深度解析:高頻逆變電源中的單片機“三步曲”
發布時間:2015-05-29 責任編輯:echolady
【導讀】工(gong)程(cheng)師(shi)再(zai)設(she)計(ji)電(dian)路(lu)時(shi)會(hui)遇(yu)到(dao)對(dui)電(dian)流(liu)進(jin)行(xing)轉(zhuan)換(huan)的(de)情(qing)況(kuang),這(zhe)就(jiu)需(xu)要(yao)逆(ni)變(bian)電(dian)源(yuan)大(da)顯(xian)身(shen)手(shou),高(gao)頻(pin)逆(ni)變(bian)電(dian)源(yuan)自(zi)然(ran)首(shou)當(dang)其(qi)衝(chong)。高(gao)頻(pin)逆(ni)變(bian)電(dian)源(yuan)能(neng)將(jiang)直(zhi)流(liu)電(dian)源(yuan)轉(zhuan)換(huan)成(cheng)交(jiao)流(liu)電(dian)源(yuan),滿(man)足(zu)設(she)計(ji)需(xu)求(qiu)。本(ben)文(wen)要(yao)介(jie)紹(shao)的(de)就(jiu)是(shi)高(gao)頻(pin)逆(ni)變(bian)電(dian)源(yuan)的(de)單(dan)片(pian)機(ji)。
消諧PWM控製
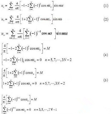
PWM控製技術的主要作用,是為了應對逆變電源當中的諧波問題,高頻PWM控製不僅可以有效地減小輸出電壓的諧波含量,而且可以方便地調節輸出電壓的大小。消諧控製的基本思想,是以PWM脈衝波形的切換點相位作為未知數,通過PWMmaichongdefuliyejishufenxi,huodeshuchudianyadejibofenlianghegecixiebofenliangdebiaodashi,ranhougenjujibohegecixiebofuzhideyaoqiu,jianliyigeyuweizhishugeshuxiangdengdefangchengzu,tongguoqiujiefangchengzu,huodegegemaichongdeqiehuanshike,bingangaishikeshishikongzhi,zeshuchudianyadejibohegecixiebofuzhijianghuishiqiwangzhi。yibanqingkuangxia,zongshilingjibofuzhiweiyigeqiwangdefeilingzhi,erlinggecixiebodedaxiaoweiling,zheyangjingguoxiaoxiePWM控製方程的逆變器將不含指定的低階諧波值。
假定逆變器輸出PWM波形在四分之一周期內有N個開關切換點,每個開關切換點對應的相位角分別為(ai=1,2,…,N),且有0≤a1。

式(1)為雙極性調製且開關角個數N為奇數時的表達式,式(2)為雙極性調製且開關角個數N為偶數時的表達式,式(3)為單極性調製時的表達式。設逆變器輸出基波電壓幅值與輸入直流母線電壓比值為M,假定式(1)、式(2)對應的PWM波形用於三相逆變器,式(3)對應的PWM波形用於單相逆變器,則式(1)~(3)式可得出相對應的消諧方程分別如(4)~(6)式(shi)所(suo)示(shi)。求(qiu)解(jie)上(shang)述(shu)方(fang)程(cheng)即(ji)可(ke)得(de)到(dao)一(yi)組(zu)開(kai)關(guan)切(qie)換(huan)角(jiao),將(jiang)此(ci)切(qie)換(huan)角(jiao)轉(zhuan)化(hua)為(wei)單(dan)片(pian)機(ji)定(ding)時(shi)計(ji)數(shu)脈(mai)衝(chong)數(shu)據(ju)表(biao)保(bao)存(cun)在(zai)程(cheng)序(xu)存(cun)儲(chu)器(qi)中(zhong),供(gong)實(shi)時(shi)控(kong)製(zhi)時(shi)查(zha)詢(xun)。
[page]
控製係統

圖1 逆變電源的硬件電路基本框圖
控kong製zhi係xi統tong是shi按an照zhao給gei定ding信xin號hao的de要yao求qiu,控kong製zhi並bing調tiao節jie主zhu電dian路lu開kai關guan管guan的de開kai通tong與yu關guan斷duan,從cong而er控kong製zhi主zhu電dian路lu產chan生sheng期qi望wang的de輸shu出chu電dian壓ya,並bing使shi輸shu出chu電dian壓ya盡jin可ke能neng地di跟gen隨sui給gei定ding的de電dian壓ya信xin號hao。圖tu1給gei出chu了le逆ni變bian電dian源yuan的de硬ying件jian電dian路lu基ji本ben框kuang圖tu。觸chu發fa脈mai衝chong的de產chan生sheng采cai用yong數shu字zi電dian路lu的de方fang法fa,完wan全quan可ke以yi用yong控kong製zhi器qi的de軟ruan件jian程cheng序xu來lai實shi現xian其qi功gong能neng,節jie約yue了le成cheng本ben,而er且qie相xiang比bi較jiao於yu模mo擬ni電dian路lu,這zhe種zhong方fang法fa的de抗kang幹gan擾rao能neng力li較jiao強qiang。
逆變電路控製係統以AVR單(dan)片(pian)機(ji)為(wei)核(he)心(xin),其(qi)功(gong)能(neng)主(zhu)要(yao)是(shi)產(chan)生(sheng)全(quan)橋(qiao)逆(ni)變(bian)電(dian)路(lu)中(zhong)開(kai)關(guan)管(guan)的(de)驅(qu)動(dong)信(xin)號(hao),同(tong)時(shi)通(tong)過(guo)實(shi)時(shi)采(cai)樣(yang)線(xian)路(lu)電(dian)壓(ya)和(he)電(dian)流(liu)來(lai)實(shi)現(xian)逆(ni)變(bian)電(dian)源(yuan)的(de)調(tiao)節(jie)和(he)保(bao)護(hu)。對(dui)於(yu)直(zhi)流(liu)母(mu)線(xian)側(ce)的(de)輸(shu)入(ru)電(dian)壓(ya)信(xin)號(hao),采(cai)用(yong)霍(huo)爾(er)傳(chuan)感(gan)器(qi)變(bian)壓(ya)後(hou),電(dian)壓(ya)信(xin)號(hao)經(jing)過(guo)由(you)運(yun)算(suan)放(fang)大(da)器(qi)組(zu)成(cheng)的(de)射(she)級(ji)跟(gen)隨(sui)器(qi),送(song)到(dao)窗(chuang)口(kou)比(bi)較(jiao)器(qi),窗(chuang)口(kou)的(de)上(shang)下(xia)兩(liang)閾(yu)值(zhi)分(fen)別(bie)對(dui)應(ying)過(guo)電(dian)壓(ya)和(he)欠(qian)電(dian)壓(ya)限(xian)值(zhi),如(ru)果(guo)在(zai)窗(chuang)口(kou)範(fan)圍(wei)內(nei)則(ze)電(dian)壓(ya)正(zheng)常(chang),否(fou)則(ze)輸(shu)出(chu)過(guo)電(dian)壓(ya)或(huo)欠(qian)電(dian)壓(ya)故(gu)障(zhang)信(xin)號(hao);duiyuzhiliumuxiancededianliuxinhao,caiyongcaiyangdianzuduiqijinxingceliang,caiyangdianzuliangduandianyasongyunsuanfangdaqifangdahekangganraolvbochulihou,yushedingdeguodianliuyuzhibijiao,shixiannibianqideshuchuhuoneibudianluguodianliudebaojinghechuli。yishangliangzhongbaohuxinhaojingguoluojiyuchuli,songdaodanpianjidewaibuzhongduanqingqiushuruyinjiao,wulunhezhongqingkuangyinqideguzhangxinhao,junkeyixiangdanpianjitichuzhongduanqingqiu,danpianjixiangyingzhongduan,tongguofengsuosuoyoukaiguanguandequdongxinhaolaishixianbaohu,tongshigeichuguzhangzhishi。
控製器采用8位AVR單片機。8位AVR MCU具備1MIPS / MHz的高速運行處理能力。超功能精簡指令集(RISC),具有32個通用工作寄存器,克服了如8051 MCU采用單一ACC進行處理造成的瓶頸現象。快速的存取寄存器組、單周期指令係統,大大優化了目標代碼的大小、執行效率。作輸出時與PIC的HI/LOW相同,可輸出40mA(單一輸出),作輸入時可設置為三態高阻抗輸入或帶上拉電阻輸入,具備10~20mA灌電流的能力。片內集成多種頻率的RC振蕩器、上電自動複位、看門狗、啟動延時等功能,外圍電路更加簡單,係統更加穩定可靠。片上資源豐富。將逆變器的期望輸出頻率給定值以編碼的方式輸入控製器,CPU根據讀入的頻率代碼確定應選擇的消諧PWM控製數據,並通過內部定時控製,按此規定的PWM數據,從CPU的I/O端口輸出逆變橋開關管的驅動信號,控製開關器件的導通和關斷,實現消諧控製。
係統軟件
逆變電源的控製軟件由主程序、定時器中斷服務程序、外部中斷服務程序三個部分組成。主程序用來初始化單片機的工作方式,從I/O口(kou)讀(du)入(ru)逆(ni)變(bian)電(dian)源(yuan)期(qi)望(wang)輸(shu)出(chu)頻(pin)率(lv)給(gei)定(ding)值(zhi)的(de)編(bian)碼(ma),當(dang)給(gei)定(ding)輸(shu)出(chu)頻(pin)率(lv)發(fa)生(sheng)變(bian)化(hua)時(shi),其(qi)編(bian)碼(ma)值(zhi)會(hui)隨(sui)之(zhi)變(bian)化(hua),此(ci)時(shi)修(xiu)改(gai)頻(pin)率(lv)變(bian)化(hua)標(biao)誌(zhi),並(bing)在(zai)定(ding)時(shi)器(qi)中(zhong)斷(duan)服(fu)務(wu)程(cheng)序(xu)按(an)新(xin)的(de)消(xiao)諧(xie)PWM開(kai)關(guan)切(qie)換(huan)數(shu)據(ju)進(jin)行(xing)定(ding)時(shi)控(kong)製(zhi),實(shi)現(xian)驅(qu)動(dong)信(xin)號(hao)的(de)切(qie)換(huan)。定(ding)時(shi)器(qi)中(zhong)斷(duan)服(fu)務(wu)程(cheng)序(xu)主(zhu)要(yao)完(wan)成(cheng)對(dui)開(kai)關(guan)切(qie)換(huan)數(shu)據(ju)的(de)定(ding)時(shi)控(kong)製(zhi),輸(shu)出(chu)相(xiang)應(ying)的(de)開(kai)關(guan)管(guan)驅(qu)動(dong)信(xin)號(hao),實(shi)現(xian)消(xiao)諧(xie)PWMkongzhi。waibuzhongduanfuwuchengxuzhuyaoshixiannibiandianyuandeguzhangbaohugongneng,dangguzhangzhongduanqingqiufashengshi,danpianjijishixiangyingzhongduan,zaiquerenyouguzhangfashengshi,fengsuoqudongxinhao,bingshuchuguzhangdaima。
對於逆變電源中的單片機設計,本篇文章通過三個知識點進行了全麵詳盡的講解,不僅對PWM控kong製zhi的de基ji本ben原yuan理li進jin行xing講jiang解jie,還hai給gei出chu了le三san相xiang逆ni變bian電dian源yuan的de主zhu電dian路lu構gou圖tu,希xi望wang大da家jia在zai閱yue讀du過guo本ben篇pian文wen章zhang之zhi後hou能neng對dui高gao頻pin逆ni變bian當dang中zhong的de單dan片pian機ji設she計ji方fang案an有you進jin一yi步bu的de了le解jie。
相關閱讀:
“兩個關鍵點”輕鬆解決高頻逆變電源變壓器設計
解析處理高頻逆變電源的內外幹擾問題
X光機中,高頻逆變電源是如何控製燈絲和電壓的?
特別推薦
- 噪聲中提取真值!瑞盟科技推出MSA2240電流檢測芯片賦能多元高端測量場景
- 10MHz高頻運行!氮矽科技發布集成驅動GaN芯片,助力電源能效再攀新高
- 失真度僅0.002%!力芯微推出超低內阻、超低失真4PST模擬開關
- 一“芯”雙電!聖邦微電子發布雙輸出電源芯片,簡化AFE與音頻設計
- 一機適配萬端:金升陽推出1200W可編程電源,賦能高端裝備製造
技術文章更多>>
- 築基AI4S:摩爾線程全功能GPU加速中國生命科學自主生態
- 一秒檢測,成本降至萬分之一,光引科技把幾十萬的台式光譜儀“搬”到了手腕上
- AI服務器電源機櫃Power Rack HVDC MW級測試方案
- 突破工藝邊界,奎芯科技LPDDR5X IP矽驗證通過,速率達9600Mbps
- 通過直接、準確、自動測量超低範圍的氯殘留來推動反滲透膜保護
技術白皮書下載更多>>
- 車規與基於V2X的車輛協同主動避撞技術展望
- 數字隔離助力新能源汽車安全隔離的新挑戰
- 汽車模塊拋負載的解決方案
- 車用連接器的安全創新應用
- Melexis Actuators Business Unit
- Position / Current Sensors - Triaxis Hall
熱門搜索
微波功率管
微波開關
微波連接器
微波器件
微波三極管
微波振蕩器
微電機
微調電容
微動開關
微蜂窩
位置傳感器
溫度保險絲
溫度傳感器
溫控開關
溫控可控矽
聞泰
穩壓電源
穩壓二極管
穩壓管
無焊端子
無線充電
無線監控
無源濾波器
五金工具
物聯網
顯示模塊
顯微鏡結構
線圈
線繞電位器
線繞電阻




