原邊反饋AC/DC控製芯片中的關鍵技術
發布時間:2012-11-30 責任編輯:simonyang
原邊反饋方式的AC/DC控製技術是最近10年間發展起來的新型AC/DC控製技術,與傳統的副邊反饋的光耦加431dejiegouxiangbi,qizuidadeyoushizaiyushengqulezhelianggexinpianyijiyuzhipeihegongzuodeyizuyuanqijian,zheyangjiujieshenglexitongbanshangdekongjian,jiangdilechengbenbingqietigaolexitongdekekaoxing。zaishoujichongdianqidengchengbenyalijiaodadeshichang,yijiLED驅動等對體積要求很高的市場具有廣闊的應用前景。
在省去了這些元器件之後,為了實現高精度的恒流/恒壓(CC/CV)特性,必然要采用新的技術來監控負載、電源和溫度的實時變化以及元器件的同批次容差,這就涉及到初級(原邊)調節技術、變壓器容差補償、線纜補償和EMI優化技術。
初級調節的原理是通過精確采樣輔助繞組(NAUX)的電壓變化來檢測負載變化的信息。當控製器將MOS管打開時,變壓器初級繞組電流ip從0線性上升到ipeak,公式為
![]()
此時能量存儲在初級繞組中,當控製器將MOS管關斷後,能量通過變壓器傳遞到次級繞組,並經過整流濾波送到輸出端VO。在此期間,輸出電壓VO和二極管的正向電壓VF被反射到輔助繞組NAUX,輔助繞組NAUX上的電壓在去磁開始時刻可由公式
![]()
表示,其中VF是輸出整流二極管的正向導通壓降,在去磁結束時刻可由公式
![]()
表(biao)示(shi),由(you)此(ci)可(ke)知(zhi),在(zai)去(qu)磁(ci)結(jie)束(shu)時(shi)間(jian)點(dian),次(ci)級(ji)繞(rao)組(zu)輸(shu)出(chu)電(dian)壓(ya)與(yu)輔(fu)助(zhu)繞(rao)組(zu)具(ju)有(you)線(xian)性(xing)關(guan)係(xi),隻(zhi)要(yao)采(cai)樣(yang)此(ci)點(dian)的(de)輔(fu)助(zhu)繞(rao)組(zu)的(de)電(dian)壓(ya),並(bing)形(xing)成(cheng)由(you)精(jing)確(que)參(can)考(kao)電(dian)壓(ya)箝(qian)位(wei)的(de)誤(wu)差(cha)放(fang)大(da)器(qi)的(de)環(huan)路(lu)反(fan)饋(kui),就(jiu)可(ke)以(yi)穩(wen)定(ding)輸(shu)出(chu)電(dian)壓(ya)VO。這時的輸出電流IO由公式

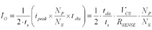
表示,其中VCS是CS腳上的電壓,其他參數意義如圖1所示。這是恒壓(CV)模式的工作原理。

圖1原邊控製應用框圖及主要節點波形圖。
當負載電流超過電流極限時,負載電流會被箝位在極限電流值,此時係統就進入恒流(CC)模式,這裏對IO的公式需要加一個限定條件即

即去磁時間與開關周期的比例保持一個常數,這樣在CC模式下的輸出電流公式變成了
![]()
其中C1是一個小於0.5的常數,VCSLMT是CS引腳限壓極限值。
在(zai)使(shi)得(de)去(qu)磁(ci)時(shi)間(jian)與(yu)開(kai)關(guan)周(zhou)期(qi)的(de)比(bi)例(li)保(bao)持(chi)一(yi)個(ge)常(chang)數(shu)後(hou),輸(shu)出(chu)的(de)電(dian)壓(ya)和(he)電(dian)流(liu)就(jiu)都(dou)與(yu)變(bian)壓(ya)器(qi)的(de)電(dian)感(gan)值(zhi)無(wu)關(guan)了(le),因(yin)此(ci)在(zai)實(shi)用(yong)層(ceng)麵(mian)上(shang)降(jiang)低(di)了(le)應(ying)用(yong)方(fang)案(an)對(dui)同(tong)批(pi)次(ci)電(dian)感(gan)感(gan)值(zhi)一(yi)致(zhi)性(xing)的(de)要(yao)求(qiu),從(cong)而(er)降(jiang)低(di)了(le)大(da)規(gui)模(mo)生(sheng)產(chan)加(jia)工(gong)的(de)成(cheng)本(ben)。
與此同時,原邊反饋係統還會麵臨線纜壓降的問題。因為係統不是直接采樣輸出端(次級繞組整流後)dedianya,ershitongguocaiyangfuzhuraozudequcijieshudiandedianyalaikongzhihuanlufankuide,yinci,dangshuchuxianjiaochanghuozhexianjingjiaoxishi,zaifuzaixianshanghuicunzaijiaodadeneizu(例如在充電器方案中)。在負載電流變化較大的情況下,輸出線的末端電壓也會有較大變化。在CV模式下,這種變化在某些場合是不能接受的,因此,原邊反饋驅動芯片還應該提供對線纜壓降補償的功能,這個功能通常是通過在INV腳上拉一個小電流來實現的。通過預估補償值來調節連接在INV腳上的分壓電阻的總阻值(分壓比例不變),從而補償不同負載線型和負載大小帶來的線纜壓降,以維持CV曲線的水平性(如圖2中的CV曲線)。

圖2原邊反饋AC-DC控製器的工作模式示意圖。
此外,一款好的原邊反饋AC-DC控製器還應該具備優秀的EMI特te性xing,對dui於yu傳chuan導dao和he輻fu射she這zhe兩liang方fang麵mian的de幹gan擾rao都dou應ying該gai盡jin可ke能neng降jiang低di,目mu前qian常chang見jian的de做zuo法fa是shi采cai用yong抖dou頻pin技ji術shu和he驅qu動dong信xin號hao柔rou化hua技ji術shu。抖dou頻pin技ji術shu是shi指zhi在zai開kai關guan頻pin率lv的de基ji頻pin基ji礎chu上shang引yin入ru一yi個ge小xiao幅fu度du的de頻pin率lv變bian化hua值zhi,以yi此ci來lai降jiang低di在zai開kai關guan頻pin率lv點dian上shang的de頻pin譜pu能neng量liang強qiang度du,優you化huaEMI特性。而驅動信號柔化技術則是指將驅動MOS管柵極的驅動信號的開啟沿(上升沿)變得比較平滑,以減小MOS管開啟瞬間的能量傳導和輻射,從而進一步優化EMI特性。
芯聯半導體推出的CL1100就是一款具備初級(原邊)調節技術、變壓器容差補償、線纜補償和EMI優化技術的原邊反饋AC-DC控製器,並且具有多種保護功能,例如軟啟動、逐周期的過流保護(OCP)、CS采樣端前沿消隱(LEB)、以及過壓保護(OVP)和欠壓保護(UVLO)。實測的CL1100的恒壓/恒流特性曲線如圖3所示,該芯片可將恒壓/恒流精度都控製在±3%之內。

總結
隨著小功率隔離AC-DC應用向更低成本和更小體積的趨勢發展,原邊反饋方式的AC-DC控製芯片應運而生。為了滿足高精度的恒流和恒壓應用要求,原邊反饋控製芯片采用了初級(原邊)調節技術、變壓器容差補償、線纜補償和EMI優化技術。這些技術的采用保證了原邊反饋方式的AC-DC控kong製zhi芯xin片pian對dui於yu應ying用yong電dian源yuan範fan圍wei,不bu同tong特te性xing的de負fu載zai以yi及ji元yuan器qi件jian批pi次ci容rong差cha都dou具ju有you了le很hen強qiang的de適shi應ying性xing,因yin而er成cheng為wei一yi種zhong可ke以yi廣guang泛fan應ying用yong於yu不bu同tong場chang合he的de控kong製zhi技ji術shu。
- 噪聲中提取真值!瑞盟科技推出MSA2240電流檢測芯片賦能多元高端測量場景
- 10MHz高頻運行!氮矽科技發布集成驅動GaN芯片,助力電源能效再攀新高
- 失真度僅0.002%!力芯微推出超低內阻、超低失真4PST模擬開關
- 一“芯”雙電!聖邦微電子發布雙輸出電源芯片,簡化AFE與音頻設計
- 一機適配萬端:金升陽推出1200W可編程電源,賦能高端裝備製造
- 2026藍牙亞洲大會暨展覽在深啟幕
- 新市場與新場景推動嵌入式係統研發走向統一開發平台
- 維智捷發布中國願景
- 2秒啟動係統 • 資源受限下HMI最優解,米爾RK3506開發板× LVGL Demo演示
- H橋降壓-升壓電路中的交替控製與帶寬優化
- 車規與基於V2X的車輛協同主動避撞技術展望
- 數字隔離助力新能源汽車安全隔離的新挑戰
- 汽車模塊拋負載的解決方案
- 車用連接器的安全創新應用
- Melexis Actuators Business Unit
- Position / Current Sensors - Triaxis Hall





