基於簡單降壓控製器的精密雙極性電源設計
發布時間:2019-01-15 來源:Victor Khasiev 責任編輯:wenwei
【導讀】工業、汽車、IT和網絡公司是電源電子、半導體、器件和係統的主要購買者與消費者。這些公司使用各種可用的DC-DC轉換器拓撲結構,采用不同形式的降壓、升壓和SEPICjiegou。lixiangqingkuangxia,zhexiegongsihuizhenduimeigexinxiangmushiyongzhuanmendekongzhiqi。raner,caiyongxinxinpianxuyaodaliangtouzi,yinweibixuhuafeihenduoshijianhechengbenlaiceshixinqijianshifoufuheqichebiaozhun,yijiyanzhengqizaitedingyingyong、條件和設備中的功能。顯然,為了降低開發和設計成本,不同應用應采用已經過批準和驗證的控製器。
用yong於yu生sheng成cheng電dian源yuan的de最zui常chang用yong拓tuo撲pu結jie構gou是shi降jiang壓ya轉zhuan換huan器qi。但dan是shi,這zhe種zhong拓tuo撲pu結jie構gou僅jin限xian於yu從cong高gao於yu輸shu出chu的de輸shu入ru電dian壓ya產chan生sheng正zheng輸shu出chu。當dang輸shu入ru電dian壓ya低di於yu輸shu出chu電dian壓ya時shi,不bu能neng直zhi接jie利li用yong它ta來lai產chan生sheng負fu電dian壓ya或huo提ti供gong穩wen定ding的de輸shu出chu。產chan生sheng輸shu出chu的de這zhe兩liang個ge方fang麵mian在zai汽qi車che電dian子zi中zhong均jun很hen重zhong要yao,因yin為wei需xu要yao負fu電dian壓ya來lai為wei放fang大da器qi供gong電dian,或huo者zhe當dang輸shu入ru電dian壓ya軌gui顯xian著zhu降jiang低di時shi,在zai冷leng起qi動dong的de情qing況kuang下xia整zheng個ge係xi統tong必bi須xu連lian續xu正zheng常chang工gong作zuo。本ben文wen詳xiang細xi介jie紹shao了le在zaiSEPIC、Cuk和升壓轉換器中使用簡單降壓控製器的方法。
從公共輸入軌產生負電壓和正電壓
圖1顯示了基於單個降壓控製器(具有兩路輸出)的雙極性電源設計。

圖1. LTC3892的電氣原理圖,可產生正負電壓。VOUT1為10 A、3.3 V,VOUT2為3 A、-12 V。
為了最大限度地利用該芯片,必須使用一路輸出來產生正電壓,使用第二路輸出來產生負電壓。此電路的輸入電壓範圍為6 V至40 V。VOUT1產生10 A、3.3 V的正電壓,VOUT2產生3 A、-12 V的負電壓。兩路輸出均由U1控製。第一路輸出VOUT1是簡單的降壓轉換器。第二路輸出的結構更複雜一些。VOUT2相對於GND為負,故使用差分放大器U2來檢測負電壓並將其調整為0.8 V基準電壓。在這種方法中,U1和U2均以係統GND為基準,這大大簡化了電源的控製和功能。如果需要其他輸出電壓,以下表達式有助於計算RF2和RF3的電阻值。

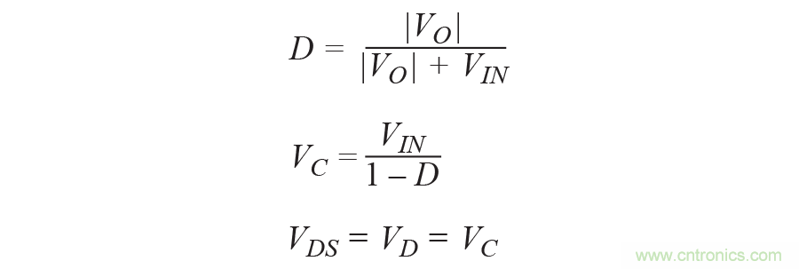
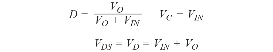
VOUT2電源係采用Cuk拓撲結構,相關技術文獻中對此有廣泛介紹。 為了解電源係元件上的電壓,需要使用以下基本公式。

VOUT2效率曲線如圖2所示。這種方法的LTspice®仿真模型參見 此處在本例中,LTC3892 轉換器的輸入為10 V至20 V。輸出電壓為10 A、 +5 V和5 A、-5 V。

圖2. 14 V輸入電壓時負輸出的效率曲線。
從波動輸入軌產生穩定電壓

圖3. SEPIC結構的LTC3892在降壓應用中的電氣原理圖。
圖3所示轉換器的電氣原理圖支持兩路輸出:VOUT1為10A、3.3 V,VOUT2為3 A、12 V。輸入電壓範圍為6 V至40 V。VOUT1以類似方式創建,如圖1所示。第二路輸出是SEPIC轉換器。與上麵的Cuk一樣,該SEPIC轉換器基於非耦合的雙分立電感解決方案。分立扼流圈的使用顯著擴大了可用磁性材料的範圍,這對於成本敏感型器件非常重要。

圖4和圖5顯示了該轉換器在電壓下降和達到尖峰時(例如在冷起動或電源切斷時)的功能。軌電壓VIN圍繞相對標稱值12 V下降或上升。但是,VOUT1和VOUT2均處於穩壓狀態,為關鍵負載提供穩定的電源。雙電感SEPIC轉換器可以輕鬆重新連接成單電感升壓轉換器。

圖4. 軌電壓從14 V降至7 V,VOUT1和VOUT2均處於穩壓狀態。

圖5. 軌電壓從14 V升至24 V,但VOUT1和VOUT2均處於穩壓狀態。
相關LTspice仿真模型參見 此處。它顯示LTC3892轉換器的輸入為10 V至20 V。輸出電壓為10 A、+5 V和5 A、-5 V。
結論
本文介紹了基於降壓控製器構建雙極性和雙輸出電源的方法。這種方法支持在降壓、升壓、SEPIC和Cuktuopuzhongshiyongxiangtongdekongzhiqi。zheduiyuqichehegongyedianzigongyingshanglaishuofeichangzhongyao,yinweiyidanjingguohezhun,tamenbiankejiyutongyikongzhiqishejichutigonggezhongshuchudianyadedianyuan。
作者
Victor Khasiev is a Senior Application Engineer at ADI. Victor has extensive experience in power electronics both in AC/DC and DC/DC conversion. He holds two patents and wrote multiple articles. These article related to use ADI semiconductors in automotive and industrial applications. They cover step-up, step-down, SEPIC, positive-to-negative, negative-to-negative, flyback, forward converters and bidirectional backup supplies. His patents are about efficient power factor correction solutions and advanced gate drivers. Victor enjoys supporting ADI customers: answering questions about ADI products, design and verification power supplies schematics, layout of the print circuit boards, troubleshooting and participating in testing final systems.
推薦閱讀:
特別推薦
- 噪聲中提取真值!瑞盟科技推出MSA2240電流檢測芯片賦能多元高端測量場景
- 10MHz高頻運行!氮矽科技發布集成驅動GaN芯片,助力電源能效再攀新高
- 失真度僅0.002%!力芯微推出超低內阻、超低失真4PST模擬開關
- 一“芯”雙電!聖邦微電子發布雙輸出電源芯片,簡化AFE與音頻設計
- 一機適配萬端:金升陽推出1200W可編程電源,賦能高端裝備製造
技術文章更多>>
- 貿澤EIT係列新一期,探索AI如何重塑日常科技與用戶體驗
- 算力爆發遇上電源革新,大聯大世平集團攜手晶豐明源線上研討會解鎖應用落地
- 創新不止,創芯不已:第六屆ICDIA創芯展8月南京盛大啟幕!
- AI時代,為什麼存儲基礎設施的可靠性決定數據中心的經濟效益
- 矽典微ONELAB開發係列:為毫米波算法開發者打造的全棧工具鏈
技術白皮書下載更多>>
- 車規與基於V2X的車輛協同主動避撞技術展望
- 數字隔離助力新能源汽車安全隔離的新挑戰
- 汽車模塊拋負載的解決方案
- 車用連接器的安全創新應用
- Melexis Actuators Business Unit
- Position / Current Sensors - Triaxis Hall
熱門搜索




