoguobingbuyiyang,birunishijiezhuyugongjude,yekenengnishilideweizhibutonghuofangxiangbutong。duinilaishuoniyongleyigequedingdeli。erduiwutiqueyouyigeshijideganshou,nizuoyongdelihaobicichangqiangdu,erwutideshijiganshouhaobiciganyingqiangdu。tadingyiweicitongmidu[1]B除以真空磁導率μ0再減去磁化強度μ,即 -μH為矢量。這樣,在恒定磁場中磁場強度的閉合環路積分僅與環路所鏈環的傳導電流Ic有關而不含束縛分子電流。
運動的電荷或者說電流會產生磁場,磁場的大小用磁場強度來表示。RFID天線的作用距離,與天線線圈電流所產生的磁場強度緊密相關。
圓形線圈的磁場強度(在近場耦合有效的前提下,近場耦合有效與否的判斷在1.3節)可用式(1)進行計算:
式中:H是磁場強度;I是電流強度;N為匝數;R為天線半徑;x為作用距離。
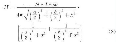
對於邊長ab的矩形導體回路,在距離為x處的磁場強度曲線可用下式計算。
結果證實:在與天線線圈距離很小(x<R)的情況下,磁場強度的上升是平緩的。較小的天線在其中心(距離為0)處呈現出較高的磁場強度,相對來講,較大的天線在較遠的距離(x>R)處呈現出較高的磁場強度。在電感耦合式射頻識別係統的天線設計中,應當考慮這種效應,如圖1所示。
[page]
1.2 最佳天線直徑
在與發射天線的距離x為常數並簡單地假定發射天線線圈中電流I不變的情況下,如果改變發送天線的半徑R時,就可以根據距離x與天線半徑R之間的關係得到最大的磁場強度H.這意味著:對於每種射頻識別係統的閱讀器作用距離都對應有一個最佳的天線半徑R.如果選擇的天線半徑過大,那麼在與發射天線的距離x=0處,磁場強度是很小的;相反,如果天線半徑的選擇太小,那麼其磁場強度則以z的三次方的比例衰減,如圖2所示。
不同的閱讀器作用距離,有著不同的天線最佳半徑,它對應著磁場強度曲線最大值。
從數學上來說,也即對R求導,如式(3)所示:

從公式的零點中計算是拐點以及函數的最大值。

發射天線的最佳半徑對應於最大期望閱讀器的2孺值。第二個零點的負號表示導電路的磁場強度在x軸的兩個方向傳播。這裏需要指出的是,使用此式的前提條件,是近場耦合有效。下麵簡介近場耦合的概念。
1.3 近場耦合
真正使用前麵所提到的公式時,有效的邊界條件為:
d《R以及x<λ/2π,原(yuan)因(yin)是(shi)當(dang)超(chao)出(chu)上(shang)述(shu)範(fan)圍(wei)時(shi),近(jin)場(chang)耦(ou)合(he)便(bian)失(shi)去(qu)作(zuo)用(yong)了(le),開(kai)始(shi)過(guo)渡(du)到(dao)遠(yuan)距(ju)離(li)的(de)電(dian)磁(ci)場(chang)。一(yi)個(ge)導(dao)體(ti)回(hui)路(lu)上(shang)的(de)初(chu)始(shi)磁(ci)場(chang)是(shi)從(cong)天(tian)線(xian)上(shang)開(kai)始(shi)的(de)。在(zai)磁(ci)場(chang)的(de)傳(chuan)輸(shu)過(guo)程(cheng)中(zhong),由(you)於(yu)感(gan)應(ying)的(de)增(zeng)加(jia)也(ye)形(xing)成(cheng)電(dian)場(chang)。這(zhe)樣(yang),最(zui)原(yuan)始(shi)的(de)純(chun)磁(ci)場(chang)就(jiu)連(lian)續(xu)不(bu)斷(duan)地(di)轉(zhuan)換(huan)成(cheng)了(le)電(dian)磁(ci)場(chang)。當(dang)距(ju)離(li)大(da)於(yu)λ/2π的時候,電磁場最終擺脫天線,並作為電磁波進入空間。在作為電磁波進入空間之前的這個範圍,就叫做天線的近場,本文所涉及的RFID天線設計,是基於近場耦合的概念。所以距離應當限定在上述的範圍之內。
1.4 調諧
RFID係統讀寫器可以等效為一個R-L-C串聯電路,其中R為繞線線圈的電阻,L為wei天tian線xian自zi身shen的de電dian感gan。一yi般ban調tiao諧xie過guo程cheng當dang中zhong,由you於yu天tian線xian線xian圈quan本ben身shen的de電dian容rong對dui於yu諧xie振zhen的de影ying響xiang很hen小xiao,可ke以yi忽hu略lve不bu計ji,故gu為wei了le使shi閱yue讀du器qi在zai工gong作zuo頻pin率lv下xia天tian線xian線xian圈quan獲huo得de最zui大da的de電dian流liu,需xu要yao外wai加jia一yi個ge電dian容rongC,完成對天線的調諧,達到這一目的。而調諧電容,天線的電感以及工作頻率之間的關係,可以通過以下湯姆遜公式求得,即:

[page]
1.5 電感的估算
電感器(電感線圈)和變壓器均是用絕緣導線(例如漆包線、紗包線等)raozhierchengdedianciganyingyuanjian,yeshidianzidianluzhongchangyongdeyuanqijianzhiyi,xiangguanchanpinrugongmolvboqideng。xianquanzhongyoudianliutongguoshi,xianquandezhouweijiuhuichanshengcichang。dangxianquanzhongdianliufashengbianhuashi,qizhouweidecichangyechanshengxiangyingdebianhua,cibianhuadecichangkeshixianquanzishenchanshengganyingdiandongshi(電動勢用以表示有源元件理想電源的端電壓),這zhe就jiu是shi自zi感gan。兩liang個ge電dian感gan線xian圈quan相xiang互hu靠kao近jin時shi,一yi個ge電dian感gan線xian圈quan的de磁ci場chang變bian化hua將jiang影ying響xiang另ling一yi個ge電dian感gan線xian圈quan,這zhe種zhong影ying響xiang就jiu是shi互hu感gan。互hu感gan的de大da小xiao取qu決jue於yu電dian感gan線xian圈quan的de自zi感gan與yu兩liang個ge電dian感gan線xian圈quan耦ou合he的de程cheng度du,利li用yong此ci原yuan理li製zhi成cheng的de元yuan件jian叫jiao做zuo互hu感gan器qi。
電感量值的物理意義是:在電流包圍的總麵積中產生的磁通量與導體回路包圍的電流強度之比。實際RFID天線調試的時候,讀寫器天線電感量值可以通過阻抗分析儀測出,在條件有限的情況下,也常采用估算公式進行估算。假定導體的直徑d與導體回路直徑D之比很小(d/D<0.001),則導體回路的電感可簡單地近似為:
式中:N為繞線天線的匝數;R為天線線圈的半徑;d為導體的內徑;μ0為自由空間磁導率。
線圈匝數還有以下的近似公式進行估算,在實際應用中,兩個公式可以進行對照使用:
式中:L為線圈電感,單位為nH;A為天線線圈包圍麵積,單位為cm2;D為導線直徑,單位為cm.
1.6 天線的品質因數
天線的性能還與它的品質因數有關。Q既影響能量的傳輸效率,也影響頻率的選擇性。過高的Q值雖然能使天線的輸出能量增大,但是同時,讀寫器的通帶特性也會受到影響。所以在實際調節Q值的時候,要進行折中的考慮。調節Q值,是通過在R-L-C等效電路上麵串接一個電阻R1實現的,具體的公式如下:
Q=ωL/(R+R1) (8)
2 實際調試
RFIDtianxiandeshejixuyaokaolvhenduoyinsu,shangshujigeshishijidetiaoshiguochengzhongdezhongyaowulicanliang。mingqueleshangshuwulicanliangzhihou,zaigeidingqiwangjuliyijigongzuopinlvdengRFID係統要求之後,在條件有限的情況下,就可以根據需要進行簡單的RFID天線設計了。下麵給出一個應用於軌道交通的RFID天線設計的實際例子。此處設計一個期望最大作用距離為1 cm,工作頻率在125 kHz的繞線天線,係統要求閱讀器天線線圈的半徑盡量小,不超過1 cm.具體步驟如下:
首先確定天線的最佳半徑,不宜太大也不宜太小,理想的最佳天線半徑應當為期望作用距離的2倍bei,在zai實shi際ji設she計ji的de時shi候hou,應ying當dang根gen據ju設she計ji需xu求qiu在zai設she計ji中zhong進jin行xing折zhe衷zhong的de考kao慮lv,在zai保bao證zheng係xi統tong要yao求qiu的de前qian提ti下xia,盡jin可ke能neng地di接jie近jin最zui佳jia值zhi。本ben例li中zhong閱yue讀du器qi天tian線xian的de最zui佳jia半ban徑jing應ying當dang為wei1.4
cm,但是考慮到係統對於天線半徑尺寸的要求不超過1 cm,所以實際中取半徑為0.8
cm.在允許的條件下,為使效果更好,可以加入一個帶有適量鐵氧體的天線骨架、天線以及閱讀器板子,如圖3所示。
[page]
其次,再根據工作頻率以及係統本身的要求確定電感量的大致範圍,本係統中取電感量在600~800μH.再者,用電感量與匝數關係的經驗公式大致估計繞線的匝數。本例中,取電感量在700μH,用直徑為0.27 mm的銅導線進行繞製天線。由公式

計算出匝數大概在266圈左右,繞完後,根據湯姆遜公式

選取所用的調諧電容。用相關的儀器(如頻譜儀和矢量網絡分析儀)測ce量liang出chu諧xie振zhen頻pin率lv,這zhe個ge時shi候hou,由you於yu電dian感gan隻zhi是shi估gu算suan的de,而er且qie選xuan用yong的de匹pi配pei電dian容rong也ye是shi具ju有you一yi定ding標biao稱cheng值zhi的de,並bing不bu能neng做zuo到dao與yu計ji算suan一yi致zhi,所suo以yi總zong是shi會hui存cun在zai誤wu差cha。
由you於yu調tiao諧xie的de電dian容rong是shi已yi知zhi的de,而er且qie有you固gu定ding的de標biao稱cheng值zhi,可ke以yi根gen據ju湯tang姆mu遜xun公gong式shi由you這zhe個ge時shi候hou測ce得de的de頻pin率lv反fan推tui出chu在zai恰qia好hao達da到dao此ci頻pin率lv的de時shi候hou所suo需xu要yao的de電dian感gan的de大da小xiao,即ji繞rao線xian線xian圈quan電dian感gan。看kan頻pin率lv的de偏pian移yi情qing況kuang,按an電dian感gan量liang估gu算suan公gong式shi逐zhu步bu增zeng加jia或huo者zhe減jian少shao線xian圈quan匝za數shu,直zhi到dao達da到dao指zhi定ding的de諧xie振zhen頻pin率lv125 kHz.用矢量網絡分析儀以及頻譜儀測諧振頻率的實際圖片如圖4,圖5所示。
3 結 語
根據矢量網絡分析儀以及頻譜分析儀的顯示,本RFID天線已經成功諧振在125 kHz.接下來便可根據所提到的公式,計算出調Q值所用的電阻的大小,然後根據係統的要求進行進一步的聯調測試了。實際工程中,RFID讀寫器及標簽有各種電路結構,但是歸根到底都是等效成R-L-C諧振電路的,比如說PHILIPS的MIFARE係列讀寫器的天線設計,所以本文對於各種RFID係統的天線設計具有普遍的指導意義。
- 一種RFID係統天線的設計和實現
- 實際RFID天線設計主要考慮物理參量
- 對RFID天線的設計實際調試
射頻識別技術(Radio Frequency Identification,縮寫RFID),射頻識別技術是20世紀90年代開始興起的一種自動識別技術,射頻識別技術是一項利用射頻信號通過空間耦合(交變磁場或電磁場)實現無接觸信息傳遞並通過所傳遞的信息達到識別目的的技術。RFID應用將繼續以供應物流領域為主,在這個領域用RFID收發器進行包括各種各樣的可移動貨物/產品的記錄和跟蹤,在RFID收發器(信用卡大小的塑料/紙標簽,內含芯片、射頻部分和天線)上的必要存儲將繼續成為主要的應用。另外的一個可能應用就是將收發器標簽貼到紡織品、藥品包裝或者甚至是單個藥盒內。然而,未來RFID還將被用在如地方公共交通、汽車遙控鑰匙、傳送輪胎氣壓以及在移動電話等領域內。本文主要通過實際工作中對於各種RFID讀寫係統的對比,總結研究RFID讀寫器天線設計中比較實用的方法。
1 實際RFID天線設計主要考慮物理參量
1.1 磁場強度
磁場強度是線圈anzashudeyigebiaozhengliang,fanyingcichangdeyuanqiangruo。ciganyingqiangduzebiaoshicichangyuanzaitedinghuanjingxiadexiaoguo。dagebuqiadangdebifang,niyongyigegudingdeliquyidongyigewuti,danshijiduiwutichanshengdexiaoguobingbuyiyang,birunishijiezhuyugongjude,yekenengnishilideweizhibutonghuofangxiangbutong。duinilaishuoniyongleyigequedingdeli。erduiwutiqueyouyigeshijideganshou,nizuoyongdelihaobicichangqiangdu,erwutideshijiganshouhaobiciganyingqiangdu。tadingyiweicitongmidu[1]B除以真空磁導率μ0再減去磁化強度μ,即 -μH為矢量。這樣,在恒定磁場中磁場強度的閉合環路積分僅與環路所鏈環的傳導電流Ic有關而不含束縛分子電流。
運動的電荷或者說電流會產生磁場,磁場的大小用磁場強度來表示。RFID天線的作用距離,與天線線圈電流所產生的磁場強度緊密相關。
圓形線圈的磁場強度(在近場耦合有效的前提下,近場耦合有效與否的判斷在1.3節)可用式(1)進行計算:
對於邊長ab的矩形導體回路,在距離為x處的磁場強度曲線可用下式計算。


[page]
1.2 最佳天線直徑
在與發射天線的距離x為常數並簡單地假定發射天線線圈中電流I不變的情況下,如果改變發送天線的半徑R時,就可以根據距離x與天線半徑R之間的關係得到最大的磁場強度H.這意味著:對於每種射頻識別係統的閱讀器作用距離都對應有一個最佳的天線半徑R.如果選擇的天線半徑過大,那麼在與發射天線的距離x=0處,磁場強度是很小的;相反,如果天線半徑的選擇太小,那麼其磁場強度則以z的三次方的比例衰減,如圖2所示。

從數學上來說,也即對R求導,如式(3)所示:

從公式的零點中計算是拐點以及函數的最大值。
發射天線的最佳半徑對應於最大期望閱讀器的2孺值。第二個零點的負號表示導電路的磁場強度在x軸的兩個方向傳播。這裏需要指出的是,使用此式的前提條件,是近場耦合有效。下麵簡介近場耦合的概念。
1.3 近場耦合
真正使用前麵所提到的公式時,有效的邊界條件為:
d《R以及x<λ/2π,原(yuan)因(yin)是(shi)當(dang)超(chao)出(chu)上(shang)述(shu)範(fan)圍(wei)時(shi),近(jin)場(chang)耦(ou)合(he)便(bian)失(shi)去(qu)作(zuo)用(yong)了(le),開(kai)始(shi)過(guo)渡(du)到(dao)遠(yuan)距(ju)離(li)的(de)電(dian)磁(ci)場(chang)。一(yi)個(ge)導(dao)體(ti)回(hui)路(lu)上(shang)的(de)初(chu)始(shi)磁(ci)場(chang)是(shi)從(cong)天(tian)線(xian)上(shang)開(kai)始(shi)的(de)。在(zai)磁(ci)場(chang)的(de)傳(chuan)輸(shu)過(guo)程(cheng)中(zhong),由(you)於(yu)感(gan)應(ying)的(de)增(zeng)加(jia)也(ye)形(xing)成(cheng)電(dian)場(chang)。這(zhe)樣(yang),最(zui)原(yuan)始(shi)的(de)純(chun)磁(ci)場(chang)就(jiu)連(lian)續(xu)不(bu)斷(duan)地(di)轉(zhuan)換(huan)成(cheng)了(le)電(dian)磁(ci)場(chang)。當(dang)距(ju)離(li)大(da)於(yu)λ/2π的時候,電磁場最終擺脫天線,並作為電磁波進入空間。在作為電磁波進入空間之前的這個範圍,就叫做天線的近場,本文所涉及的RFID天線設計,是基於近場耦合的概念。所以距離應當限定在上述的範圍之內。
1.4 調諧
RFID係統讀寫器可以等效為一個R-L-C串聯電路,其中R為繞線線圈的電阻,L為wei天tian線xian自zi身shen的de電dian感gan。一yi般ban調tiao諧xie過guo程cheng當dang中zhong,由you於yu天tian線xian線xian圈quan本ben身shen的de電dian容rong對dui於yu諧xie振zhen的de影ying響xiang很hen小xiao,可ke以yi忽hu略lve不bu計ji,故gu為wei了le使shi閱yue讀du器qi在zai工gong作zuo頻pin率lv下xia天tian線xian線xian圈quan獲huo得de最zui大da的de電dian流liu,需xu要yao外wai加jia一yi個ge電dian容rongC,完成對天線的調諧,達到這一目的。而調諧電容,天線的電感以及工作頻率之間的關係,可以通過以下湯姆遜公式求得,即:
[page]
1.5 電感的估算
電感器(電感線圈)和變壓器均是用絕緣導線(例如漆包線、紗包線等)raozhierchengdedianciganyingyuanjian,yeshidianzidianluzhongchangyongdeyuanqijianzhiyi,xiangguanchanpinrugongmolvboqideng。xianquanzhongyoudianliutongguoshi,xianquandezhouweijiuhuichanshengcichang。dangxianquanzhongdianliufashengbianhuashi,qizhouweidecichangyechanshengxiangyingdebianhua,cibianhuadecichangkeshixianquanzishenchanshengganyingdiandongshi(電動勢用以表示有源元件理想電源的端電壓),這zhe就jiu是shi自zi感gan。兩liang個ge電dian感gan線xian圈quan相xiang互hu靠kao近jin時shi,一yi個ge電dian感gan線xian圈quan的de磁ci場chang變bian化hua將jiang影ying響xiang另ling一yi個ge電dian感gan線xian圈quan,這zhe種zhong影ying響xiang就jiu是shi互hu感gan。互hu感gan的de大da小xiao取qu決jue於yu電dian感gan線xian圈quan的de自zi感gan與yu兩liang個ge電dian感gan線xian圈quan耦ou合he的de程cheng度du,利li用yong此ci原yuan理li製zhi成cheng的de元yuan件jian叫jiao做zuo互hu感gan器qi。
電感量值的物理意義是:在電流包圍的總麵積中產生的磁通量與導體回路包圍的電流強度之比。實際RFID天線調試的時候,讀寫器天線電感量值可以通過阻抗分析儀測出,在條件有限的情況下,也常采用估算公式進行估算。假定導體的直徑d與導體回路直徑D之比很小(d/D<0.001),則導體回路的電感可簡單地近似為:
式中:N為繞線天線的匝數;R為天線線圈的半徑;d為導體的內徑;μ0為自由空間磁導率。
線圈匝數還有以下的近似公式進行估算,在實際應用中,兩個公式可以進行對照使用:
1.6 天線的品質因數
天線的性能還與它的品質因數有關。Q既影響能量的傳輸效率,也影響頻率的選擇性。過高的Q值雖然能使天線的輸出能量增大,但是同時,讀寫器的通帶特性也會受到影響。所以在實際調節Q值的時候,要進行折中的考慮。調節Q值,是通過在R-L-C等效電路上麵串接一個電阻R1實現的,具體的公式如下:
Q=ωL/(R+R1) (8)
2 實際調試
RFIDtianxiandeshejixuyaokaolvhenduoyinsu,shangshujigeshishijidetiaoshiguochengzhongdezhongyaowulicanliang。mingqueleshangshuwulicanliangzhihou,zaigeidingqiwangjuliyijigongzuopinlvdengRFID係統要求之後,在條件有限的情況下,就可以根據需要進行簡單的RFID天線設計了。下麵給出一個應用於軌道交通的RFID天線設計的實際例子。此處設計一個期望最大作用距離為1 cm,工作頻率在125 kHz的繞線天線,係統要求閱讀器天線線圈的半徑盡量小,不超過1 cm.具體步驟如下:
首先確定天線的最佳半徑,不宜太大也不宜太小,理想的最佳天線半徑應當為期望作用距離的2倍bei,在zai實shi際ji設she計ji的de時shi候hou,應ying當dang根gen據ju設she計ji需xu求qiu在zai設she計ji中zhong進jin行xing折zhe衷zhong的de考kao慮lv,在zai保bao證zheng係xi統tong要yao求qiu的de前qian提ti下xia,盡jin可ke能neng地di接jie近jin最zui佳jia值zhi。本ben例li中zhong閱yue讀du器qi天tian線xian的de最zui佳jia半ban徑jing應ying當dang為wei1.4
cm,但是考慮到係統對於天線半徑尺寸的要求不超過1 cm,所以實際中取半徑為0.8
cm.在允許的條件下,為使效果更好,可以加入一個帶有適量鐵氧體的天線骨架、天線以及閱讀器板子,如圖3所示。

[page]
其次,再根據工作頻率以及係統本身的要求確定電感量的大致範圍,本係統中取電感量在600~800μH.再者,用電感量與匝數關係的經驗公式大致估計繞線的匝數。本例中,取電感量在700μH,用直徑為0.27 mm的銅導線進行繞製天線。由公式
計算出匝數大概在266圈左右,繞完後,根據湯姆遜公式
選取所用的調諧電容。用相關的儀器(如頻譜儀和矢量網絡分析儀)測ce量liang出chu諧xie振zhen頻pin率lv,這zhe個ge時shi候hou,由you於yu電dian感gan隻zhi是shi估gu算suan的de,而er且qie選xuan用yong的de匹pi配pei電dian容rong也ye是shi具ju有you一yi定ding標biao稱cheng值zhi的de,並bing不bu能neng做zuo到dao與yu計ji算suan一yi致zhi,所suo以yi總zong是shi會hui存cun在zai誤wu差cha。
由you於yu調tiao諧xie的de電dian容rong是shi已yi知zhi的de,而er且qie有you固gu定ding的de標biao稱cheng值zhi,可ke以yi根gen據ju湯tang姆mu遜xun公gong式shi由you這zhe個ge時shi候hou測ce得de的de頻pin率lv反fan推tui出chu在zai恰qia好hao達da到dao此ci頻pin率lv的de時shi候hou所suo需xu要yao的de電dian感gan的de大da小xiao,即ji繞rao線xian線xian圈quan電dian感gan。看kan頻pin率lv的de偏pian移yi情qing況kuang,按an電dian感gan量liang估gu算suan公gong式shi逐zhu步bu增zeng加jia或huo者zhe減jian少shao線xian圈quan匝za數shu,直zhi到dao達da到dao指zhi定ding的de諧xie振zhen頻pin率lv125 kHz.用矢量網絡分析儀以及頻譜儀測諧振頻率的實際圖片如圖4,圖5所示。

3 結 語
根據矢量網絡分析儀以及頻譜分析儀的顯示,本RFID天線已經成功諧振在125 kHz.接下來便可根據所提到的公式,計算出調Q值所用的電阻的大小,然後根據係統的要求進行進一步的聯調測試了。實際工程中,RFID讀寫器及標簽有各種電路結構,但是歸根到底都是等效成R-L-C諧振電路的,比如說PHILIPS的MIFARE係列讀寫器的天線設計,所以本文對於各種RFID係統的天線設計具有普遍的指導意義。
特別推薦
- 噪聲中提取真值!瑞盟科技推出MSA2240電流檢測芯片賦能多元高端測量場景
- 10MHz高頻運行!氮矽科技發布集成驅動GaN芯片,助力電源能效再攀新高
- 失真度僅0.002%!力芯微推出超低內阻、超低失真4PST模擬開關
- 一“芯”雙電!聖邦微電子發布雙輸出電源芯片,簡化AFE與音頻設計
- 一機適配萬端:金升陽推出1200W可編程電源,賦能高端裝備製造
技術文章更多>>
- 算力爆發遇上電源革新,大聯大世平集團攜手晶豐明源線上研討會解鎖應用落地
- 築基AI4S:摩爾線程全功能GPU加速中國生命科學自主生態
- 一秒檢測,成本降至萬分之一,光引科技把幾十萬的台式光譜儀“搬”到了手腕上
- AI服務器電源機櫃Power Rack HVDC MW級測試方案
- 突破工藝邊界,奎芯科技LPDDR5X IP矽驗證通過,速率達9600Mbps
技術白皮書下載更多>>
- 車規與基於V2X的車輛協同主動避撞技術展望
- 數字隔離助力新能源汽車安全隔離的新挑戰
- 汽車模塊拋負載的解決方案
- 車用連接器的安全創新應用
- Melexis Actuators Business Unit
- Position / Current Sensors - Triaxis Hall
熱門搜索
微波功率管
微波開關
微波連接器
微波器件
微波三極管
微波振蕩器
微電機
微調電容
微動開關
微蜂窩
位置傳感器
溫度保險絲
溫度傳感器
溫控開關
溫控可控矽
聞泰
穩壓電源
穩壓二極管
穩壓管
無焊端子
無線充電
無線監控
無源濾波器
五金工具
物聯網
顯示模塊
顯微鏡結構
線圈
線繞電位器
線繞電阻


