新能源電站的無功配置計算與分析
發布時間:2015-01-28 責任編輯:xueqi
【導讀】本文依據光伏發電站無功補償技術規範及風電場接入電力係統技術規定,分別介紹了進行光伏電站和風電場的無功配置計算與分析。
一、光伏電站的無功配置計算
一般需要依據《GB 19964-2012 光伏發電站接入電力係統技術規定》,《GBT 29321-2012 光伏發電站無功補償技術規範》進行光伏電站的無功配置分析。
光guang伏fu電dian站zhan逆ni變bian器qi可ke發fa出chu無wu功gong功gong率lv,但dan考kao慮lv電dian站zhan能neng為wei係xi統tong提ti供gong一yi定ding的de無wu功gong儲chu備bei容rong量liang,需xu配pei置zhi無wu功gong補bu償chang裝zhuang置zhi。無wu功gong補bu償chang容rong量liang應ying結jie合he實shi際ji接jie入ru電dian網wang情qing況kuang確que定ding,其qi配pei置zhi的de容rong性xing無wu功gong補bu償chang容rong量liang,應ying為wei光guang伏fu電dian站zhan額e定ding出chu力li時shi升sheng壓ya變壓器無功損耗、線路無功損耗及線路充電功率之和,其配置的感性無功補償容量應能夠補償全部線路的充電功率。
圖1:荒漠電站的係統拓撲
一般的,升壓變無功損耗所占總無功損耗的比例接近70% ,送出線路中的架空線產生的無功損耗占總無功損耗22%以上,光伏電站全部電纜線路產生的無功損耗所占比例約為8%;另外,電站的感性無功需求遠小於容性無功需求。
對於SVG這樣的無功補償設備,可以實現額定感性到額定容性的連續調節,因此可以以容性無功需求量來配置SVG容量。
為減少計算的工作量,可進行近似計算,其無功補償容量隻需考慮升壓變無功損耗,再按照係數進行折算即可。

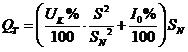
變壓器無功損耗計算公式為:

式中,QT 為變壓器無功損耗,kvar;UK %為變壓器短路電壓百分數,I0%為變壓器空載電流百分數;S為變壓器的視在功率,kVA;SN 為變壓器額定容量kVA。一般的,升壓變的短路電壓百分值為6.7%,空載電流百分值為0.4%。
按照此參數,升壓變的無功需求約為電站總容量的7%,整個電站無功需求為10%;若光伏電站並網工程采用一次升壓,即升壓至35 kV並網,其無功補償容量可按光伏電站總容量的10%配置。
kaolvguangfudianzhanrongliangduijierudianwangdianyadengjideyaoqiujishijibingwangdianduidianyadengjidexianzhi,guangfudianzhanbingwanggongchengkenengxuyaoliangcishengya,ruoguangfudianzhanjieruxitongdianyadengjiwei110 kV,則還需進行35 kV/110 kV升壓方可接入電網,一般35 kV/110 kV升壓變短路電壓百分值為10.5%,空載電流百分值為0.67%,因此若采用兩次升壓,其無功補償容量可按光伏電站總容量的20%配置。
二、風電場的無功配置計算
一般需要依據《GBT_19963-2011風電場接入電力係統技術規定》進行風電場的無功配置分析。

風電場的無功損耗主要由4部分構成:
1)箱式變壓器:箱式變壓器將風機的電壓由690V升壓到1OkV或35kV,一台風機對應一台箱式變壓器。
2)集電線路:風機的電力經過箱式變壓器升壓後通過集電線路將電力送至風電場升壓站。
3)升壓變壓器:風電場升壓站內升壓變壓器將集電線路送來的電力升壓後送出。
4)風電場送出線路:升壓變壓器將風電電力升壓後經送電線路接入電力係統。
同樣的,上述無功損耗中變壓器損耗占比最大,計算公式相同。一般的箱式變壓器短路電壓百分值為4.5%,空載電流百分值為0.9%,無功配置容量應在5.4%以上。升壓變壓器短路電壓百分值為9%,空載電流百分值為0.19%,無功配置容量應在9.2%以上。再加上集電線路和送出線路的無功損耗,整個風電場的無功配置應在20%以上。
所以風電場的無功配置容量一般按照電站容量的20%比例來配置。
特別推薦
- 噪聲中提取真值!瑞盟科技推出MSA2240電流檢測芯片賦能多元高端測量場景
- 10MHz高頻運行!氮矽科技發布集成驅動GaN芯片,助力電源能效再攀新高
- 失真度僅0.002%!力芯微推出超低內阻、超低失真4PST模擬開關
- 一“芯”雙電!聖邦微電子發布雙輸出電源芯片,簡化AFE與音頻設計
- 一機適配萬端:金升陽推出1200W可編程電源,賦能高端裝備製造
技術文章更多>>
- 三星上演罕見對峙:工會集會討薪,股東隔街抗議
- 摩爾線程實現DeepSeek-V4“Day-0”支持,國產GPU適配再提速
- 築牢安全防線:智能駕駛邁向規模化應用的關鍵挑戰與破局之道
- GPT-Image 2:99%文字準確率,AI生圖告別“鬼畫符”
- 機器人馬拉鬆的勝負手:藏在主板角落裏的“時鍾戰爭”
技術白皮書下載更多>>
- 車規與基於V2X的車輛協同主動避撞技術展望
- 數字隔離助力新能源汽車安全隔離的新挑戰
- 汽車模塊拋負載的解決方案
- 車用連接器的安全創新應用
- Melexis Actuators Business Unit
- Position / Current Sensors - Triaxis Hall
熱門搜索
鑒頻器
江蘇商絡
交流電機
腳踏開關
接觸器接線
接近開關
接口IC
介質電容
介質諧振器
金屬膜電阻
晶體濾波器
晶體諧振器
晶體振蕩器
晶閘管
精密電阻
精密工具
景佑能源
聚合物電容
君耀電子
開發工具
開關
開關電源
開關電源電路
開關二極管
開關三極管
科通
可變電容
可調電感
可控矽
空心線圈

