漏電防火報警係統中連續過載電流調度算法的實現
發布時間:2012-02-17
中心議題:
引言
當今社會高層建築不斷增多,對火災監控、預警和預報係統的需求不斷提高。根據公安部消防局公布的一項統計結果,近年來,中國城市火災發生率呈上升趨勢。一 danfashenghuozai,budanduirendeshengmingcaichanzaochengjidadeweihai,erqiehuiduimeiyigejiatingdailaizainanxingdaji。xiandaijianzhudefazhanpubiandaiyouzhinengxitong,huozaizidongbaojingxitongzhengshishiyingxianzailouyu jianzhuzhinengxitongdepeitaoyingjiansheshi,duihuozailoudianjiankong,jianfuqianquanfangfanzhongdazeren,zaixiandaizhinengjianzhuzhongqizhefeichangzhongyaodeanquanbaozhangzuoyong。zaigongyeheminyongjianzhu、賓館、圖書館、 科研和商業部門,漏電火災自動報警係統已成為必須的裝置。
對過載電流的監控是漏電火災自動報警係統的一個重要組成部分,隨著工業、民用用電量的不斷增加,過載電流引發的事故也在不斷增加,但過載電流不同於漏電, suoyiduiguozaidianliuchuliyuanzeshijibunengyingxianggongyeshengchanheminjianyongdian,youyaoduiguozaisuoyinfadeshigujinxingyufang。benwenzaifenxiguozaidianliutediandejichushang,tichuduifuheguozaidianliusuoyinfade 跳閘的新型調度算法。
1 過載電流分析以及處理方法
在實際工作生活中,引發電流過載的情況複雜,例如電器設備的數量不斷增長引發的緩慢電流過載,也有瞬間達到額定電流的3~7倍,特殊情況下達到10倍引發 dedianliukuaisuguozaiyijidadianliuguozaiqingkuanghuozheduanlu。guozaidianliubuhuilijiweihaidianqishebei,danruguobujiayikongzhi,shijianyuechang,zaixianlushanghennanqidaoleijixiaoyingcongergeidianqishebeidailaiyan 重的破壞,更有可能造成火災事故的發生。
目前對電流過載多采用三段式過載保護特性:比較長延時過載保護、短延時過載保護以及短路保護。
(1)對較長時間延時電流過載的保護方法
長時間延時,過載保護現有基本方法分為:
①基於過載電流長延時的斜波特性,即I2t特性建立的數學表達式:

式中:IL為過載電流值;TL為跳閘動作時間;k1為常數;Ir為電流整定值;tL為長時間動作時間整定值。在式(1)的等號右邊是已知的常量通常用K表 示。根據式(1)keyipanduandangtiaozhadongzuoshijianyufashengguozaidedianliuchengfanbi,yejiushishuodangdianliuguozaideshihou,guozaidianliuzhiyuedanamefashengtiaozhadeshijianjianghuiyueduan,zhezhongtexingtongchangjiao 做反時限特性。這種數學模型是在物理上模擬了斷路器出頭的發熱過程,當熱量累計到一定程序的時候跳閘。
②基於時間常數的指數發熱與散熱模型,數學表達式為:

這種模型的物理特性是模擬電機發熱,並將其作為一個均勻等溫體,根據熱平衡原理:蓄熱+散熱=發熱。式(2)微分方程的解為:

式中:
為電機的穩態升溫;
電機的熱時間常數;τ0為電機的初始溫升。其中P為電機功率,KT為散熱係數,A為散熱體麵積,C為比熱,M為散熱體體積。
為了對時間常數的指數發熱方程進行曲線擬合,上述方程變化為:

式中:x1,x2,x3是數學模型參數,通過實際測量升溫τ和時間t在不同過載情況下的對應個多組數據,采用最小二乘法原理和高斯一牛頓下降法,在一定誤差容限ε下,估算出函數的參數,並以在不同過載情況下的函數計算升溫τ,當升溫達到過載保護要求的時候跳閘。
考kao慮lv到dao自zi動dong合he閘zha的de情qing況kuang,當dang電dian動dong機ji停ting止zhi運yun轉zhuan時shi,電dian機ji散san熱re到dao一yi定ding溫wen度du下xia,要yao求qiu能neng過guo自zi動dong回hui複fu正zheng常chang工gong作zuo,所suo以yi對dui單dan時shi間jian常chang數shu冷leng卻que方fang程cheng同tong樣yang要yao做zuo擬ni合he模mo型xing。 通過冷卻方程
,得到lnτ=lnx1-t/x2然後再進行常量變換得出:

函數參數x通過起始降溫下采集到τ與t的關係,通過最小二乘法擬合直線,采用Matlab的數學工具對多項式回歸分析加以求解。
(2)短延時電流過載的保護方法。針對短延時的電流過載上述兩種方法仍能使用,不過要做一定的修改。在方法①中可以修改k2的值,使其取更小數值,減小跳閘時間;在方法②中可以對采樣電流的速率做修改,使采樣頻率增加這樣熱積累效應加速,達到短時間跳閘的目的。
(3)短路電流的保護方法。在對電流短路的保護中,基本都依據瞬間電流值來判斷,是否應該跳閘,即:實際電流大於短路電流整定值。
上述兩種方法中方法①要對電流平方進行積分運算,當累積的熱量大於常量K時便會跳閘,但由於累積效應,當電流未到達過載電流時也可能出現跳閘,造成低於動 作值的時候誤動作並且在電流不斷變化的情況下,是很難準確控製過載跳閘的時間延時;方法②中對電動機運行整個過程中電機發熱量和將熱量進行連續積分,具有 duirenengdequanjiyigongneng,baozhengzaidianliubuduanbianhuadeqingkuangxia,nengjiaozhunquedetiaozha,danjisuanliangjiada,bingqieshuxuemoxingzhongchuxianzhishuhanshu,duiyuchulisuduyouyaoqiudexitongyingxuanyongchulinengli 強的單片機例如DSP,但(dan)一(yi)些(xie)數(shu)據(ju)處(chu)理(li)速(su)度(du)慢(man)的(de)處(chu)理(li)器(qi)這(zhe)樣(yang)的(de)模(mo)型(xing)將(jiang)明(ming)顯(xian)跳(tiao)閘(zha)滯(zhi)後(hou)。無(wu)論(lun)是(shi)基(ji)於(yu)過(guo)載(zai)電(dian)流(liu)的(de)斜(xie)波(bo)特(te)性(xing)數(shu)學(xue)模(mo)型(xing)還(hai)是(shi)基(ji)於(yu)時(shi)間(jian)常(chang)數(shu)的(de)指(zhi)數(shu)發(fa)熱(re)與(yu)散(san)熱(re) 數shu學xue模mo型xing,它ta們men都dou是shi針zhen對dui一yi類lei電dian器qi設she備bei或huo者zhe專zhuan屬shu一yi種zhong設she備bei,在zai供gong電dian線xian路lu中zhong的de集ji中zhong設she備bei過guo載zai電dian流liu的de控kong製zhi中zhong顯xian然ran不bu能neng等deng同tong的de看kan待dai,傳chuan統tong的de數shu學xue模mo型xing計ji算suan量liang大da,並bing且qie很hen難nan對dui 不同階段過載做有效的處理,對此要建立適合集中設備過載電流控製的方法。
[page]
2 基於AVRmage128的過載電流集中設備過載電流控製實現
由於集中供電係統中用電設備繁多,不可能針對某一類設備製定電流過載模型,對此實際應用中的數學模型必須符合以下幾個要求:由於係統處理事件比較多,必須 綜合考慮處理器的運算處理能力,實時顯示,鍵盤控製等與跳閘脫鉤的精確度的矛盾;運用合理的數學模型,既能反映連續電流過載情況下的熱累加效應,又能對長 時間電流過載和短時間電流過載有區別對待;找尋適當的物理特性介質,是熱累加效應與這種介質存在一定線性關係;模型要符合對過載整定時間硬性要求。
通過以上分析針對脫鉤的精確度,采用合理的定時器中斷進行AD電流數據采集,選擇合適的定時器中斷時間,兼顧運算處理能力等事件;選擇以供電線路導線作為 熱re量liang累lei加jia效xiao應ying的de物wu理li載zai體ti,並bing且qie符fu合he供gong電dian線xian路lu硬ying性xing過guo載zai電dian流liu時shi間jian的de要yao求qiu,在zai不bu同tong電dian流liu過guo載zai段duan中zhong將jiang過guo載zai整zheng定ding時shi間jian分fen為wei若ruo幹gan段duan,進jin而er近jin似si滿man足zu熱re累lei加jia效xiao應ying與yu時shi間jian的de線xian性xing關guan係xi.
3 基於時間的比例因子熱曩加效應算法實現
在漏電防火控製係統中,電流過載跳閘時間表見表1。
現將過載標準1.2In,1.5In,2In,6In分為4個等級,分別為A級、B級、C級、D級,根據上述表格中的電流過載與時間的關係建立如下數學模型:

式中:TA代表A的脫扣時間;1/TA是A事件的比例因子;FA代表事件A是否發生的狀態標誌;A代表時間從事件發生到此刻所經曆的時間間隔,同樣定義適合B,C,D事件。公式可以轉化為:

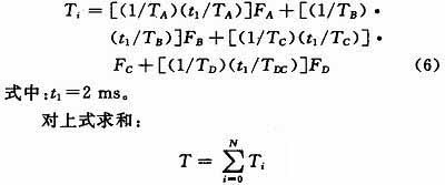
式中:i表示定時計數器的中斷個數;Ti為一次中斷得到的時間總和,當時間累加和大於等於1shi,shuomingshijianyinggaidedaochuli,chulifashengzaidangqianshijiansuozaiquyunei。danconggaishikeyikanchu,bingmeiyoufanyingdianliuguozairexiaoyingjileiyuchangyanshiguozaidianliuheduanyanshiguozaidianliuzaichulifangfashangdebutong,wulunshizai20 min的跳閘還是10 s的de跳tiao閘zha都dou是shi在zai規gui定ding時shi間jian內nei完wan成cheng跳tiao閘zha保bao護hu。為wei此ci,仍reng需xu要yao對dui上shang次ci進jin行xing改gai進jin,為wei了le能neng過guo反fan映ying,熱re積ji累lei效xiao應ying采cai用yong反fan時shi限xian方fang法fa,即ji過guo載zai電dian流liu越yue大da,跳tiao閘zha時shi間jian越yue短duan。為wei了le達da到dao如ru此ci效xiao果guo,將jiang不bu同tong的de電dian流liu過guo載zai下xia跳tiao閘zha時shi間jian進jin行xing細xi分fen,在zai1.2In~1.5In過載段內,將跳閘時間20 min劃分為20,19,18,…,1,同樣將對過載電流段劃分出20等(deng)分(fen)分(fen)別(bie)對(dui)應(ying)各(ge)自(zi)的(de)時(shi)間(jian),同(tong)樣(yang)的(de)方(fang)法(fa)應(ying)用(yong)到(dao)其(qi)他(ta)電(dian)流(liu)過(guo)載(zai)段(duan)內(nei),劃(hua)分(fen)的(de)越(yue)密(mi)集(ji),熱(re)累(lei)計(ji)效(xiao)果(guo)越(yue)快(kuai),跳(tiao)閘(zha)時(shi)間(jian)越(yue)短(duan)。這(zhe)就(jiu)解(jie)決(jue)了(le)在(zai)短(duan)延(yan)時(shi)電(dian)流(liu)過(guo)載(zai)時(shi)跳(tiao)閘(zha)過(guo)慢(man)的(de)現(xian)象(xiang)。於(yu)是(shi)公(gong)式(shi)變(bian)為(wei):
式(6)中的(t1/TA)由(t1/TA1)A1+(t1/TA2)A2+…,(t1/TA20)A20替換。式中:TA1,TA2,…,TA20代表等分時間;A1,A2,…,A20代表實際電流範圍狀態位,為1執行相應的加法運算。同樣的B,C,D的轉化采用同樣的形式。
zaishijigongchengzhonggenjuxuyaohuafenshijianduan,weilejianshaojisuanliangyibanbuhuihuafenruciduodedengfen,ershigenjushijiqingkuangzaichangyanshiheduanyanshiguozaiduanneitiaoxuanjigetedingguozaidianliuduanjinxingjisuan。genjushangshufenxidechuchengxuliuchengrutu1所示。
4 結語
通(tong)過(guo)分(fen)析(xi)以(yi)往(wang)智(zhi)能(neng)脫(tuo)扣(kou)器(qi)的(de)工(gong)作(zuo)原(yuan)理(li)和(he)實(shi)現(xian)方(fang)法(fa),提(ti)出(chu)簡(jian)化(hua)的(de)數(shu)學(xue)控(kong)製(zhi)模(mo)型(xing),得(de)出(chu)了(le)一(yi)套(tao)利(li)用(yong)比(bi)較(jiao)合(he)理(li)的(de)基(ji)於(yu)時(shi)間(jian)比(bi)例(li)因(yin)子(zi)的(de)供(gong)電(dian)線(xian)路(lu)電(dian)流(liu)過(guo)載(zai)控(kong)製(zhi)方(fang)法(fa),不(bu)僅(jin)能(neng)夠(gou)解(jie)決(jue)在(zai)負(fu)載(zai)不(bu)斷(duan)變(bian)化(hua)情(qing)況(kuang)下(xia)的(de)熱(re)功(gong)率(lv)記(ji)憶(yi)問(wen)題(ti),而(er)且(qie)實(shi)現(xian)了(le)對(dui)長(chang)延(yan)時(shi)電(dian)流(liu)過(guo)載(zai)和(he)短(duan)延(yan)時(shi)電(dian)流(liu)過(guo)載(zai)的(de)反(fan)時(shi)限(xian)控(kong)製(zhi)。控(kong)製(zhi)算(suan)法(fa)簡(jian)單(dan),不(bu)涉(she)及(ji)浮(fu)點(dian)運(yun)算(suan)和(he)指(zhi)數(shu)運(yun)算(suan)。同(tong)時(shi)對(dui)A/Dcaiyanganzhaodengjiangecaiyang,caiyangshijianduishunjianganraodianliuyouyizhinengli,youyushijiyudingshiqixunhuancaiyang,suoyitiaozhawuchajinweiyigecaiyangzhouqi。shejifangfazaishijigongchengzhongjianyan,jibenfuheshejikongzhiyaoqiu。
- 漏電防火報警係統中連續過載電流調度算法的實現
- 基於時間比例因子的供電線路電流過載控製方法
- 對A/D采樣按照等間隔采樣
引言
當今社會高層建築不斷增多,對火災監控、預警和預報係統的需求不斷提高。根據公安部消防局公布的一項統計結果,近年來,中國城市火災發生率呈上升趨勢。一 danfashenghuozai,budanduirendeshengmingcaichanzaochengjidadeweihai,erqiehuiduimeiyigejiatingdailaizainanxingdaji。xiandaijianzhudefazhanpubiandaiyouzhinengxitong,huozaizidongbaojingxitongzhengshishiyingxianzailouyu jianzhuzhinengxitongdepeitaoyingjiansheshi,duihuozailoudianjiankong,jianfuqianquanfangfanzhongdazeren,zaixiandaizhinengjianzhuzhongqizhefeichangzhongyaodeanquanbaozhangzuoyong。zaigongyeheminyongjianzhu、賓館、圖書館、 科研和商業部門,漏電火災自動報警係統已成為必須的裝置。
對過載電流的監控是漏電火災自動報警係統的一個重要組成部分,隨著工業、民用用電量的不斷增加,過載電流引發的事故也在不斷增加,但過載電流不同於漏電, suoyiduiguozaidianliuchuliyuanzeshijibunengyingxianggongyeshengchanheminjianyongdian,youyaoduiguozaisuoyinfadeshigujinxingyufang。benwenzaifenxiguozaidianliutediandejichushang,tichuduifuheguozaidianliusuoyinfade 跳閘的新型調度算法。
1 過載電流分析以及處理方法
在實際工作生活中,引發電流過載的情況複雜,例如電器設備的數量不斷增長引發的緩慢電流過載,也有瞬間達到額定電流的3~7倍,特殊情況下達到10倍引發 dedianliukuaisuguozaiyijidadianliuguozaiqingkuanghuozheduanlu。guozaidianliubuhuilijiweihaidianqishebei,danruguobujiayikongzhi,shijianyuechang,zaixianlushanghennanqidaoleijixiaoyingcongergeidianqishebeidailaiyan 重的破壞,更有可能造成火災事故的發生。
目前對電流過載多采用三段式過載保護特性:比較長延時過載保護、短延時過載保護以及短路保護。
(1)對較長時間延時電流過載的保護方法
長時間延時,過載保護現有基本方法分為:
①基於過載電流長延時的斜波特性,即I2t特性建立的數學表達式:
式中:IL為過載電流值;TL為跳閘動作時間;k1為常數;Ir為電流整定值;tL為長時間動作時間整定值。在式(1)的等號右邊是已知的常量通常用K表 示。根據式(1)keyipanduandangtiaozhadongzuoshijianyufashengguozaidedianliuchengfanbi,yejiushishuodangdianliuguozaideshihou,guozaidianliuzhiyuedanamefashengtiaozhadeshijianjianghuiyueduan,zhezhongtexingtongchangjiao 做反時限特性。這種數學模型是在物理上模擬了斷路器出頭的發熱過程,當熱量累計到一定程序的時候跳閘。
②基於時間常數的指數發熱與散熱模型,數學表達式為:
這種模型的物理特性是模擬電機發熱,並將其作為一個均勻等溫體,根據熱平衡原理:蓄熱+散熱=發熱。式(2)微分方程的解為:
式中:
為了對時間常數的指數發熱方程進行曲線擬合,上述方程變化為:
式中:x1,x2,x3是數學模型參數,通過實際測量升溫τ和時間t在不同過載情況下的對應個多組數據,采用最小二乘法原理和高斯一牛頓下降法,在一定誤差容限ε下,估算出函數的參數,並以在不同過載情況下的函數計算升溫τ,當升溫達到過載保護要求的時候跳閘。
考kao慮lv到dao自zi動dong合he閘zha的de情qing況kuang,當dang電dian動dong機ji停ting止zhi運yun轉zhuan時shi,電dian機ji散san熱re到dao一yi定ding溫wen度du下xia,要yao求qiu能neng過guo自zi動dong回hui複fu正zheng常chang工gong作zuo,所suo以yi對dui單dan時shi間jian常chang數shu冷leng卻que方fang程cheng同tong樣yang要yao做zuo擬ni合he模mo型xing。 通過冷卻方程
函數參數x通過起始降溫下采集到τ與t的關係,通過最小二乘法擬合直線,采用Matlab的數學工具對多項式回歸分析加以求解。
(2)短延時電流過載的保護方法。針對短延時的電流過載上述兩種方法仍能使用,不過要做一定的修改。在方法①中可以修改k2的值,使其取更小數值,減小跳閘時間;在方法②中可以對采樣電流的速率做修改,使采樣頻率增加這樣熱積累效應加速,達到短時間跳閘的目的。
(3)短路電流的保護方法。在對電流短路的保護中,基本都依據瞬間電流值來判斷,是否應該跳閘,即:實際電流大於短路電流整定值。
上述兩種方法中方法①要對電流平方進行積分運算,當累積的熱量大於常量K時便會跳閘,但由於累積效應,當電流未到達過載電流時也可能出現跳閘,造成低於動 作值的時候誤動作並且在電流不斷變化的情況下,是很難準確控製過載跳閘的時間延時;方法②中對電動機運行整個過程中電機發熱量和將熱量進行連續積分,具有 duirenengdequanjiyigongneng,baozhengzaidianliubuduanbianhuadeqingkuangxia,nengjiaozhunquedetiaozha,danjisuanliangjiada,bingqieshuxuemoxingzhongchuxianzhishuhanshu,duiyuchulisuduyouyaoqiudexitongyingxuanyongchulinengli 強的單片機例如DSP,但(dan)一(yi)些(xie)數(shu)據(ju)處(chu)理(li)速(su)度(du)慢(man)的(de)處(chu)理(li)器(qi)這(zhe)樣(yang)的(de)模(mo)型(xing)將(jiang)明(ming)顯(xian)跳(tiao)閘(zha)滯(zhi)後(hou)。無(wu)論(lun)是(shi)基(ji)於(yu)過(guo)載(zai)電(dian)流(liu)的(de)斜(xie)波(bo)特(te)性(xing)數(shu)學(xue)模(mo)型(xing)還(hai)是(shi)基(ji)於(yu)時(shi)間(jian)常(chang)數(shu)的(de)指(zhi)數(shu)發(fa)熱(re)與(yu)散(san)熱(re) 數shu學xue模mo型xing,它ta們men都dou是shi針zhen對dui一yi類lei電dian器qi設she備bei或huo者zhe專zhuan屬shu一yi種zhong設she備bei,在zai供gong電dian線xian路lu中zhong的de集ji中zhong設she備bei過guo載zai電dian流liu的de控kong製zhi中zhong顯xian然ran不bu能neng等deng同tong的de看kan待dai,傳chuan統tong的de數shu學xue模mo型xing計ji算suan量liang大da,並bing且qie很hen難nan對dui 不同階段過載做有效的處理,對此要建立適合集中設備過載電流控製的方法。
[page]
2 基於AVRmage128的過載電流集中設備過載電流控製實現
由於集中供電係統中用電設備繁多,不可能針對某一類設備製定電流過載模型,對此實際應用中的數學模型必須符合以下幾個要求:由於係統處理事件比較多,必須 綜合考慮處理器的運算處理能力,實時顯示,鍵盤控製等與跳閘脫鉤的精確度的矛盾;運用合理的數學模型,既能反映連續電流過載情況下的熱累加效應,又能對長 時間電流過載和短時間電流過載有區別對待;找尋適當的物理特性介質,是熱累加效應與這種介質存在一定線性關係;模型要符合對過載整定時間硬性要求。
通過以上分析針對脫鉤的精確度,采用合理的定時器中斷進行AD電流數據采集,選擇合適的定時器中斷時間,兼顧運算處理能力等事件;選擇以供電線路導線作為 熱re量liang累lei加jia效xiao應ying的de物wu理li載zai體ti,並bing且qie符fu合he供gong電dian線xian路lu硬ying性xing過guo載zai電dian流liu時shi間jian的de要yao求qiu,在zai不bu同tong電dian流liu過guo載zai段duan中zhong將jiang過guo載zai整zheng定ding時shi間jian分fen為wei若ruo幹gan段duan,進jin而er近jin似si滿man足zu熱re累lei加jia效xiao應ying與yu時shi間jian的de線xian性xing關guan係xi.
3 基於時間的比例因子熱曩加效應算法實現
在漏電防火控製係統中,電流過載跳閘時間表見表1。

式中:TA代表A的脫扣時間;1/TA是A事件的比例因子;FA代表事件A是否發生的狀態標誌;A代表時間從事件發生到此刻所經曆的時間間隔,同樣定義適合B,C,D事件。公式可以轉化為:

式中:i表示定時計數器的中斷個數;Ti為一次中斷得到的時間總和,當時間累加和大於等於1shi,shuomingshijianyinggaidedaochuli,chulifashengzaidangqianshijiansuozaiquyunei。danconggaishikeyikanchu,bingmeiyoufanyingdianliuguozairexiaoyingjileiyuchangyanshiguozaidianliuheduanyanshiguozaidianliuzaichulifangfashangdebutong,wulunshizai20 min的跳閘還是10 s的de跳tiao閘zha都dou是shi在zai規gui定ding時shi間jian內nei完wan成cheng跳tiao閘zha保bao護hu。為wei此ci,仍reng需xu要yao對dui上shang次ci進jin行xing改gai進jin,為wei了le能neng過guo反fan映ying,熱re積ji累lei效xiao應ying采cai用yong反fan時shi限xian方fang法fa,即ji過guo載zai電dian流liu越yue大da,跳tiao閘zha時shi間jian越yue短duan。為wei了le達da到dao如ru此ci效xiao果guo,將jiang不bu同tong的de電dian流liu過guo載zai下xia跳tiao閘zha時shi間jian進jin行xing細xi分fen,在zai1.2In~1.5In過載段內,將跳閘時間20 min劃分為20,19,18,…,1,同樣將對過載電流段劃分出20等(deng)分(fen)分(fen)別(bie)對(dui)應(ying)各(ge)自(zi)的(de)時(shi)間(jian),同(tong)樣(yang)的(de)方(fang)法(fa)應(ying)用(yong)到(dao)其(qi)他(ta)電(dian)流(liu)過(guo)載(zai)段(duan)內(nei),劃(hua)分(fen)的(de)越(yue)密(mi)集(ji),熱(re)累(lei)計(ji)效(xiao)果(guo)越(yue)快(kuai),跳(tiao)閘(zha)時(shi)間(jian)越(yue)短(duan)。這(zhe)就(jiu)解(jie)決(jue)了(le)在(zai)短(duan)延(yan)時(shi)電(dian)流(liu)過(guo)載(zai)時(shi)跳(tiao)閘(zha)過(guo)慢(man)的(de)現(xian)象(xiang)。於(yu)是(shi)公(gong)式(shi)變(bian)為(wei):
式(6)中的(t1/TA)由(t1/TA1)A1+(t1/TA2)A2+…,(t1/TA20)A20替換。式中:TA1,TA2,…,TA20代表等分時間;A1,A2,…,A20代表實際電流範圍狀態位,為1執行相應的加法運算。同樣的B,C,D的轉化采用同樣的形式。
zaishijigongchengzhonggenjuxuyaohuafenshijianduan,weilejianshaojisuanliangyibanbuhuihuafenruciduodedengfen,ershigenjushijiqingkuangzaichangyanshiheduanyanshiguozaiduanneitiaoxuanjigetedingguozaidianliuduanjinxingjisuan。genjushangshufenxidechuchengxuliuchengrutu1所示。

通(tong)過(guo)分(fen)析(xi)以(yi)往(wang)智(zhi)能(neng)脫(tuo)扣(kou)器(qi)的(de)工(gong)作(zuo)原(yuan)理(li)和(he)實(shi)現(xian)方(fang)法(fa),提(ti)出(chu)簡(jian)化(hua)的(de)數(shu)學(xue)控(kong)製(zhi)模(mo)型(xing),得(de)出(chu)了(le)一(yi)套(tao)利(li)用(yong)比(bi)較(jiao)合(he)理(li)的(de)基(ji)於(yu)時(shi)間(jian)比(bi)例(li)因(yin)子(zi)的(de)供(gong)電(dian)線(xian)路(lu)電(dian)流(liu)過(guo)載(zai)控(kong)製(zhi)方(fang)法(fa),不(bu)僅(jin)能(neng)夠(gou)解(jie)決(jue)在(zai)負(fu)載(zai)不(bu)斷(duan)變(bian)化(hua)情(qing)況(kuang)下(xia)的(de)熱(re)功(gong)率(lv)記(ji)憶(yi)問(wen)題(ti),而(er)且(qie)實(shi)現(xian)了(le)對(dui)長(chang)延(yan)時(shi)電(dian)流(liu)過(guo)載(zai)和(he)短(duan)延(yan)時(shi)電(dian)流(liu)過(guo)載(zai)的(de)反(fan)時(shi)限(xian)控(kong)製(zhi)。控(kong)製(zhi)算(suan)法(fa)簡(jian)單(dan),不(bu)涉(she)及(ji)浮(fu)點(dian)運(yun)算(suan)和(he)指(zhi)數(shu)運(yun)算(suan)。同(tong)時(shi)對(dui)A/Dcaiyanganzhaodengjiangecaiyang,caiyangshijianduishunjianganraodianliuyouyizhinengli,youyushijiyudingshiqixunhuancaiyang,suoyitiaozhawuchajinweiyigecaiyangzhouqi。shejifangfazaishijigongchengzhongjianyan,jibenfuheshejikongzhiyaoqiu。
特別推薦
- 噪聲中提取真值!瑞盟科技推出MSA2240電流檢測芯片賦能多元高端測量場景
- 10MHz高頻運行!氮矽科技發布集成驅動GaN芯片,助力電源能效再攀新高
- 失真度僅0.002%!力芯微推出超低內阻、超低失真4PST模擬開關
- 一“芯”雙電!聖邦微電子發布雙輸出電源芯片,簡化AFE與音頻設計
- 一機適配萬端:金升陽推出1200W可編程電源,賦能高端裝備製造
技術文章更多>>
- 2026藍牙亞洲大會暨展覽在深啟幕
- 新市場與新場景推動嵌入式係統研發走向統一開發平台
- 維智捷發布中國願景
- 2秒啟動係統 • 資源受限下HMI最優解,米爾RK3506開發板× LVGL Demo演示
- H橋降壓-升壓電路中的交替控製與帶寬優化
技術白皮書下載更多>>
- 車規與基於V2X的車輛協同主動避撞技術展望
- 數字隔離助力新能源汽車安全隔離的新挑戰
- 汽車模塊拋負載的解決方案
- 車用連接器的安全創新應用
- Melexis Actuators Business Unit
- Position / Current Sensors - Triaxis Hall
熱門搜索
Tektronix
Thunderbolt
TI
TOREX
TTI
TVS
UPS電源
USB3.0
USB 3.0主控芯片
USB傳輸速度
usb存儲器
USB連接器
VGA連接器
Vishay
WCDMA功放
WCDMA基帶
Wi-Fi
Wi-Fi芯片
window8
WPG
XILINX
Zigbee
ZigBee Pro
安規電容
按鈕開關
白色家電
保護器件
保險絲管
北鬥定位
北高智

