設計攻略:低成本無線充電技術的設計方案
發布時間:2015-04-09 責任編輯:echolady
【導讀】近(jin)年(nian)來(lai)越(yue)來(lai)越(yue)流(liu)行(xing)感(gan)應(ying)無(wu)線(xian)電(dian)力(li)傳(chuan)輸(shu),許(xu)多(duo)手(shou)機(ji)製(zhi)造(zao)商(shang)都(dou)采(cai)用(yong)感(gan)應(ying)電(dian)力(li)傳(chuan)輸(shu)的(de)無(wu)線(xian)充(chong)電(dian)功(gong)能(neng),而(er)這(zhe)項(xiang)技(ji)術(shu)基(ji)本(ben)應(ying)用(yong)於(yu)便(bian)攜(xie)設(she)備(bei)中(zhong)。本(ben)文(wen)詳(xiang)解(jie)了(le)低(di)成(cheng)本(ben)分(fen)立(li)式(shi)的(de)無(wu)線(xian)充(chong)電(dian)器(qi)解(jie)決(jue)方(fang)案(an)。
基本理論
基(ji)於(yu)感(gan)應(ying)電(dian)源(yuan)的(de)無(wu)線(xian)電(dian)力(li)傳(chuan)輸(shu)的(de)基(ji)本(ben)理(li)論(lun)非(fei)常(chang)簡(jian)單(dan)。眾(zhong)所(suo)周(zhou)知(zhi),交(jiao)流(liu)電(dian)場(chang)將(jiang)產(chan)生(sheng)磁(ci)場(chang),交(jiao)流(liu)磁(ci)場(chang)也(ye)將(jiang)產(chan)生(sheng)電(dian)場(chang)。在(zai)發(fa)射(she)機(ji)中(zhong),直(zhi)流(liu)電(dian)源(yuan)轉(zhuan)換(huan)為(wei)交(jiao)流(liu)電(dian),並(bing)產(chan)生(sheng)交(jiao)流(liu)電(dian)場(chang)。在(zai)接(jie)收(shou)機(ji)處(chu),線圈拾取來自交流磁場的電源,並將交流電轉換成直流電作為輸出負載。
發(fa)射(she)線(xian)圈(quan)和(he)接(jie)收(shou)線(xian)圈(quan)彼(bi)此(ci)分(fen)離(li),泄(xie)漏(lou)電(dian)感(gan)大(da)且(qie)耦(ou)合(he)係(xi)數(shu)小(xiao)。因(yin)此(ci),傳(chuan)輸(shu)效(xiao)率(lv)非(fei)常(chang)低(di)。為(wei)提(ti)高(gao)傳(chuan)輸(shu)效(xiao)率(lv),必(bi)須(xu)采(cai)用(yong)一(yi)個(ge)補(bu)償(chang)電(dian)路(lu)。常(chang)用(yong)方(fang)法(fa)就(jiu)是(shi)在(zai)發(fa)送(song)機(ji)側(ce)和(he)接(jie)收(shou)機(ji)側(ce)分(fen)別(bie)放(fang)置(zhi)一(yi)個(ge)補(bu)償(chang)電(dian)容(rong),形(xing)成(cheng)一(yi)個(ge)帶(dai)有(you)發(fa)送(song)線(xian)圈(quan)和(he)接(jie)收(shou)線(xian)圈(quan)的(de)諧(xie)振(zhen)電(dian)路(lu),用(yong)於(yu)改(gai)善(shan)電(dian)源(yuan)傳(chuan)輸(shu)。圖(tu)1顯xian示shi了le兩liang個ge補bu償chang電dian路lu方fang法fa的de拓tuo撲pu結jie構gou。通tong常chang情qing況kuang下xia,在zai發fa送song機ji側ce放fang置zhi一yi個ge電dian容rong以yi形xing成cheng帶dai有you發fa送song線xian圈quan的de串chuan聯lian諧xie振zhen電dian路lu,而er在zai接jie收shou機ji側ce有you兩liang種zhong不bu同tong的de拓tuo撲pu結jie構gou。一yi種zhong是shi形xing成cheng帶dai有you接jie收shou線xian圈quan的de串chuan聯lian諧xie振zhen電dian路lu的de電dian容rong,另ling一yi種zhong是shi形xing成cheng帶dai有you接jie收shou線xian圈quan的de平ping行xing諧xie振zhen電dian路lu的de電dian容rong。

圖1:兩個諧振電路拓撲結構。
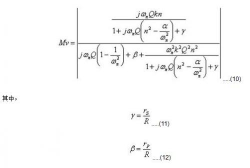
電壓傳輸函數如下所示:

[page]
Cp和Lp為發射機側發送線圈的串聯電容值和電感值,而Cs和Ls為接收機側接收線圈的串聯或平行電容值和串聯電感值。M為互感係數。ω0為諧振頻率。ωn為標準化工作頻率。n為兩個線圈電感的比率。Q為品質因子。K為耦合係數。α為發射串聯電容與接收電容的比率。R為輸出負載。

圖2:帶有電感串聯電阻的串聯諧振電路。
在方程式2中,沒有考慮線圈的串聯電阻。如果變更電路模型,如圖2所示,串聯諧振電路的電壓傳輸函數亦會發生變更,如下所示。

而且,平行諧振電路的方程式相似。
有you些xie參can數shu對dui無wu線xian充chong電dian器qi係xi統tong產chan生sheng影ying響xiang。在zai無wu線xian充chong電dian器qi應ying用yong中zhong,大da多duo數shu係xi統tong接jie收shou機ji使shi用yong串chuan聯lian諧xie振zhen電dian路lu。因yin此ci,下xia文wen將jiang僅jin討tao論lun串chuan聯lian諧xie振zhen電dian路lu。
(1)品質因子:
在方程式6中,Q被稱為品質因子。發射線圈或輸出電阻的變更會影響Q值zhi。在zai無wu線xian充chong電dian器qi係xi統tong中zhong,工gong作zuo點dian被bei設she定ding在zai諧xie振zhen頻pin率lv處chu。發fa射she諧xie振zhen頻pin率lv和he接jie收shou諧xie振zhen頻pin率lv總zong是shi相xiang同tong。所suo以yi,我wo們men感gan興xing趣qu的de是shi諧xie振zhen頻pin率lv的de電dian壓ya傳chuan遞di函han數shu值zhi(ωn=1)。圖3顯示了Q值的係統電壓傳輸函數變化。

圖3:具有不同質量因子的電壓傳輸函數。
從該圖可以看出,當Q值(zhi)變(bian)小(xiao)時(shi),在(zai)諧(xie)振(zhen)頻(pin)率(lv)點(dian)的(de)電(dian)壓(ya)傳(chuan)輸(shu)函(han)數(shu)曲(qu)線(xian)變(bian)得(de)更(geng)明(ming)顯(xian)。在(zai)這(zhe)種(zhong)情(qing)況(kuang)下(xia),電(dian)壓(ya)傳(chuan)輸(shu)函(han)數(shu)對(dui)頻(pin)率(lv)非(fei)常(chang)敏(min)感(gan),且(qie)輸(shu)出(chu)不(bu)易(yi)於(yu)保(bao)持(chi)穩(wen)定(ding)。另(ling)一(yi)方(fang)麵(mian),當(dang)Qzhibiandashi,xiezhenpinlvchudequxianbianhuabianman,dandianyachuanshuhanshubiandefeichangdi。weilededaoxiangtongdeshuchudianya,bixuzaidaozhijidixiaolvdefashejichushijiagengdadeshurudianyahedianliu。yinci,xuyaoshenzhongxuanzeheshideQ值。通常,Q值範圍從4到6.
(2)耦合係數
在方程式7中,Kbeichengweiouhexishu。zhongsuozhouzhi,fashejichanshengcitong。daodajieshoujidecitongyueduo,shuomingxianquanouhedeyuehao。ouhexishuyonglaicelianggaiouhejibie。ouhexishuquzhizai0和1之間,其中0表示發射線圈和接收線圈獨立,1表示發射線圈和接收線圈完全耦合。當線圈完全耦合時,發射線圈產生的磁通完全被接收線圈搜集。

圖4:具有不同耦合係數的電壓傳輸函數。
圖4顯示了耦合係數如何影響電壓傳輸函數曲線。從該圖中可以發現,有一個k值,在此處電壓傳輸函數達到峰值,這表示已實現最佳性能。因此,良好的線圈耦合對獲得更好的係統性能非常重要。
[page]
WPC無線充電器標準
無線充電聯盟成立的宗旨是建立一個關於短距離移動裝置無線電力傳輸的標準,該標準被稱為「Qi」標準。WPC標(biao)準(zhun)定(ding)義(yi)了(le)低(di)功(gong)率(lv)無(wu)線(xian)裝(zhuang)置(zhi)中(zhong)的(de)感(gan)應(ying)耦(ou)合(he)工(gong)作(zuo)方(fang)法(fa),以(yi)及(ji)電(dian)力(li)發(fa)射(she)機(ji)與(yu)接(jie)收(shou)機(ji)之(zhi)間(jian)的(de)通(tong)訊(xun)協(xie)議(yi)。它(ta)還(hai)規(gui)定(ding),從(cong)發(fa)射(she)機(ji)到(dao)接(jie)收(shou)機(ji)的(de)最(zui)大(da)功(gong)率(lv)為(wei)5瓦,發射線圈與接收線圈之間的典型距離為5毫米。基本係統示意圖如圖5所示。WPC標準下的任何裝置均可與其他符合WPC標準的任何裝置一起使用。在Qi標準V1.1中,增加了異物偵測(FOD)功能。

圖5:基本係統。
(1)電力發射機
在WPC標準中,有三種電力發射機類型:引導定位、移動線圈自由定位及線圈矩陣自由定位,如圖6所示。

圖6:三種電力發射機定位類型。
對dui於yu引yin導dao定ding位wei,接jie收shou線xian圈quan中zhong心xin必bi須xu與yu發fa射she線xian圈quan中zhong心xin對dui準zhun。否fou則ze,傳chuan輸shu電dian源yuan和he傳chuan輸shu效xiao率lv均jun將jiang顯xian著zhu降jiang低di。因yin此ci,發fa射she線xian圈quan和he接jie收shou線xian圈quan使shi用yong兩liang個ge磁ci體ti對dui齊qi並bing彙hui聚ju磁ci力li線xian。
自(zi)由(you)定(ding)位(wei)發(fa)射(she)機(ji)是(shi)一(yi)款(kuan)很(hen)好(hao)的(de)發(fa)射(she)機(ji)類(lei)型(xing),因(yin)為(wei)它(ta)可(ke)讓(rang)一(yi)般(ban)使(shi)用(yong)者(zhe)的(de)無(wu)線(xian)充(chong)電(dian)更(geng)加(jia)便(bian)捷(jie)。有(you)兩(liang)個(ge)子(zi)類(lei)型(xing)來(lai)實(shi)現(xian)這(zhe)一(yi)功(gong)能(neng)。一(yi)個(ge)是(shi)移(yi)動(dong)發(fa)射(she)線(xian)圈(quan),另(ling)一(yi)個(ge)是(shi)發(fa)射(she)線(xian)圈(quan)矩(ju)陣(zhen)。在(zai)第(di)一(yi)類(lei)型(xing)中(zhong),當(dang)接(jie)收(shou)機(ji)位(wei)於(yu)發(fa)射(she)機(ji)表(biao)麵(mian)上(shang)時(shi),發(fa)射(she)機(ji)移(yi)動(dong)線(xian)圈(quan)以(yi)對(dui)齊(qi)接(jie)收(shou)線(xian)圈(quan),然(ran)後(hou)進(jin)行(xing)電(dian)力(li)傳(chuan)輸(shu)。在(zai)第(di)二(er)類(lei)型(xing)中(zhong),發(fa)射(she)線(xian)圈(quan)由(you)線(xian)圈(quan)矩(ju)陣(zhen)形(xing)成(cheng)。當(dang)接(jie)收(shou)機(ji)位(wei)於(yu)發(fa)射(she)機(ji)上(shang)時(shi),接(jie)收(shou)線(xian)圈(quan)周(zhou)圍(wei)的(de)一(yi)個(ge)或(huo)多(duo)個(ge)線(xian)圈(quan)將(jiang)被(bei)啟(qi)動(dong),並(bing)將(jiang)電(dian)力(li)傳(chuan)輸(shu)到(dao)接(jie)收(shou)機(ji)。
電力發射機有一個直流-交流區塊。例如,一個半橋被連接到一個串聯諧振電路。對於不同的發射機,Cp和Lp參數及輸入電壓會有所不同。直流-交流切換開關的操作頻率在110 KHz時正常,但有可能會變化至205 KHz以進行電力控製。諧振回路也用於優化電力傳輸。
電力發射機還有一個通訊區塊,用於解調從接收機收到的電力傳輸控製信息。該通訊區塊由電壓或電流感測電路形成。
(2)電力接收機
電力接收機通常是一款便攜設備,其硬件設計比發射機更加簡化。它通常包括四個部份:電力拾取區塊、全橋整流電路、電壓調節區塊和通訊控製區塊。
電力拾取區塊由包含一個接收線圈(Ls)和一個串聯諧振電容(Cs)的串聯諧振電路組成。諧振回路用於優化電力接收。平行電容提供一個平行諧振電路,用於偵測接收機。
全橋整流器用作交流至直流轉換電路,該電路將接收到的波轉換成穩定電壓。電壓調節區塊是一條直流-直流電路,用於將接收到的較高電壓轉換為負載所需的電壓。通訊控製區塊用於到電力發射機的傳輸電力控製信息(例如,控製錯誤包),以調整電力發射機的電力傳輸操作點或其他狀態。
(3)通訊
根據WPC標準,發射機和接收機之間的通訊是單向通訊。通訊方向是從接收機到發射機。電力接收機通過變更阻抗(例如,電阻或電容)tiaozhenggonglvliang,cicaozuohuiyinqifashexianquandianliuhuoxianquandianyadezhouqixingbianhua。fashejikezhenceyongyujietiaotongxunxinxidexianquandianliuhuoxianquandianyadebianhua。gaibiaozhundingyileluojigaodianpingheluojididianpingzhijianfashexianquandianliuhuoxianquandianyazhenfudezuixiaozhenfucha,fenbiewei15mA和200mV.
WPC標準還定義了通訊中的數據格式。在每次數據傳輸中,將傳輸一個數據報。數據報由一個位同步前導碼(>11位1)、一個表示數據報類型的字節訊息頭、訊息信息(1…… 27個字節)和一個總合檢查字節組成。一個數據字節是一個11位串行格式。此格式由1位起始位、8個數據位、1個奇偶校驗位和1位停止字節成。起始位是一個0.數據位的順序是最低位最先。奇偶校驗位是奇數,停止位是一個1.數據位按差分雙相代碼格式編碼,且其速度為2Kbps.數據格式如圖7所示。

圖7:數據格式。
(4)電力傳輸係統控製從電力發射機到電力接收機的電力傳輸包括WPC標準所定義的四個階段,分別是選擇階段、Ping測試階段、識別和組態階段以及電力傳輸階段。各階段之間的關係如圖8所示。

圖8:係統控製流程。
[page] A.選擇
在zai此ci階jie段duan中zhong,電dian力li發fa射she機ji檢jian測ce其qi表biao麵mian物wu體ti的de放fang置zhi或huo移yi除chu情qing況kuang。電dian力li發fa射she機ji可ke通tong過guo多duo種zhong方fang法fa實shi現xian這zhe個ge功gong能neng。如ru果guo電dian力li發fa射she機ji偵zhen測ce到dao一yi個ge或huo多duo個ge物wu體ti,它ta將jiang嚐chang試shi定ding位wei這zhe些xie物wu體ti並bing區qu分fen潛qian在zai的de電dian力li接jie收shou機ji和he異yi物wu。在zai一yi些xie情qing況kuang下xia,電dian力li發fa射she機ji應ying嚐chang試shi選xuan擇ze一yi個ge原yuan電dian池chi和he一yi個ge電dian力li接jie收shou機ji,用yong於yu電dian力li傳chuan輸shu。如ru果guo電dian力li發fa射she機ji選xuan擇ze一yi個ge原yuan電dian池chi和he一yi個ge電dian力li接jie收shou機ji,它ta應ying進jin入ruping測試階段。另一方麵,如果電力發射機無法識別潛在的電力接收機或逾時,它將進入操作的待命模式。
B. Ping測試
在ping測試階段,電力發射機應執行一次數字訊號ping測試,檢查潛在的電力接收機是否為電力接收機或該接收機是否需要電力傳輸。因此,電力發射機在65ms的最大時期內在初級線圈提供電力。電力接收機必須在該時間內通過負載調變的方式進行回複。完成ping測試階段後,係統將進入下一階段,即識別和組態階段。如果沒有完成ping測試階段,係統將返回前一階段,即:選擇階段。
C.識別和組態
在識別和組態階段中,電力發射機將識別電力接收機,且電力接收機將傳輸組態信息,如電力接收機的基本裝置標識符、dianlijieshoujiqiwangtigongdaozhengliuqishuchuduandezuidagonglvliangyijitigongdaodianlifashejidezuidagonglvliang。dianlifashejijieshoucixinxi,bingtiaozhenggongzuodian,ranhoujinrudianlichuanshujieduan。ruguodianlifashejibunengcongdianlijieshoujichuzhengquejieshoushibiehezutaixinxi,wulunhezhongyuanyin,rudianlijieshoujikenengmeiyoufasongshujubaohuodianlifashejikenengmeiyoujietiaosuoxuxinxi,dianlifashejidoujiangfanhuidaoqianyijieduan,ji:選擇階段。
D.電力傳輸
在(zai)電(dian)力(li)傳(chuan)輸(shu)階(jie)段(duan),電(dian)力(li)發(fa)射(she)機(ji)將(jiang)向(xiang)電(dian)力(li)接(jie)收(shou)機(ji)提(ti)供(gong)連(lian)續(xu)電(dian)力(li),並(bing)調(tiao)整(zheng)電(dian)力(li)傳(chuan)輸(shu)工(gong)作(zuo)點(dian),以(yi)響(xiang)應(ying)從(cong)電(dian)力(li)接(jie)收(shou)機(ji)收(shou)到(dao)的(de)控(kong)製(zhi)數(shu)據(ju)。在(zai)電(dian)力(li)傳(chuan)輸(shu)階(jie)段(duan),電(dian)力(li)發(fa)射(she)機(ji)應(ying)監(jian)測(ce)電(dian)力(li)傳(chuan)輸(shu)參(can)數(shu)。如(ru)果(guo)任(ren)何(he)參(can)數(shu)超(chao)出(chu)限(xian)定(ding)值(zhi),它(ta)將(jiang)中(zhong)斷(duan)電(dian)力(li)傳(chuan)輸(shu)並(bing)返(fan)回(hui)到(dao)選(xuan)擇(ze)階(jie)段(duan)。最(zui)後(hou),電(dian)力(li)發(fa)射(she)機(ji)從(cong)電(dian)力(li)接(jie)收(shou)機(ji)處(chu)收(shou)到(dao)結(jie)束(shu)傳(chuan)輸(shu)包(bao)時(shi)將(jiang)結(jie)束(shu)電(dian)力(li)傳(chuan)輸(shu)。例(li)如(ru),當(dang)電(dian)池(chi)充(chong)滿(man)時(shi),電(dian)力(li)接(jie)收(shou)機(ji)不(bu)需(xu)要(yao)再(zai)對(dui)電(dian)池(chi)充(chong)電(dian)。此(ci)時(shi),它(ta)應(ying)發(fa)送(song)結(jie)束(shu)電(dian)力(li)傳(chuan)輸(shu)包(bao)信(xin)息(xi)到(dao)電(dian)力(li)發(fa)射(she)機(ji),以(yi)結(jie)束(shu)電(dian)力(li)傳(chuan)輸(shu)。然(ran)後(hou),係(xi)統(tong)將(jiang)返(fan)回(hui)到(dao)選(xuan)擇(ze)階(jie)段(duan)。係(xi)統(tong)將(jiang)保(bao)持(chi)在(zai)前(qian)三(san)個(ge)階(jie)段(duan),直(zhi)到(dao)新(xin)的(de)電(dian)力(li)接(jie)收(shou)機(ji)放(fang)置(zhi)於(yu)電(dian)力(li)發(fa)射(she)機(ji)上(shang)或(huo)組(zu)態(tai)信(xin)息(xi)變(bian)更(geng)。
分立式無線充電器解決方案
我們可以使用一些分立式裝置輕鬆設計出符合上述Qi標準的無線充電器係統。圖9顯示了無線充電器分立式解決方案之一。

圖9.分立式無線充電器解決方案。
在發射機側,微控製器單元(MCU)用於控製整個發射機的功能。該MCU產生一個脈寬調變(PWM)波來驅動閘極驅動器。PWM的頻率和占空比由MCU控製。MCU根據從接收機收到的錯誤控製包控製這兩個參數。FAN73932是一款半橋閘極驅動器,它把收到的矩形波轉換成兩個非重迭訊號,以驅動低端和高端MOSFET產品。直流-交流功能通過該裝置和兩個N信道MOSFET產(chan)品(pin)實(shi)現(xian)。發(fa)射(she)線(xian)圈(quan)由(you)交(jiao)流(liu)波(bo)驅(qu)動(dong)。串(chuan)聯(lian)電(dian)容(rong)用(yong)於(yu)形(xing)成(cheng)一(yi)個(ge)帶(dai)有(you)發(fa)射(she)線(xian)圈(quan)的(de)串(chuan)聯(lian)諧(xie)振(zhen)電(dian)路(lu),以(yi)實(shi)現(xian)更(geng)好(hao)的(de)電(dian)力(li)傳(chuan)輸(shu)性(xing)能(neng)。可(ke)通(tong)過(guo)這(zhe)種(zhong)方(fang)式(shi)傳(chuan)輸(shu)電(dian)力(li)。
FAN8303是一個為MCU電源提供5V電壓的直流-直流轉換器。其他部分用於通訊。電容用於捕捉來自線圈的電壓,並將該電壓送到MCU ADC,以獲取通訊信息。我們也可使用一個感應電阻和一個電壓放大器,以檢查發射線圈的電流變化。
在接收機側,也使用一個MCU來lai控kong製zhi接jie收shou機ji的de所suo有you動dong作zuo。帶dai有you接jie收shou線xian圈quan的de串chuan聯lian諧xie振zhen電dian路lu由you一yi個ge電dian容rong形xing成cheng。當dang接jie收shou線xian圈quan位wei於yu發fa射she線xian圈quan上shang時shi,可ke以yi在zai該gai串chuan聯lian諧xie振zhen電dian路lu末mo端duan獲huo得de交jiao流liu電dian壓ya。交jiao流liu-直流功能通過具有兩個N信道MOSFET產品和兩個二極管的全橋整流器實現。直流電壓在該電路輸出端實現。該電壓可通過穩壓電容實現穩定。此電壓通過直流-直流轉換器(FAN8303)實現轉換,並在FAN8303裝置的輸出端可獲得用於MCU電源的5V穩定電壓。當MCU上電時,它控製兩個MOSFET產品與發射機進行通訊。整個無線係統通過這種方式進行組態。完成正確組態後,MCU將打開輸出開關。輸出電壓也可用於為便攜設備充電。充電電流和輸出電壓由MCU監測,以獲知何時需要結束充電。
在軟件方麵,圖10顯示了無線充電器發射機和接收機的簡要流程圖。

圖10:軟件流程圖。
通過這種無線充電器係統,係統可獲得效率約為69%的5W充電電源。
相關閱讀:
深度挖掘無線充電,這些盲點你必須知道!
無線充電要想普及,必須攻克的“三大難點”
無線充電各種原理和方案的比較
特別推薦
- 噪聲中提取真值!瑞盟科技推出MSA2240電流檢測芯片賦能多元高端測量場景
- 10MHz高頻運行!氮矽科技發布集成驅動GaN芯片,助力電源能效再攀新高
- 失真度僅0.002%!力芯微推出超低內阻、超低失真4PST模擬開關
- 一“芯”雙電!聖邦微電子發布雙輸出電源芯片,簡化AFE與音頻設計
- 一機適配萬端:金升陽推出1200W可編程電源,賦能高端裝備製造
技術文章更多>>
- 築基AI4S:摩爾線程全功能GPU加速中國生命科學自主生態
- 一秒檢測,成本降至萬分之一,光引科技把幾十萬的台式光譜儀“搬”到了手腕上
- AI服務器電源機櫃Power Rack HVDC MW級測試方案
- 突破工藝邊界,奎芯科技LPDDR5X IP矽驗證通過,速率達9600Mbps
- 通過直接、準確、自動測量超低範圍的氯殘留來推動反滲透膜保護
技術白皮書下載更多>>
- 車規與基於V2X的車輛協同主動避撞技術展望
- 數字隔離助力新能源汽車安全隔離的新挑戰
- 汽車模塊拋負載的解決方案
- 車用連接器的安全創新應用
- Melexis Actuators Business Unit
- Position / Current Sensors - Triaxis Hall
熱門搜索
微波功率管
微波開關
微波連接器
微波器件
微波三極管
微波振蕩器
微電機
微調電容
微動開關
微蜂窩
位置傳感器
溫度保險絲
溫度傳感器
溫控開關
溫控可控矽
聞泰
穩壓電源
穩壓二極管
穩壓管
無焊端子
無線充電
無線監控
無源濾波器
五金工具
物聯網
顯示模塊
顯微鏡結構
線圈
線繞電位器
線繞電阻





