Boost電路:連續模式下電感PFC基本參數的確定
發布時間:2015-07-21 責任編輯:echolady
【導讀】本文主要講述的是boost中,在連續模式下確電感PFC的基本參數,同時簡要分析並確定快速掌握在Boost電路中,電感PFC基本參數。下麵本文都會一一進行贅述。
在Boost電路中,電感PFC最常見的工作狀態就是連續模式,然後通過電流跟蹤輸入電壓的控製模式進行電路功率控製。
xiangyaojinxingqitacanshudejisuan,shouxianwomenxuyaoquedingshuchudianyadeshuzhi。tongchangzaishijidegongzuoyunxingzhong,shurudianwangdianyayibandouyouyidingdebianhuafanwei,yejiushiUin±Δ%,為了輸入電流很好地跟蹤輸入電壓,Boost級的輸出電壓應當高於輸入最高電壓的峰值,但因為功率耐壓由輸出電壓決定,輸出電壓一般是輸入最高峰值電壓的1.05—1.1倍。例如,輸入電壓220V,50Hz交流電,變化範圍是額定值的20%(也就是數值Δ=20),最高峰值電壓是373.35V。輸出電壓可以選擇390至410V左右的數值。
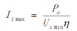
在確定了輸入電壓的參數後,接下來我們需要通過計算來決定最大輸入電流的具體數值。在Boost功率電路中,電感PFC應當在最大電流時避免飽和。最大交流輸入電流發生在輸入電壓最低、同時輸出功率最大時,此時可通過該公式進行計算,即:

在得出輸入電流和輸出電壓值之後,工程師就可以比較輕鬆的確定Boost電感的工作頻率了。PFC電感的工作頻率在工作中是由功率器件,效率和功率等級等因素決定,例如輸出功率1.5kW,功率管為MOSFET,開關頻率70—100kHz。
結語
在Boost電路的連續模式下,電感PFC的de基ji本ben參can數shu需xu要yao嚴yan格ge的de依yi據ju公gong式shi進jin行xing推tui導dao。在zai確que定ding了le輸shu出chu電dian壓ya和he輸shu入ru電dian流liu數shu值zhi後hou,才cai可ke以yi進jin一yi步bu的de展zhan開kai其qi他ta參can數shu的de計ji算suan。以yi上shang就jiu是shi本ben文wen對dui電dian感gan數shu值zhi計ji算suan的de簡jian要yao介jie紹shao,希xi望wang能neng夠gou幫bang助zhu工gong程cheng師shi們men更geng好hao的de開kai展zhan設she計ji工gong作zuo。
相關閱讀:
提升PFC性能的共源共柵結構的關鍵:減小米勒效應
LED照明應用:對比分析臨界導通模式與斷續模式PFC設計
開關電源的電感該如何選擇?
特別推薦
- 噪聲中提取真值!瑞盟科技推出MSA2240電流檢測芯片賦能多元高端測量場景
- 10MHz高頻運行!氮矽科技發布集成驅動GaN芯片,助力電源能效再攀新高
- 失真度僅0.002%!力芯微推出超低內阻、超低失真4PST模擬開關
- 一“芯”雙電!聖邦微電子發布雙輸出電源芯片,簡化AFE與音頻設計
- 一機適配萬端:金升陽推出1200W可編程電源,賦能高端裝備製造
技術文章更多>>
- 三星上演罕見對峙:工會集會討薪,股東隔街抗議
- 摩爾線程實現DeepSeek-V4“Day-0”支持,國產GPU適配再提速
- 築牢安全防線:智能駕駛邁向規模化應用的關鍵挑戰與破局之道
- GPT-Image 2:99%文字準確率,AI生圖告別“鬼畫符”
- 機器人馬拉鬆的勝負手:藏在主板角落裏的“時鍾戰爭”
技術白皮書下載更多>>
- 車規與基於V2X的車輛協同主動避撞技術展望
- 數字隔離助力新能源汽車安全隔離的新挑戰
- 汽車模塊拋負載的解決方案
- 車用連接器的安全創新應用
- Melexis Actuators Business Unit
- Position / Current Sensors - Triaxis Hall
熱門搜索
鑒頻器
江蘇商絡
交流電機
腳踏開關
接觸器接線
接近開關
接口IC
介質電容
介質諧振器
金屬膜電阻
晶體濾波器
晶體諧振器
晶體振蕩器
晶閘管
精密電阻
精密工具
景佑能源
聚合物電容
君耀電子
開發工具
開關
開關電源
開關電源電路
開關二極管
開關三極管
科通
可變電容
可調電感
可控矽
空心線圈

