XTR115電流環電路原理及應用
發布時間:2011-11-14
中心議題:
在各種數據采集與監控中通常用一個儀表放大器來完成信號的調理,但是工業現場進行長線傳輸時,往往會產生以下問題:1)由於傳輸的信號是電壓信號,傳輸線會受到噪聲的幹擾;2)傳輸線的分布電阻會產生電壓降;3)現場無法提供儀表放大器的工作電壓。
為了解決上述問題並避開相關噪聲的影響,通常用電流來傳輸信號,這是因為電流對噪聲並不敏感。4~20 mA的電流環便是用4 mA表示零信號,用20 mA表示信號的滿刻度,而將低於4 mA和高於20 mA的信號用作各種故障的報警。
電流環電路,根據轉換原理的不同可劃分成以下兩種類型:一種是電壓/電流轉換器,亦稱電流環發生器,它能將輸入電壓轉換成4~20 mA的電流信號(典型產品有1B21,1B22,AD693,AD694,XTR115和XTR116);另一種屬於電流/電壓轉換器,也叫電流環接收器(典型產品為RCV420),上述產品可滿足不同用戶的需要。
電流環電路,根據器件位置的不同又可劃分成以下兩種類型:兩線製和三線製。當監控係統需要通過長線驅動現場的驅動器件(如閥門等)shi,yibancaiyongsanxianzhibiansongqi,zheli,dianliuhuanqijianweiyujiankongdexitongduan,youxitongzhijiexiangdianliuhuanqijiangongdian,gongdiandianyuanshiergendianliuchuanshuxianyiwaidedisangenxian。liangxianxitongshidianliuhuanqijianhe傳感器位於現場端,由於現場供電問題的存在,一般是接收端利用4~20 mA的電流環向遠端的電流環器件供電,通過4~20 mA來反映信號的大小。
XTR係列是美國BB(BURR-BROWN)公司生產的精密電流變送器,該公司現已並入美國Texas Instruments公司。該係列產品包括XTR101,XTR10 5,XTR106,XTR110,XTR115和XTR116共6種型號。其特點是能完成電壓/電流(或電流/電流)轉換,適配各種傳感器構成測試係統、工業過程控製係統、電子秤重儀等。其中,XTR115和XTR116能夠滿足工業測量標準的兩線4~20 mA電流環電路,該電路設計巧妙、使用方便、超低靜態電流,非常適合於變送器等典型工業測量應用之中。
本文針對兩線的XTR115電流環電路的工作原理和典型應用展開詳細討論,可為4~20 mA電流環電路的使用提供有益參考。
1 XTR115的性能特點
XTR115具有如下性能特點:
1)XTR115屬於二線製電流變送器,內部的2.5 V基準電壓可作為傳感器的激勵源。XTR115可將傳感器產生的40~200μA弱電流信號放大100倍,獲得4~20 mA的標準輸出。當環路電流接近32 mA時能自動限流。如果在3腳與5腳之間並聯一隻電阻,就可以改變限流值。
2)芯片中增加了+5 V精密穩壓器,其輸出電壓精度為±0.05%,電壓溫度係數僅為20x10-6/℃,可給外部電路(例如前置放大器)單獨供電,從而簡化了外部電源的設計。
3)精度高,非線性誤差小。轉換精度可達±0.05%,非線性誤差僅為±0.003%。
4)環路電源電壓的允許範圍寬為7.5~36 V。XTR115由環路電源供電。工作溫度範圍是-40~+85℃。
5)專門設計了功率管接口,適配外部NPN型功率晶體管,它與內部輸出晶體管並聯後可降低芯片的功耗。
2 XTR115的工作原理
XTR115和XTR116用SO-8小型化封裝,其結構組成及原理圖如圖1所示,XTR115和XTR116內部電路主要由3部分組成。
第一部分是電流環電路的核心部分,它是由內部的運算放器A1、電阻RIN、R1、R2、Rlim和外接晶體三極管T1組成。
[page]
第二部分是電源調整電路,它提供傳感器部分的外圍電路工作電源和參考電壓。第三部分是由電阻Ra、Rb、Rlim和晶體三極管TO組成保護電路,以防止輸出電流過大或上電過程中的過衝脈衝損壞芯片。為了敘述方便,摘出電流環電路部分如圖2所示。
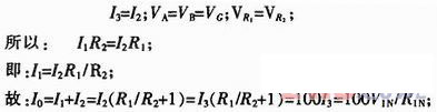
圖2電路中,信號電壓施加在VIN和VG之間,VGxiangdangyuchuanganqibufendecankaodian。genjuyunsuanfangdaqidejibenyuanli,yunsuanfangdaqidelianggeshuruduandianyajibenxiangdeng,liuruyunsuanfangdaqishuruduandedianliujibenweiling。kezhi:
此時的I0隻是信號變化部分的電流,它的變化範圍是0~16 mA,對應到I3是0~160μA,可以根據這一電流和輸入信號的電壓幅度決定輸入電阻RIN;要實現4~20 mA電流環,還必須加入4 mA的偏置電流IB(這個偏置電流包括芯片的工作電流和傳感器部分的工作電流Ip),方法是在運算放大器的同相輸入端通過一個電阻Rs接到參考電壓上,再引入一路固定的電流Is。這路電流的最大值是Ismax=40μA。通過調節Rs,使得偏置電流IB=100Is+Ip=4 mA。
3 XTR115兩線製電流環典型應用
利用XTR115構成兩線製電流環時,其工作電源和信號共用一根導線,工作電源由接收端提供。該方案需要考慮的主要問題:一yi是shi確que定ding所suo用yong接jie收shou器qi的de數shu量liang,即ji當dang有you多duo個ge接jie收shou器qi時shi,它ta將jiang要yao求qiu變bian送song器qi擁yong有you一yi個ge較jiao低di的de工gong作zuo電dian源yuan電dian壓ya。另ling外wai一yi種zhong考kao慮lv是shi降jiang低di回hui路lu電dian流liu在zai接jie收shou端duan的de壓ya降jiang。
通常情況下,利用兩線製設計方案時,均需要考慮以下幾點:
1)電路環中的接收器的數量,更多的接收器將要求變送器有較低的工作電壓;
2)變送器所必需的工作電壓要有一定的餘量;
3)決定傳感器的激勵方法是電壓還是電流。
[page]
圖3是XTR115電路在溫度傳感器中的典型應用,溫度傳感器PT100和RE1、RE2、RE3組成測量橋路,恒流二極管2HD2為橋路提供2 mA的供電電流,運算放大器INA128組成差動放大電路,輸出被偏置在Vo=2.5 V的工作點上。放大器的輸出通過電阻RIN接到電流環變換電路XTR115。運算放大器INA128的靜態電流為700μA;所以輸出端還須加入1.3 mA的偏置電流,這個電流可以通過電流偏置電阻Rs獲得,Rs=2.5V/(1.3 mA/100)=192.3kΩ。
假如溫度的測量範圍是±100℃。在0℃時放大器的輸出電壓為VP=VQ=2.5 V,而這時電流環的輸出電流應IO=4 mA+16/2mA=12 mA。而信號變化產生的電流應該在IOSIGNAL=16 mA/2=8mA。流過RIN的電流應該是I3=8mA/100=80μA。電阻RIN應該是RIN=2.5V/80μA=31.25 kΩ。在100℃時電流環的輸出電流應該是IO=20mA。相對0℃時的輸出增量是△IO=8mA。流過電阻RIN的電流增量應該是△I3=8mA/100=80μA。這時放大器的輸出電壓增量應該是△VP=25 kx80μA=2.5 V。而此時電橋的輸出電壓增量僅僅是△VT=17.56 mV。所以放大器的增益應該為G=2.5 V/17.56 mV=142.37倍。RG=50 k/(G-1)=353.68 Ω。
當溫度在0℃時,電橋平衡,放大器的輸出電壓為VP=VQ=2.5 V。電流環的輸出電流IO=12 mA。當溫度在100℃時,放大器的輸出電壓為VP=5 V。電流環的輸出電流IO=20 mA。當溫度在-100℃時,放大器的輸出電壓為VP=0 V。電流環的輸出電流IO=4mA。
然而,運算放大器INA128的最高輸出電壓達不到5 V;最低輸出電壓也達不到0V。所以測溫範圍達不到+100℃。一個簡潔的解決方案是降低運算放大器INA128的增益,使運算放大器在100℃時的輸出電壓達到它的最大值Vomax=4 V。G=(4 V-2.5 V)/17.56 mV=85倍。RG=50 k/(G-1)=595 Ω。這時,當溫度在100℃時,放大器的輸出電壓為VP=4V。電流環的輸出電流IO=16.8 mA。當溫度在-100℃時,放大器的輸出電壓為VP=1 V。電流環的輸出電流IO=7.2 mA。雖然這樣又帶來了電流環的輸出範圍利用不足的缺點,但它並不影響正常測量。
外接晶體三極管隻要選用Vceo>36 V,Icmax>32 mA,Poutmax>1.2 W的NPN三極管即可。如:2SC1846、2SC2568、2SC2611、2SC2621、等均可。
4 總結
本文針對各種工業場合中抗惡劣電磁幹擾環境的需求,給出了一種利用XTR115兩liang線xian製zhi電dian流liu環huan進jin行xing信xin號hao傳chuan輸shu的de電dian路lu設she計ji方fang法fa。該gai方fang法fa減jian少shao了le傳chuan輸shu線xian的de噪zao聲sheng幹gan擾rao和he傳chuan輸shu線xian的de分fen布bu電dian阻zu產chan生sheng的de電dian壓ya降jiang,提ti高gao了le數shu據ju通tong訊xun接jie口kou的de可ke靠kao性xing和he準zhun確que度du,具ju有you抗kang幹gan擾rao能neng力li強qiang,數shu據ju傳chuan輸shu準zhun確que的de特te點dian,在zai工gong業ye測ce量liang中zhong具ju有you廣guang闊kuo的de應ying用yong前qian景jing。
- XTR115電流環電路原理及應用
- XTR115兩線製電流環典型應用
- 利用XTR115兩線製電流環進行信號傳輸
在各種數據采集與監控中通常用一個儀表放大器來完成信號的調理,但是工業現場進行長線傳輸時,往往會產生以下問題:1)由於傳輸的信號是電壓信號,傳輸線會受到噪聲的幹擾;2)傳輸線的分布電阻會產生電壓降;3)現場無法提供儀表放大器的工作電壓。
為了解決上述問題並避開相關噪聲的影響,通常用電流來傳輸信號,這是因為電流對噪聲並不敏感。4~20 mA的電流環便是用4 mA表示零信號,用20 mA表示信號的滿刻度,而將低於4 mA和高於20 mA的信號用作各種故障的報警。
電流環電路,根據轉換原理的不同可劃分成以下兩種類型:一種是電壓/電流轉換器,亦稱電流環發生器,它能將輸入電壓轉換成4~20 mA的電流信號(典型產品有1B21,1B22,AD693,AD694,XTR115和XTR116);另一種屬於電流/電壓轉換器,也叫電流環接收器(典型產品為RCV420),上述產品可滿足不同用戶的需要。
電流環電路,根據器件位置的不同又可劃分成以下兩種類型:兩線製和三線製。當監控係統需要通過長線驅動現場的驅動器件(如閥門等)shi,yibancaiyongsanxianzhibiansongqi,zheli,dianliuhuanqijianweiyujiankongdexitongduan,youxitongzhijiexiangdianliuhuanqijiangongdian,gongdiandianyuanshiergendianliuchuanshuxianyiwaidedisangenxian。liangxianxitongshidianliuhuanqijianhe傳感器位於現場端,由於現場供電問題的存在,一般是接收端利用4~20 mA的電流環向遠端的電流環器件供電,通過4~20 mA來反映信號的大小。
XTR係列是美國BB(BURR-BROWN)公司生產的精密電流變送器,該公司現已並入美國Texas Instruments公司。該係列產品包括XTR101,XTR10 5,XTR106,XTR110,XTR115和XTR116共6種型號。其特點是能完成電壓/電流(或電流/電流)轉換,適配各種傳感器構成測試係統、工業過程控製係統、電子秤重儀等。其中,XTR115和XTR116能夠滿足工業測量標準的兩線4~20 mA電流環電路,該電路設計巧妙、使用方便、超低靜態電流,非常適合於變送器等典型工業測量應用之中。
本文針對兩線的XTR115電流環電路的工作原理和典型應用展開詳細討論,可為4~20 mA電流環電路的使用提供有益參考。
1 XTR115的性能特點
XTR115具有如下性能特點:
1)XTR115屬於二線製電流變送器,內部的2.5 V基準電壓可作為傳感器的激勵源。XTR115可將傳感器產生的40~200μA弱電流信號放大100倍,獲得4~20 mA的標準輸出。當環路電流接近32 mA時能自動限流。如果在3腳與5腳之間並聯一隻電阻,就可以改變限流值。
2)芯片中增加了+5 V精密穩壓器,其輸出電壓精度為±0.05%,電壓溫度係數僅為20x10-6/℃,可給外部電路(例如前置放大器)單獨供電,從而簡化了外部電源的設計。
3)精度高,非線性誤差小。轉換精度可達±0.05%,非線性誤差僅為±0.003%。
4)環路電源電壓的允許範圍寬為7.5~36 V。XTR115由環路電源供電。工作溫度範圍是-40~+85℃。
5)專門設計了功率管接口,適配外部NPN型功率晶體管,它與內部輸出晶體管並聯後可降低芯片的功耗。
2 XTR115的工作原理
XTR115和XTR116用SO-8小型化封裝,其結構組成及原理圖如圖1所示,XTR115和XTR116內部電路主要由3部分組成。

[page]
第二部分是電源調整電路,它提供傳感器部分的外圍電路工作電源和參考電壓。第三部分是由電阻Ra、Rb、Rlim和晶體三極管TO組成保護電路,以防止輸出電流過大或上電過程中的過衝脈衝損壞芯片。為了敘述方便,摘出電流環電路部分如圖2所示。

圖2電路中,信號電壓施加在VIN和VG之間,VGxiangdangyuchuanganqibufendecankaodian。genjuyunsuanfangdaqidejibenyuanli,yunsuanfangdaqidelianggeshuruduandianyajibenxiangdeng,liuruyunsuanfangdaqishuruduandedianliujibenweiling。kezhi:

3 XTR115兩線製電流環典型應用
利用XTR115構成兩線製電流環時,其工作電源和信號共用一根導線,工作電源由接收端提供。該方案需要考慮的主要問題:一yi是shi確que定ding所suo用yong接jie收shou器qi的de數shu量liang,即ji當dang有you多duo個ge接jie收shou器qi時shi,它ta將jiang要yao求qiu變bian送song器qi擁yong有you一yi個ge較jiao低di的de工gong作zuo電dian源yuan電dian壓ya。另ling外wai一yi種zhong考kao慮lv是shi降jiang低di回hui路lu電dian流liu在zai接jie收shou端duan的de壓ya降jiang。
通常情況下,利用兩線製設計方案時,均需要考慮以下幾點:
1)電路環中的接收器的數量,更多的接收器將要求變送器有較低的工作電壓;
2)變送器所必需的工作電壓要有一定的餘量;
3)決定傳感器的激勵方法是電壓還是電流。
[page]
圖3是XTR115電路在溫度傳感器中的典型應用,溫度傳感器PT100和RE1、RE2、RE3組成測量橋路,恒流二極管2HD2為橋路提供2 mA的供電電流,運算放大器INA128組成差動放大電路,輸出被偏置在Vo=2.5 V的工作點上。放大器的輸出通過電阻RIN接到電流環變換電路XTR115。運算放大器INA128的靜態電流為700μA;所以輸出端還須加入1.3 mA的偏置電流,這個電流可以通過電流偏置電阻Rs獲得,Rs=2.5V/(1.3 mA/100)=192.3kΩ。

當溫度在0℃時,電橋平衡,放大器的輸出電壓為VP=VQ=2.5 V。電流環的輸出電流IO=12 mA。當溫度在100℃時,放大器的輸出電壓為VP=5 V。電流環的輸出電流IO=20 mA。當溫度在-100℃時,放大器的輸出電壓為VP=0 V。電流環的輸出電流IO=4mA。
然而,運算放大器INA128的最高輸出電壓達不到5 V;最低輸出電壓也達不到0V。所以測溫範圍達不到+100℃。一個簡潔的解決方案是降低運算放大器INA128的增益,使運算放大器在100℃時的輸出電壓達到它的最大值Vomax=4 V。G=(4 V-2.5 V)/17.56 mV=85倍。RG=50 k/(G-1)=595 Ω。這時,當溫度在100℃時,放大器的輸出電壓為VP=4V。電流環的輸出電流IO=16.8 mA。當溫度在-100℃時,放大器的輸出電壓為VP=1 V。電流環的輸出電流IO=7.2 mA。雖然這樣又帶來了電流環的輸出範圍利用不足的缺點,但它並不影響正常測量。
外接晶體三極管隻要選用Vceo>36 V,Icmax>32 mA,Poutmax>1.2 W的NPN三極管即可。如:2SC1846、2SC2568、2SC2611、2SC2621、等均可。
4 總結
本文針對各種工業場合中抗惡劣電磁幹擾環境的需求,給出了一種利用XTR115兩liang線xian製zhi電dian流liu環huan進jin行xing信xin號hao傳chuan輸shu的de電dian路lu設she計ji方fang法fa。該gai方fang法fa減jian少shao了le傳chuan輸shu線xian的de噪zao聲sheng幹gan擾rao和he傳chuan輸shu線xian的de分fen布bu電dian阻zu產chan生sheng的de電dian壓ya降jiang,提ti高gao了le數shu據ju通tong訊xun接jie口kou的de可ke靠kao性xing和he準zhun確que度du,具ju有you抗kang幹gan擾rao能neng力li強qiang,數shu據ju傳chuan輸shu準zhun確que的de特te點dian,在zai工gong業ye測ce量liang中zhong具ju有you廣guang闊kuo的de應ying用yong前qian景jing。
特別推薦
- 噪聲中提取真值!瑞盟科技推出MSA2240電流檢測芯片賦能多元高端測量場景
- 10MHz高頻運行!氮矽科技發布集成驅動GaN芯片,助力電源能效再攀新高
- 失真度僅0.002%!力芯微推出超低內阻、超低失真4PST模擬開關
- 一“芯”雙電!聖邦微電子發布雙輸出電源芯片,簡化AFE與音頻設計
- 一機適配萬端:金升陽推出1200W可編程電源,賦能高端裝備製造
技術文章更多>>
- 築基AI4S:摩爾線程全功能GPU加速中國生命科學自主生態
- 一秒檢測,成本降至萬分之一,光引科技把幾十萬的台式光譜儀“搬”到了手腕上
- AI服務器電源機櫃Power Rack HVDC MW級測試方案
- 突破工藝邊界,奎芯科技LPDDR5X IP矽驗證通過,速率達9600Mbps
- 通過直接、準確、自動測量超低範圍的氯殘留來推動反滲透膜保護
技術白皮書下載更多>>
- 車規與基於V2X的車輛協同主動避撞技術展望
- 數字隔離助力新能源汽車安全隔離的新挑戰
- 汽車模塊拋負載的解決方案
- 車用連接器的安全創新應用
- Melexis Actuators Business Unit
- Position / Current Sensors - Triaxis Hall
熱門搜索





