如何驗證電流探頭的可靠性?
發布時間:2017-10-20 責任編輯:lina
針對ZCP0030-50電流探頭進行了全方位性能參數驗證, 主要測試參數包括直流精度、上升時間、方波響應、噪聲、以及開關電源開關管電流波形實測。為了讓實測結果更加直觀,我們選擇T公司的TCP312電流探頭作為實測對比,並且在所有測試配有圖片和測試結果,保證測試過程可追溯。
一、直流精度驗證
ZCP0030-50標稱直流精度為1%rdg±1mV,實測精度如表1所示。
1、測試條件
精度測試所使用試儀器為FLUKE5720校準器、六位半萬用表DMM6000。測試步驟,校準器FLUKE5720輸出不同的被測電流值,萬用表讀取電流探頭的響應電壓值。

圖 2.1 直流精度測試環境
2、精度數據
表 2.1 直流精度測試數據
3、驗證結論
上表格的數據顯示,ZCP0030-50在量程範圍內的直流精度在1%rdg±1mV以內。
二、上升時間驗證
ZCP0030-50的帶寬是50MHz,對應上升時間≤7ns。探頭上升時間是指測試脈衝時,測量係統響應波形從穩態值的10%上升到90%所(suo)需(xu)要(yao)的(de)時(shi)間(jian),是(shi)一(yi)個(ge)很(hen)關(guan)鍵(jian)的(de)參(can)數(shu),上(shang)升(sheng)時(shi)間(jian)越(yue)快(kuai),說(shuo)明(ming)探(tan)頭(tou)的(de)響(xiang)應(ying)越(yue)快(kuai),能(neng)測(ce)到(dao)更(geng)加(jia)快(kuai)速(su)變(bian)化(hua)的(de)電(dian)流(liu)波(bo)形(xing),還(hai)原(yuan)電(dian)流(liu)波(bo)形(xing)的(de)性(xing)能(neng)越(yue)好(hao)。
1、測試條件
測試電流探頭的上升時間使用的測試儀器是信號發生器Keysight33600和示波器ZDS2022。信號發生器產生上升時間為5ns的方波,示波器顯示經過電流探頭後的上升波形和時間。
2、波形數據

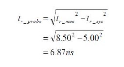
圖 3.1 ZCP0030-50的上升時間
如圖3.1所示,根據示波器測量到的上升時間為8.5ns,這zhe個ge總zong時shi間jian是shi信xin號hao發fa生sheng器qi自zi身shen的de上shang升sheng時shi間jian加jia上shang探tan頭tou的de上shang升sheng時shi間jian,所suo以yi實shi際ji上shang探tan頭tou的de上shang升sheng時shi間jian還hai需xu要yao將jiang總zong時shi間jian減jian去qu信xin號hao發fa生sheng器qi自zi身shen的de上shang升sheng時shi間jian,具ju體ti的de計ji算suan公gong式shi如ru下xia。

3、驗證結論
實測結果在理論計算範圍內,上升時間正常,實測帶寬在50MHz以上。
三、方波響應驗證
方(fang)波(bo)響(xiang)應(ying)主(zhu)要(yao)是(shi)用(yong)來(lai)簡(jian)易(yi)測(ce)試(shi)電(dian)流(liu)探(tan)頭(tou)幅(fu)頻(pin)響(xiang)應(ying)特(te)性(xing)的(de)測(ce)試(shi)方(fang)法(fa)。電(dian)流(liu)探(tan)頭(tou)能(neng)夠(gou)完(wan)整(zheng)的(de)重(zhong)現(xian)方(fang)波(bo)波(bo)形(xing),不(bu)出(chu)現(xian)畸(ji)變(bian),說(shuo)明(ming)探(tan)頭(tou)的(de)幅(fu)頻(pin)響(xiang)應(ying)平(ping)坦(tan),是(shi)良(liang)好(hao)的(de)。
1、測試條件
測試電流探頭的方波響應時,使用的測試儀器是信號發生器Keysight33600和示波器ZDS2022。信號發生器產生電流峰峰值為100mA,頻率分別1KHz、100KHz、1MHz為的方波,示波器顯示相對應的方波波形。
2、波形數據
如圖3所示,在測試1KHz的電流方波時,探頭的方波響應是很好的,波形基本上沒有畸變,波形比較平坦,沒有發生傾斜等。

圖3 1KHz電流方波響應
如圖4所示,在測試100KHz的電流方波時,探頭的方波響應是很好的,波形基本上沒有畸變,波形比較平坦,沒有發生傾斜等。

圖 4 100KHz電流方波響應
如3所示,在測試1MHz的電流方波時,探頭的整體方波響應的波形基本上沒有畸變,波形比較平坦,沒有發生傾斜等。

圖5 100KHz電流方波響應
如圖5所示,在測試1MHz的電流方波時,探頭的整體方波響應的波形基本上沒有畸變,波形比較平坦,沒有發生傾斜等。
3、驗證結論
實測結果在理論計算範圍內,幅頻響應平坦。
四、噪聲評測
噪聲是電流探頭的重要參數,噪聲的大小直接影響到探頭的分辨率,噪聲越小,分辨率越高。
1、測試條件
噪聲測試主要是使用示波器ZDS2022來觀察測試,並記錄相應的測試值。
2、精度數據
如圖6所示,測試出來的電流探頭的實際噪聲的峰峰值小於10mA,交流有效值小於1mArms。
圖6 噪聲測試
3、驗證結論
實測結果在理論計算範圍內,噪聲控製良好。
推薦閱讀:
Maxim串行器和解串器技術滿足未來ADAS和信息娛樂係統要求
- 噪聲中提取真值!瑞盟科技推出MSA2240電流檢測芯片賦能多元高端測量場景
- 10MHz高頻運行!氮矽科技發布集成驅動GaN芯片,助力電源能效再攀新高
- 失真度僅0.002%!力芯微推出超低內阻、超低失真4PST模擬開關
- 一“芯”雙電!聖邦微電子發布雙輸出電源芯片,簡化AFE與音頻設計
- 一機適配萬端:金升陽推出1200W可編程電源,賦能高端裝備製造
- 築基AI4S:摩爾線程全功能GPU加速中國生命科學自主生態
- 一秒檢測,成本降至萬分之一,光引科技把幾十萬的台式光譜儀“搬”到了手腕上
- AI服務器電源機櫃Power Rack HVDC MW級測試方案
- 突破工藝邊界,奎芯科技LPDDR5X IP矽驗證通過,速率達9600Mbps
- 通過直接、準確、自動測量超低範圍的氯殘留來推動反滲透膜保護
- 車規與基於V2X的車輛協同主動避撞技術展望
- 數字隔離助力新能源汽車安全隔離的新挑戰
- 汽車模塊拋負載的解決方案
- 車用連接器的安全創新應用
- Melexis Actuators Business Unit
- Position / Current Sensors - Triaxis Hall



