可借鑒的鋰電池的電流檢測電路設計
發布時間:2014-09-16 責任編輯:mrcoocom
【導讀】本文提出了一種適用於鋰電池的電流監測電路,通過在鋰電池供電環路引入靈敏電阻對電流進行采樣,並使用時鍾控製開關電容運算放大器和高速比較器,實現從模擬信號到數字信號的轉換。在處理器中進行精確電流量的運算,能對過流、短路電流進行保護,也能用於精確計算電池阻抗、電量等相關參數。電路基於 0.18 m CMOS工藝,電源電壓為2.5 V。對所設計電路進行了仿真驗證。結果表明,該電路在- 40℃~+125℃應用環境溫度範圍內能夠實現對電流的采樣和編碼功能,並且能對充放電動作進行判斷。
鋰電池作為新型清潔、可再生的二次能源,需精確監測其電流、電壓及溫度等參數,並做好相應的保護電路。對於手持設備而言,更需要追求高精度、低功耗,從而降低對鋰電池的“過度”使用,延長使用壽命。
本文設計的電路在鋰電池供電環路中引入靈敏電阻對電流進行監測,給係統提供充放電提示,同時可用於電量計算以及保護控製。
本文將詳細闡述電流監測係統原理以及內部電路結構,並給出H-spice仿真結果及相關結論。
1 本文所設計的電流監測電路
模/數轉換器(ADC)由采樣、量化和編碼構成。本文設計的鋰電池電流監測係統框圖如圖1所示。其中,電容和AMP放大器組成開關電容采樣電路,C0MP高速比較器對數據進行量化,處理器對電路進行數字邏輯控製及編碼。偏置電路提供AMP放大器自啟動支路並產生Vbe1和Vbe4。時鍾模塊控製係統開關,包括LII、LI2、LI5、LI6、LI38。處理器輸出數字信號Logic Control改變量化電容。

圖1 鋰電池電流監測係統框圖
[page]
1.1 開關電容采樣電路
如圖2所示,通過V+和V-間的靈敏電阻進行采樣;。Vbe1和Vbe4是由BE結產生的電壓基準;C3容值用n(2的倍數)表示(C為單位電容值,C1=C2=1C,C3=C4=nC,C5=8C);時鍾控製為高時開關導通,為低時開關斷開。采樣電路的5個狀態如圖3所示。

VOUT = VB = Vbe1 (1)
(2)LI1、LI2、LI38、LI5、LI6=10001,開關切換後狀態2保持狀態1,則VOUT = Vbe1。
(3)LI1、LI2、LI38、LI5、LI=00000,開關全斷開,保持上一狀態, VOUT = Vbe1。
(4)LI1、LI2、LI38、LI5、LI6=01010,V+、 V-切換,Vbe1、Vbe4也切換。根據C1、C3電荷守恒定律得:
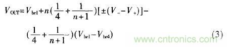
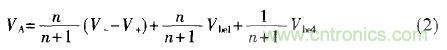
由運放特性可知VB =VA 。已知 VA、VB 可以得到VC1 = VA - Vbe4, VC2 = VB - Vbe1, VC3 = VA - V-, VC4 = VB - V+, VC5 = VB - VOUT, 依據C2、 、C5電荷守恒定律得:

其中, V- - V+的正負由互不交疊時鍾LI1、LI2控製,當LI1在狀態l為高時, V- - V+取正; 當LI1在狀態1為低時,V- - V+取負。每隔一定周期控製LI1、LI2切換,V+、V-的接法可用於實時監測電池充放電狀態。根據式(3)和圖1可知,VOUT與Vbe1通過比較器比較將產生△V 的差值,這時改變采樣並聯電容n的值可調節△V ,起到量化作用。
(5)LI1、LI2、LI38、LI5、LI6=00000,所有開關斷開, oUr保持上一狀態。
[page]
1.2 AMP放大器電路
AMP放大器電路如圖4所示,主要包括:(1)自偏置電路,由 MPI3~MPI9、QPI1和QPI4組成;(2)兩級運放,包括MPI26、MPI27組成的全差分放大器、MNI25共源放大器和MNI24、 CIl5組成的米勒補償。其中,LI12與LI17為差分輸入;LI26為複位信號;H模塊為數字上電電路;Vbe1與Vbe4為基準輸出;LI22為運算輸出端。

圖4 AMP放大器電路圖
自偏置電路有使能信號,若工作異常可直接關斷電路。當LI26為低時,MPI9關斷,MPI5和MPI6導通,電路正常工作,MPI4、MPI6和MPI8構成啟動支路,則:
VCC≥2 VMPgs +Vbe (4)
其中,VMPgs是PMOS的Vth,Vbe是二極管開啟電壓。隻要VCC滿足式(4),電路就能正常啟動。但在設計中需考慮襯偏效應對閾值的影響,VCC比計算值略高。QPI1和QPI4發射極麵積比為1:4,由此可得Vbe1與Vbe4差值為VTln4。當LI26為高時,MPI9導通,MPI5和MPI6關斷,電路被關斷。
AMP放大器帶有米勒補償,交流小信號等效電路圖如圖5所示。其中,gm1、gm2 分別為第一級和第二級跨導。增益表示為:

圖5 AMP放大器交流小信號等效圖
其中,Rout1、Rout2分別為第一級和第二級的輸出電阻,且Rout1是Rds_MPI27、Rds_MNI26的並聯,Rout2是Rds_MPI11、Rds_MNI25的並聯,C1為等效負載電容。為了使係統穩定,需對整個環路的零極點進行分析:

1.3 COMP高速比較器電路
如圖6所示, 電路由MN1~MN6和MP1~MP4組成。IN1與IN2為輸入端;OUT1與OUT2為輸出端;LG99由數字時鍾控製,實現複位功能。

圖6 COMP高速比較器電路
電路采用正反饋技術,速度得到大大提高。當LG99為低時,MP3、MP4導通,MN5、MN6關斷電路,OUT1、OUT2抬高,後端觸發器處於保持狀 態。而LG99為高時,MP3、MP4關斷,MN5、MN6導通。此時若IN1大於IN2,則V 減小,使OUT1減小;OUT1作用於MP2與MN2,使OUT2被抬高;而OUT2作用於MP1與MN1,使OUT1被拉低,形成正反饋。反之亦然,隻 要IN1與IN2之間存在壓差都會在輸出上快速響應。
[page]
2 仿真結果與分析
本文采用0.18μm CMOS工藝,使用H-spice對數字時鍾、AMP運算放大器、偏置電路和高速比較器進行了仿真驗證。
圖 7為AMP放大器交流小信號仿真數據,其中複位信號LI26為低,在LI12上加入AC=1的交流小信號。對-40℃ 、25 ℃、125 ℃ 3種溫度進行AC掃描,可知:(1)當增益降為O時,相位裕度仍保持90?以上;(2)在不同溫度下,增益與相位裕度受影響不大,係統處於穩定態。

圖7 不同溫度下放大器增益與相位裕度曲線
圖 8為COMP高速比較器靜態工作點仿真數據,其中LG99為複位信號,IN1為1.200 V,對IN2在1.200 V~1.210 V範圍進行瞬態掃描。若IN1=IN2,則輸出應高於數字觸發電平,以保證時序的正確性。仿真後可知:(1)電路存在失調電壓,IN2增加時,有少量輸出 與數字邏輯不符;(2)輸入相等時,輸出靜態工作點為1.5 V,能保證後端觸發器保持;(3)輸入差值不大於5 mV就能很快將輸出置高或置低。

圖8 高速比較器靜態工作點仿真曲線
圖 9為采樣電路整仿數據,SRP、SRN為鋰電池電流采樣端,典型差值範圍為-125 mV~125 mV;LI22是運放輸出。輸入差值從125mV變化到5mV再跳變到-125mV,采樣端電壓變化所對應的輸出會依據信號的大小進行量化,且通過輸出的 高gao低di來lai判pan斷duan工gong作zuo在zai充chong電dian還hai是shi放fang電dian狀zhuang態tai。但dan切qie換huan開kai關guan瞬shun間jian可ke能neng產chan生sheng時shi鍾zhong饋kui通tong效xiao應ying,該gai電dian路lu增zeng大da了le運yun放fang輸shu入ru端duan的de寄ji生sheng電dian容rong,有you效xiao減jian小xiao了le頻pin繁fan切qie換huan開kai關guan對dui輸shu出chu的de影ying響xiang。

圖9 采樣電路整仿曲線
采樣電路整體仿真並不完整,當SRP與SRN的差值實時變化時,采樣電路跟隨變化的能力如圖10所示。固定SRN 的電壓為0V,在SRP上加入正弦波信號進行掃描,從圖中可知放大器輸出會跟隨SRP的變化而變化,采樣的分辨率能夠達到要求。
本 wenshejileyizhongshiyongyulidianchidedianliujiancedianlu,nengjingquejiancedianliujichongfangdianzhuangtai。zhexiexinxikeyongyukongzhibaohudianludeqidong,qienengyongyujingquejisuandianchizukang、電量等參數。電路 添加了使能控製,當工作異常時可關斷電路。並且通過偏置的設置可調節MPI3、MPI4、MPI7、MPI8管(如圖4所示)的寬長比,從而獲得更低功 耗,提高電池使用壽命。

圖10 采樣電路跟隨功能仿真曲線
特別推薦
- 噪聲中提取真值!瑞盟科技推出MSA2240電流檢測芯片賦能多元高端測量場景
- 10MHz高頻運行!氮矽科技發布集成驅動GaN芯片,助力電源能效再攀新高
- 失真度僅0.002%!力芯微推出超低內阻、超低失真4PST模擬開關
- 一“芯”雙電!聖邦微電子發布雙輸出電源芯片,簡化AFE與音頻設計
- 一機適配萬端:金升陽推出1200W可編程電源,賦能高端裝備製造
技術文章更多>>
- 築基AI4S:摩爾線程全功能GPU加速中國生命科學自主生態
- 一秒檢測,成本降至萬分之一,光引科技把幾十萬的台式光譜儀“搬”到了手腕上
- AI服務器電源機櫃Power Rack HVDC MW級測試方案
- 突破工藝邊界,奎芯科技LPDDR5X IP矽驗證通過,速率達9600Mbps
- 通過直接、準確、自動測量超低範圍的氯殘留來推動反滲透膜保護
技術白皮書下載更多>>
- 車規與基於V2X的車輛協同主動避撞技術展望
- 數字隔離助力新能源汽車安全隔離的新挑戰
- 汽車模塊拋負載的解決方案
- 車用連接器的安全創新應用
- Melexis Actuators Business Unit
- Position / Current Sensors - Triaxis Hall
熱門搜索
微波功率管
微波開關
微波連接器
微波器件
微波三極管
微波振蕩器
微電機
微調電容
微動開關
微蜂窩
位置傳感器
溫度保險絲
溫度傳感器
溫控開關
溫控可控矽
聞泰
穩壓電源
穩壓二極管
穩壓管
無焊端子
無線充電
無線監控
無源濾波器
五金工具
物聯網
顯示模塊
顯微鏡結構
線圈
線繞電位器
線繞電阻




